RESOLUCIÓN que modifica las Disposiciones de carácter general aplicables a las actividades de las Sociedades Cooperativas de Ahorro y Préstamo  | 
    
Martes 09 de Abril de 2024  | 
    
Al margen un sello con el Escudo Nacional, que dice: Estados Unidos Mexicanos.- HACIENDA.- Secretaría de Hacienda y Crédito Público.- Comisión Nacional Bancaria y de Valores.
La Comisión Nacional Bancaria y de Valores, con fundamento en lo dispuesto por los artículos 31, párrafo primero, fracción VII; 32; 34, párrafos primero y segundo y 70, párrafo tercero de la Ley para Regular las Actividades de las Sociedades Cooperativas de Ahorro y Préstamo; 98 Bis de la Ley de Instituciones de Crédito, así como 4, fracciones II, IV, V, XXXVI y XXXVIII y 16, fracción I de la Ley de la Comisión Nacional Bancaria y de Valores, y
CONSIDERANDO
Que, en atención al artículo 78 de la Ley General de Mejora Regulatoria y con la finalidad de reducir el costo de cumplimiento de la presente resolución modificatoria, la Comisión Nacional Bancaria y de Valores utilizará los beneficios que derivan de la emisión de la presente Resolución, además de la “Resolución que modifica las Disposiciones de carácter general aplicables a las instituciones de crédito”, publicada en el Diario Oficial de la Federación el 23 de julio de 2021, con el propósito de, entre otros, realizar precisiones que generaron un ahorro en reservas por créditos ABCD así como de la “Resolución que modifica las Disposiciones de carácter general aplicables a las instituciones de crédito” publicada en el Diario Oficial de la Federación el 26 de diciembre de 2017, únicamente respecto del ahorro que deriva del impacto de la regulación a la entidad número 33 identificada como “MM”;
Que, durante la crisis financiera iniciada en 2008, se identificó el reconocimiento insuficiente y tardío de las pérdidas crediticias como una de las debilidades en las normas contables existentes, por lo que en julio de 2014 se emitió la Norma Internacional de Información Financiera 9 “Instrumentos Financieros” (International Financial Reporting Standards o IFRS9, por su nombre y siglas en inglés), la cual fue adoptada por el Consejo Mexicano de Normas de Información Financiera, A.C., publicando ocho nuevas Normas de Información Financiera que entraron en vigor el 1 de enero de 2018, y
Que, con base en las mencionadas Normas de Información Financiera, la Comisión Nacional Bancaria y de Valores se ha dado a la tarea de adaptar la regulación aplicable a las entidades sujetas a su supervisión al nuevo marco internacional, a fin de contar con información financiera transparente y comparable con otros países. En consecuencia, se hace necesaria la modificación al marco regulatorio aplicable a las Sociedades Cooperativas de Ahorro y Préstamo con niveles de operación I a IV, a fin de incorporar las actualizaciones en materia de criterios contables, calificación de cartera de crédito, aprobación, difusión y contenido de los estados financieros, reportes regulatorios, así como normas en materia de revelación de información financiera, por lo que ha resuelto expedir la siguiente:
RESOLUCIÓN QUE MODIFICA LAS DISPOSICIONES DE CARÁCTER GENERAL APLICABLES A LAS ACTIVIDADES DE LAS SOCIEDADES COOPERATIVAS DE AHORRO Y PRÉSTAMO
ÚNICO.- Se REFORMAN los artículos 1, fracción XXII, XXXVIII, XLIII, LX y LXVIII; 1 Bis 1; 2, fracciones VI y VII; 13, fracciones I, inciso e), párrafo tercero y II, párrafo primero; 33, fracción II, párrafo segundo, inciso b), numeral 9, subinciso i), subnumeral 1), párrafo segundo, así como párrafo segundo; 38, fracción V, inciso b); 41; 44, párrafo tercero; 50, fracción I, párrafo tercero; 51; 58, fracción II, inciso b); 68, fracción II, inciso b); 73, fracciones III, párrafo tercero, IV, párrafo segundo y VI, párrafo quinto, inciso d), numeral 1, subinciso i), párrafo segundo; 81; 84, párrafo tercero; 90, fracción I, párrafo tercero; 98, fracción II, inciso b); 110, fracción II, inciso b); 118, fracciones III, párrafo tercero, IV, párrafos segundo y cuarto y VI, párrafo sexto, inciso d), numeral 1, subinciso i), párrafo segundo; 126; 129, párrafo tercero; 135, fracción I, párrafo tercero; 143, fracción II, inciso b); 145, fracción I; 154, fracciones II, inciso b) y III; 164, fracción II, inciso b); 174, fracciones III, párrafo cuarto, IV, párrafos segundo y cuarto y VI, párrafo séptimo, inciso d), numeral 1, subiniciso i), párrafo segundo; 183; 187, párrafo tercero; 192, fracción VI, inciso c); 194, párrafos primero y segundo; 195, párrafo primero, Serie B, criterio B-1 y Serie D, criterios D-1, D-2, y D-3, así como párrafos segundo, cuarto y quinto; 196; 197, fracciones III, IV y V; 198; 200; 202, primer párrafo, así como fracciones I, párrafos segundo y cuarto, II, párrafo segundo, III, párrafos segundo, incisos a), b), c) y d), párrafo cuarto, y tercero, IV, párrafos segundo y tercero, VI, párrafos segundo y tercero, VII, párrafos segundo y tercero, VIII, párrafos tercero, cuarto y quinto, así como los incisos e) e i); 269, fracciones II y III; 302, Serie R01, reporte A-0111, el nombre de la Serie R03 para denominarse “Inversiones en instrumentos financieros”, y su reporte A-0311, Serie R21, reporte A-2113, Serie R22, reportes A-2211, A-2212, B-2221, B-2222, C-2231 y D-2241; 305; 307, el nombre de la Serie R03 para denominarse “Inversiones en instrumentos financieros” y su reporte I-0391, Serie R04, reporte C-0451, y Serie R24, reporte D-2441; 308 y 310, así como los nombres de la Sección Cuarta del Capítulo III del Título Segundo, para denominarse “Disposiciones finales”; del Título Cuarto, para denominarse “DE LA CONTABILIDAD, VALUACIÓN DE VALORES Y DEMÁS INSTRUMENTOS FINANCIEROS, INFORMACIÓN FINANCIERA Y SU REVELACIÓN”, así como de su Capítulo II para titularse “De la valuación de Valores y demás instrumentos financieros; se ADICIONAN los artículos 1 con las fracciones I Bis, VI Bis, IX Bis, XXXIII Bis 1, XXXVIII Bis, LVI Bis, LVI Bis 1, LVI Bis 2, LVI Bis 3, LXVI Bis; 16 Bis; el Título Tercero, Capítulo II con una Sección Quinta denominada “Del provisionamiento de las carteras crediticias de consumo, microcréditos productivos, vivienda y comercial” que comprende los artículos 189 Bis, 189 Bis 1, 189 Bis 2, 189 Bis 3, 189 Bis 4, 189 Bis 5, 189 Bis 6, 189 Bis 7, 189 Bis 8, 189 Bis 9, 189 Bis 10, 189 Bis 11, 189 Bis 12, 189 Bis 13, 189 Bis 14 y 189 Bis 15; los artículos 195, Serie C con un criterio C-3, así como con un párrafo sexto; 197, con una fracción VI; 197 Bis; 200 Bis; 200 Bis 1; 200 Bis 2; 202 Bis y 202 Bis 1; 307, Serie R04, rubro “Información detallada” con los reportes C-0452, C-0453, C-0454 y C-0455, Serie R10 con sus reportes A-1011 y A-1012, Serie R12 con sus reportes A-1219 y A-1220 y Serie R13 con sus reportes A-1311, A-1316, B-1321 y B-1322; así como el Anexo C Bis 2; se DEROGAN los artículos 184; 195, Serie B, criterio B-2 y Serie C, criterios C-1 y C-2, así como 199; 202, fracción III, párrafo cuarto; 307, Serie R04, reporte I-0453, Serie R24, reporte D-2442; y se SUSTITUYEN los anexos A, B, C, C Bis, C Bis 1, E, F, J, M, Ñ, T y U de las Disposiciones de carácter general aplicables a las actividades de las Sociedades Cooperativas de Ahorro y Préstamo, publicadas en el Diario Oficial de la Federación el 4 de junio de 2012 y modificadas por última ocasión, mediante resolución publicada en ese medio de difusión, el 27 de diciembre de 2023, para quedar como sigue:
“ÍNDICE
TÍTULO PRIMERO . . .
TÍTULO SEGUNDO
. . .
Capítulos I y II . . .
Capítulo III
. . .
Secciones Primera a Tercera . . .
Sección Cuarta
Disposiciones finales
TÍTULO TERCERO
. . .
Capítulo I . . .
Capítulo II
. . .
Secciones Primera a Cuarta . . .
Sección Quinta
Del provisionamiento de las carteras crediticias de consumo, microcréditos productivos, vivienda y comercial
Capítulo III . . .
TÍTULO CUARTO
DE LA CONTABILIDAD, VALUACIÓN DE VALORES Y DEMÁS INSTRUMENTOS FINANCIEROS, INFORMACIÓN FINANCIERA Y SU REVELACIÓN
Capítulo I . . .
Capítulo II
De la valuación de Valores y demás instrumentos financieros
Capítulo III a V . . .
TÍTULOS QUINTO a OCTAVO . . .
Listado de Anexos
ANEXO A Proyecciones Financieras a 3 años sobre el estado de situación financiera y el estado de resultado integral
ANEXO B Formato del estado de situación financiera y el estado de resultado integral
ANEXO C Procedimiento para la calificación y constitución de estimaciones preventivas para créditos de consumo, vivienda y microcréditos productivos
ANEXOS C Bis y C Bis 1 . . .
ANEXO C Bis 2 Factores de ajuste estándar para garantías financieras
ANEXO D . . .
ANEXO E Criterios de contabilidad para Sociedades Cooperativas de Ahorro y Préstamo
ANEXOS F a I . . .
ANEXO J Mapeo de calificaciones y grados de riesgo
ANEXOS K a U . . .”
“Artículo 1.- . . .
I. . . .
I Bis. Alto Grado de Inversión, a la Calificación otorgada por alguna Institución Calificadora, que se ubique dentro del Grado de Riesgo 1 en escala global tratándose de largo plazo, y Grados de Riesgo 1 y 2 en escala global tratándose de corto plazo, conforme a lo establecido en las tablas correspondientes para corto y largo plazo del Anexo J.
II. a VI. . . .
VI Bis. Calificaciones, en singular o plural, a las evaluaciones de riesgo de crédito emitidas por las Instituciones Calificadoras.
VII a IX. . . .
IX Bis. Circular Única de Bancos, a las Disposiciones de carácter general aplicables a las instituciones de crédito.
X a XXI. . . .
XXII. Criterios de Contabilidad o Criterios Contables, a los criterios de contabilidad para las Sociedades Cooperativas de Ahorro y Préstamo a que se refiere el Título Cuarto, Capítulo I y que se contienen en el Anexo E, ambos de estas disposiciones.
XXIII. a XXXIII Bis. . . .
XXXIII Bis 1. Exposición al Incumplimiento (EI), a la posición esperada, bruta de reservas, de la operación de crédito si se produce el incumplimiento del deudor. La Exposición al Incumplimiento no podrá ser inferior a la cantidad dispuesta de la operación al momento del cálculo del requerimiento de capital.
XXXIV. a XXXVII. . . .
XXXVIII. Grado de Inversión, a la Calificación otorgada por alguna Institución Calificadora, que se ubique dentro de los Grados de Riesgo 2 y 3 en escala global tratándose de largo plazo, y Grado de Riesgo 3 en escala global tratándose de corto plazo, conforme a lo establecido en las tablas correspondientes para corto y largo plazo del Anexo J de las presentes disposiciones.
XXXVIII Bis. Grado de Riesgo, en singular o en plural, a los grados de riesgo indicados en las tablas de correspondencia de calificaciones y grados de riesgo, a largo plazo y a corto plazo, tanto para la escala global como para la escala local México, comprendidos en el Anexo J de las presentes disposiciones.
XXXIX. a XLII. . . .
XLIII. Instituciones Calificadoras o Instituciones Calificadoras de Valores, en singular o plural a las Instituciones Calificadoras de Valores incluidas en el Anexo J de las presentes disposiciones. También se considerará como Instituciones Calificadoras a aquellas que, atendiendo a los criterios contenidos en las presentes Disposiciones dé a conocer la Comisión en el sitio http://www.cnbv.gob.mx.
XLIV a LVI. . . .
LVI Bis. Posiciones Preferentes, a la cartera de crédito y los valores que, a efecto de prelación en pago, tienen prioridad sobre otros acreedores del deudor.
LVI Bis 1. Posiciones Subordinadas, a la cartera de crédito y los valores que, a efecto de su prelación en pago, se sitúan detrás de otros acreedores del deudor.
LVI Bis 2. Probabilidad de Incumplimiento (PI), a la probabilidad de que un acreditado no cumpla con sus obligaciones de pago en tiempo y forma
LVI Bis 3. Proveedor de Protección, a las personas a que se refieren los Grupos 1, 2 y 3 descritos en el apartado V, Anexo C de las presentes disposiciones.
LVII. a LIX. . . .
LX. Servicio por Internet, al Servicio Electrónico efectuado a través de Internet, en el sitio que corresponda a uno o más dominios de la Sociedad, incluyendo el acceso mediante el protocolo WAP o alguno equivalente.
LXI a LXVI. . . .
LXVI Bis. Severidad de la Pérdida (SP), a la pérdida en caso de incumplimiento expresada como porcentaje de la Exposición al Incumplimiento, una vez tomados en cuenta el valor de las garantías y los costos asociados a los procesos de realización (judiciales, administrativos de cobranza y de escrituración, entre otros).
LXVII. . . .
LXVIII. Sociedad o Sociedad Cooperativa de Ahorro y Préstamo, a las Sociedades Cooperativas de Ahorro y Préstamo con niveles de operación I a IV, a que se refiere el artículo 2, fracción X de la Ley.
LXIX a LXXXI . . .”
“Artículo 1 Bis 1.- Las Sociedades Cooperativas de Ahorro y Préstamo con Nivel de Operaciones Básico deberán hacer del conocimiento de sus Socios, mediante avisos colocados en lugar visible de sus sucursales, su estado de situación financiera y su estado de resultado integral con cifras a marzo, junio, septiembre y diciembre del ejercicio de que se trate, así como sus notas, dentro de abril, julio, octubre y enero de cada ejercicio social, según corresponda.
Asimismo, las Sociedades Cooperativas de Ahorro y Préstamo con Nivel de Operaciones Básico deberán presentar trimestralmente al Comité de Supervisión Auxiliar, por medios electrónicos, su estado de situación financiera y su estado de resultado integral aprobados por su Consejo de Administración, en los meses de abril, julio, octubre y enero de cada ejercicio social, con cifras a marzo, junio, septiembre y diciembre, según corresponda, utilizando para tal efecto los formatos contenidos en el “Instructivo de entrega de información para las Sociedades Cooperativas de Ahorro y Préstamo con Nivel de Operaciones Básico”, contenido en el Anexo U de las presentes disposiciones.
. . .
Adicionalmente, las Sociedades Cooperativas de Ahorro y Préstamo con Nivel de Operaciones Básico deberán entregar al Comité de Supervisión Auxiliar, semestralmente y en forma impresa, el estado de situación financiera y el estado de resultado integral elaborados de conformidad con lo dispuesto en el “Instructivo de entrega de información para las Sociedades Cooperativas de Ahorro y Préstamo con Nivel de Operaciones Básico” contenido en el Anexo U de las presentes disposiciones, suscritos por el Presidente del Consejo de Administración y el Director o Gerente General, con cifras a junio y diciembre de cada año, dentro del mes inmediato siguiente al de su fecha.”
“Artículo 2.- . . .
I. a V. . . .
VI. En el caso de una sociedad de nueva creación, proyección a 3 años sobre el estado de situación financiera y el estado de resultado integral, la cual deberá presentarse en el formato contenido en el Anexo A de las presentes disposiciones.
. . .
VII. Las Sociedades Cooperativas de Ahorro y Préstamo que a la fecha de presentación de la solicitud de autorización se encuentren operando, deberán acompañar a su solicitud su estado de situación financiera, así como su estado de resultado integral, este último por el periodo comprendido entre el 1 de enero del año que corresponda y la fecha de elaboración del estado de situación financiera. Los citados documentos deberán presentarse de conformidad con el formato contenido en el Anexo B de las presentes disposiciones. La antigüedad de los mencionados documentos no podrá exceder de un año respecto de la fecha de presentación de la solicitud de autorización respectiva y deberán estar debidamente dictaminados por un auditor externo a su costa.
Los estados financieros a que se refiere el párrafo anterior deberán estar integrados de conformidad con los Criterios Contables. Asimismo, para la elaboración de dichos estados financieros, las Sociedades Cooperativas de Ahorro y Préstamo deberán contar con un avalúo bancario sobre sus bienes inmuebles, el cual no deberá tener una antigüedad mayor a un año de la fecha de la presentación de la solicitud de autorización a que se refiere el primer párrafo de esta fracción. El importe así determinado será considerado como el costo de adquisición de dichos activos para efectos de los estados financieros a que se refiere este párrafo. El valor comercial que proporcione dicho avalúo será considerado como el costo de adquisición de dichos activos para efectos de los estados financieros a que se refiere este párrafo. A fin de separar el valor del terreno de las construcciones, se considerará la proporción que guarde cada uno de estos factores sobre el avalúo físico.
Los estados financieros con que la Sociedad deberá contar al momento de iniciar operaciones deberán reflejar, conforme a los Criterios Contables, los efectos financieros y operaciones realizadas entre la fecha de la presentación de la solicitud de autorización respectiva y la fecha de inicio de operaciones.
Las Sociedades Cooperativas de Ahorro y Préstamo deberán reconocer dentro de un rubro denominado “Efecto por incorporación al régimen de Sociedades Cooperativas de Ahorro y Préstamo”, el efecto neto en el capital contable de las Sociedades Cooperativas de Ahorro y Préstamo por la aplicación de los Criterios Contables.
. . .
. . .
Al respecto, las Sociedades Cooperativas de Ahorro y Préstamo deberán presentar información relativa a los ajustes que resulten de la aplicación inicial de los Criterios Contables. Para estos efectos, deberán revelar en una nota aclaratoria, la cual formará parte integrante de sus estados financieros, un cuadro comparativo en el que se incluyan los siguientes elementos:
a) Los rubros del estado de situación financiera que se verán afectados por la aplicación inicial de los Criterios Contables, con las cifras que la sociedad mostraría previamente a la aplicación de dichos criterios.
b) Los ajustes realizados a cada uno de los citados rubros, así como su efecto total en el rubro denominado “Efecto por incorporación al régimen de Sociedades Cooperativas de Ahorro y Préstamo”.
c) Las cifras de dichos rubros una vez incluidos los ajustes derivados del reconocimiento de los criterios antes mencionados.
d) Una explicación detallada sobre las diferencias entre el tratamiento contable que venía aplicando la sociedad y el criterio de contabilidad correspondiente, respecto de cada uno los rubros por los cuales se realizó la afectación contable, como resultado de la aplicación inicial de los Criterios Contables.
. . .
VIII. a X. . . .
. . .”
“Artículo 13.- . . .
I. . . .
a) a d) . . .
e) . . .
. . .
Tratándose de las tasas de referencia previstas en los numerales i) y ii), deberá indicarse el plazo de la TIIE, en su caso, o de los CETES al que esté referida la tasa de los Créditos.
f) a h) . . .
II. Inversiones en instrumentos financieros autorizados por la Ley.
a) a c) . . .
III. y IV. . . .”
“Sección Cuarta
Disposiciones finales”
“Artículo 16 Bis- Las Sociedades Cooperativas de Ahorro y Préstamo podrán ceder cartera de crédito, a través de fideicomisos cuya finalidad sea la emisión de valores con cargo al patrimonio fideicomitido constituido por los activos de la cartera crediticia cedida.”
I. . . .
II. . . .
. . .
a) . . .
b) . . .
1. a 8. . . .
9. . . .
i) . . .
1) . . .
Las Sociedades, en sus manuales de crédito, deberán prever que los avalúos sean elaborados en términos de lo dispuesto por la Ley de Transparencia y de Fomento a la Competencia en el Crédito Garantizado y conforme a lo establecido en el Anexo C Bis 1, Apartado VI de las presentes disposiciones.
2) y 3) . . .
ii) y iii) . . .
10. a 12. . . .
c) y d) . . .
Los créditos que, como resultado del seguimiento permanente o por haber caído en cartera de crédito con riesgo de crédito etapa 3, previsiblemente tendrán problemas de recuperación, deberán ser objeto de una evaluación exhaustiva, con el fin de determinar oportunamente la posibilidad de establecer nuevos términos y condiciones que incrementen su probabilidad de recuperación.
. . .
. . .
. . .”
“Artículo 38.- . . .
I. a IV. . . .
V. . . .
a) . . .
b) El estado que guarda la cartera de crédito con riego de crédito etapa 3 y los resultados del proceso de recuperación.
c) a e) . . .
. . .
VI. a VIII. . . .”
“Artículo 41.- Las Sociedades Cooperativas de Ahorro y Préstamo deberán calificar y constituir las estimaciones preventivas para riesgos crediticios correspondientes a su cartera crediticia, de conformidad con la metodología establecida en la Sección Quinta del presente Capítulo.”
“Artículo 44.- . . .
. . .
Las Sociedades deberán mantener una posición de por lo menos el equivalente al 10 % de sus pasivos a corto plazo, invertidos en depósitos a la vista, así como en títulos bancarios, valores gubernamentales o en efectivo y equivalentes de efectivo, cuyo plazo de vencimiento sea igual o menor a 30 días.
. . .”
“Artículo 50.- . . .
I. . . .
. . .
Sin limitación de lo establecido en la presente sección, los grupos en que se clasifiquen las operaciones expuestas a riesgo de crédito, estarán integrados por las operaciones en moneda nacional y en UDIS que se especifican en la presente fracción, según se trate, conforme a lo siguiente: i) los depósitos y los instrumentos financieros comprenden a los respectivos intereses devengados; ii) las operaciones crediticias se entenderán en su más amplio sentido y comprenderán la toma de documentos de cobro inmediato, cartera etapa 1, 2 y 3; préstamos al personal; refinanciamiento y capitalización de intereses; avales, intereses devengados, y comisiones y premios devengados, y iii) las inversiones con cargo al fondo de reservas para pensiones de personal y primas de antigüedad, se considerarán como una inversión más en el grupo a que correspondan.
II. y III. . . .
. . .
. . .
Artículo 51.-El requerimiento de capital por riesgo de mercado será el que se obtenga de aplicar un 1 % al monto total que resulte de la suma de la cartera de créditos otorgada por las Sociedades, neta de las correspondientes estimaciones preventivas para riesgos crediticios, el total de los instrumentos financieros y el saldo de los deudores por reporto, observando al efecto los Criterios de Contabilidad aplicables.”
“Artículo 58.- . . .
I. . . .
II. . . .
a) . . .
b) Dar seguimiento a su evolución y posible deterioro con el propósito de anticipar pérdidas potenciales, así como analizar el valor de recuperación de la cartera de crédito con riesgo de crédito etapa 3 y estimar la pérdida esperada.
III. . . .
. . .”
“Artículo 68.- . . .
I. . . .
II . . .
a) . . .
b) El estado que guarda la cartera de crédito con riesgo de crédito etapa 3 y los resultados del proceso de recuperación.
c) a e) . . .
. . .
III. a V. . . .”
“Artículo 73.- . . .
I. y II. . . .
III. . . .
. . .
Las evaluaciones deberán ser más frecuentes tratándose de créditos clasificados como cartera de crédito con riesgo de crédito etapa 3, o bien respecto de los cuales no se hayan cumplido cabalmente los términos y condiciones convenidos.
IV. . . .
Los créditos que, como resultado del seguimiento permanente o por haber caído en cartera de crédito con riesgo de crédito etapa 3, previsiblemente tendrán problemas de recuperación, deberán ser objeto de una evaluación exhaustiva, con el fin de determinar oportunamente la posibilidad de establecer nuevos términos y condiciones que incrementen su probabilidad de recuperación.
. . .
. . .
V. . . .
VI. . . .
. . .
. . .
. . .
. . .
a) a c) . . .
d) . . .
1. . . .
i) . . .
Las Sociedades, en sus manuales de crédito, deberán prever que los avalúos sean elaborados en términos de lo dispuesto por la Ley de Transparencia y de Fomento a la Competencia en el Crédito Garantizado y conforme a lo establecido en el Anexo C Bis 1, Apartado VI de las presentes disposiciones.
ii) y iii) . . .
2. y 3. . . .
e) a g) . . .
. . .
. . .
. . .”
“Artículo 81.- Las Sociedades Cooperativas de Ahorro y Préstamo deberán calificar y constituir las estimaciones preventivas para riesgos crediticios correspondientes a su cartera crediticia de conformidad con la metodología establecida en la Sección Quinta del presente Capítulo.”
“Artículo 84.- . . .
. . .
Las Sociedades deberán mantener una posición de por lo menos el equivalente al 10 % de sus pasivos a corto plazo, invertidos en depósitos a la vista, así como en títulos bancarios, valores gubernamentales o en efectivo y equivalentes de efectivo, cuyo plazo de vencimiento sea igual o menor a 30 días.
. . .”
“Artículo 90.- . . .
I. . . .
. . .
Sin limitación de lo establecido en la presente sección, los grupos en que se clasifiquen las operaciones expuestas a riesgo de crédito, estarán integrados por las operaciones en moneda nacional y en UDIS que se especifican en esta fracción, según se trate, conforme a lo siguiente: i) los depósitos y los instrumentos financieros comprenden a los respectivos intereses devengados; ii) las operaciones crediticias se entenderán en su más amplio sentido y comprenderán la toma de documentos de cobro inmediato, cartera etapa 1, 2 y 3; préstamos al personal; refinanciamiento y capitalización de intereses; avales, intereses devengados, y comisiones y premios devengados, y iii) las inversiones con cargo al fondo de reservas para pensiones de personal y primas de antigüedad, se considerarán como una inversión más en el grupo a que correspondan.
II y III. . . .
. . .
. . .”
“Artículo 98.- . . .
I. . . .
II. . . .
a) . . .
b) Dar seguimiento a su evolución y posible deterioro, con el propósito de anticipar pérdidas potenciales, así como analizar el valor de recuperación de la cartera de crédito con riesgo de crédito etapa 3 y estimar la pérdida no esperada.
c) y d) . . .
III. . . .”
“Artículo 110.- . . .
I. . . .
II. . . .
a) . . .
b) El estado que guarda la cartera de crédito con riesgo de crédito etapa 3 y los resultados del proceso de recuperación.
c) a e) . . .
. . .
III. a V. . . .
. . .”
“Artículo 118.- . . .
I. y II. . . .
III. . . .
. . .
Las evaluaciones deberán ser más frecuentes tratándose de créditos clasificados como cartera de crédito con riesgo de crédito etapa 3, o bien respecto de los cuales no se hayan cumplido cabalmente los términos y condiciones convenidos.
IV. . . .
Los créditos que, como resultado del seguimiento permanente o por haber caído en cartera de crédito con riesgo de crédito etapa 3, previsiblemente tendrán problemas de recuperación, deberán ser objeto de una evaluación exhaustiva, con el fin de determinar oportunamente la posibilidad de establecer nuevos términos y condiciones que incrementen su probabilidad de recuperación.
. . .
Las funciones de recuperación de cartera de crédito con riesgo de crédito etapa 3 y en proceso de cobranza judicial, deberán ser desempeñadas por un área independiente de las áreas de negocios.
V. . . .
VI. . . .
. . .
. . .
. . .
. . .
. . .
a) a c) . . .
d) . . .
1. . . .
i) . . .
Las Sociedades, en sus manuales de crédito, deberán prever que los avalúos sean elaborados en términos de lo dispuesto por la Ley de Transparencia y de Fomento a la Competencia en el Crédito Garantizado y conforme a lo establecido en el Anexo C Bis 1, Apartado VI de las presentes disposiciones.
ii) y iii) . . .
2. y 3. . . .
e) a g) . . .
. . .
. . .
. . .”
“Artículo 126.- Las Sociedades Cooperativas de Ahorro y Préstamo deberán calificar y constituir las estimaciones preventivas para riesgos crediticios correspondientes a su cartera crediticia, de conformidad con la metodología establecida en la Sección Quinta del presente Capítulo.”
“Artículo 129.- . . .
. . .
Las Sociedades deberán mantener una posición de por lo menos el equivalente al 10 % de sus pasivos a corto plazo, invertidos en depósitos a la vista, así como en títulos bancarios, valores gubernamentales o en efectivo y equivalentes de efectivo, cuyo plazo de vencimiento sea igual o menor a 30 días.
. . .”
“Artículo 135.- . . .
I. . . .
. . .
Sin limitación de lo establecido en la presente sección, los grupos en que se clasifiquen las operaciones expuestas a riesgo de crédito, estarán integrados por las operaciones en moneda nacional y en UDIS que se especifican en la presente fracción, según se trate, conforme a lo siguiente: i) los depósitos y las inversiones en instrumentos financieros a los respectivos intereses devengados; ii) las operaciones crediticias se entenderán en su más amplio sentido y comprenderán la toma de documentos de cobro inmediato, cartera etapa 1, 2 y 3; préstamos al personal; refinanciamiento y capitalización de intereses; avales, intereses devengados, y comisiones y premios devengados; iii) las inversiones con cargo al fondo de reservas para pensiones de personal y primas de antigüedad, se considerarán como una inversión más en el grupo a que correspondan, y iv) para determinar la persona acreditada y la moneda de la operación, se considerarán las características del financiamiento otorgado por medio de la operación de descuento, en la cartera tomada a descuento con responsabilidad del cedente, y se considerarán las características de crédito objeto del descuento en las operaciones de cesión de cartera con responsabilidad del cedente (títulos descontados con endoso).
II. a III. . . .
. . .
. . .”
“Artículo 143.- . . .
I. . . .
II. . . .
a) . . .
b) Dar seguimiento a su evolución y posible deterioro, con el propósito de anticipar pérdidas potenciales, así como analizar el valor de recuperación de la cartera de crédito con riesgo de crédito etapa 3 y estimar la pérdida no esperada.
c) y d) . . .
III. . . .”
“Artículo 145.- . . .
I. Evaluar y dar seguimiento a los instrumentos financieros, utilizando para tal efecto los modelos de valor en riesgo que tengan la capacidad de medir la pérdida potencial en dichas posiciones, asociada a movimientos de precios o tasas de interés, con un nivel de probabilidad dado y sobre un periodo específico.
II. a VIII . . .”
“Artículo 154.- . . .
I. . . .
II. . . .
a) . . .
b) Los factores de riesgo tales como tasas de interés e índices de precios, considerando su impacto sobre el valor de capital y el estado de resultado integral de la Sociedad.
c) a e) . . .
III. Evaluar el riesgo asociado con los activos, pasivos y posiciones fuera del estado de situación financiera de la Sociedad.
. . .”
“Artículo 164.- . . .
I. . . .
II. . . .
a) . . .
b) El estado que guarda la cartera de crédito con riesgo de crédito etapa 3 y los resultados del proceso de recuperación.
c) a e) . . .
. . .
III. a V. . . .”
“Artículo 174.- . . .
I. y II. . . .
III. . . .
. . .
. . .
Las evaluaciones deberán ser más frecuentes tratándose de créditos clasificados como cartera de crédito con riesgo de crédito etapa 3, o bien respecto de los cuales no se hayan cumplido cabalmente los términos y condiciones convenidos.
IV. . . .
Los créditos que, como resultado del seguimiento permanente o por haber caído en cartera de crédito con riesgo de crédito etapa 3, previsiblemente tendrán problemas de recuperación, deberán ser objeto de una evaluación exhaustiva, con el fin de determinar oportunamente la posibilidad de establecer nuevos términos y condiciones que incrementen su probabilidad de recuperación.
. . .
Las funciones de recuperación de cartera de crédito con riesgo de crédito etapa 3 y en proceso de cobranza judicial, deberán ser desempeñadas por un área independiente de las áreas de negocios.
V. . . .
VI. . . .
. . .
. . .
. . .
. . .
. . .
. . .
a) a c) . . .
d) . . .
1. . . .
i) . . .
Las Sociedades, en sus manuales de crédito, deberán prever que los avalúos sean elaborados en términos de lo dispuesto por la Ley de Transparencia y de Fomento a la Competencia en el Crédito Garantizado y conforme a lo establecido en el Anexo C Bis 1, Apartado VI de las presentes disposiciones.
ii) y iii) . . .
2. y 3. . . .
e) a g) . . .
. . .
. . .
. . .”
“Artículo 183.- Las Sociedades Cooperativas de Ahorro y Préstamo deberán calificar y constituir las estimaciones preventivas para riesgos crediticios correspondientes a su cartera crediticia, de conformidad con la metodología establecida en la Sección Quinta del presente Capítulo.”
Artículo 184.- (Derogado)”
“Artículo 187.- . . .
. . .
Las Sociedades deberán mantener una posición de por lo menos el equivalente al 10 % de sus pasivos a corto plazo, invertidos en depósitos a la vista, así como en títulos bancarios, valores gubernamentales o en efectivo y equivalentes de efectivo, cuyo plazo de vencimiento sea igual o menor a 30 días.”
“Sección Quinta
Del provisionamiento de las carteras crediticias de consumo, microcréditos productivos, vivienda y comercial
Artículo 189 Bis.- Las Sociedades Cooperativas de Ahorro y Préstamo deberán calificar, constituir y registrar las estimaciones preventivas para riesgos crediticios correspondientes a su cartera crediticia de consumo, Microcréditos Productivos y de vivienda de conformidad con la metodología establecida en el Anexo C de las presentes disposiciones acorde con el tipo de crédito que corresponda.
Artículo 189 Bis 2.- Las Sociedades Cooperativas de Ahorro y Préstamo deberán calificar y constituir las estimaciones preventivas correspondientes a su cartera crediticia comercial, con cifras al último día de cada mes calendario, para lo cual deberán clasificar desde su reconocimiento inicial la totalidad de la cartera crediticia comercial en etapas de riesgo de crédito, dependiendo del incremento del riesgo crediticio que estos evidencien, en función del número de días de atraso o mora transcurridos a partir del día de la exigibilidad de la primera amortización del crédito que no haya sido cubierta por el acreditado a la fecha de la calificación, conforme a la tabla siguiente:
| 
   Etapa de riesgo de crédito  | 
  
   Días de atraso / mora  | 
 
| 
   Etapa 1  | 
  
   Para los créditos que presenten días de atraso menores o iguales a 30 días.  | 
 
| 
   Etapa 2  | 
  
   Para los créditos que presenten atraso de 31 y hasta 89 días.  | 
 
| 
   Etapa 3  | 
  
   Para los créditos que presenten 90 o más días de atraso o cuando el crédito se encuentre en etapa 3 de acuerdo con los términos establecidos en las presentes disposiciones y en el Criterio Contable B-4 “Cartera de Crédito” del Anexo E.  | 
 
Para efectos del cómputo de los días de atraso, las Sociedades Cooperativas de Ahorro y Préstamo deberán considerar días naturales.
Las Sociedades Cooperativas de Ahorro y Préstamo que cuenten con algún elemento para determinar que un crédito debe de migrar de etapa 1 a etapa 2, o de etapa 1 a etapa 3, o de etapa 2 a etapa 3, podrán realizarlo sin la necesidad de dar cumplimiento a lo indicado en la tabla anterior, debiendo para ello tener definidos y formalizados los criterios bajo los cuales se puede realizar dicha migración dentro de sus manuales de políticas y procedimientos, así como de sus manuales de riesgo y siempre que estos criterios sean aplicados de manera consistente.
Las Sociedades Cooperativas de Ahorro y Préstamo deberán documentar en un registro o bitácora la migración de etapas basadas en los criterios antes mencionados, incluyendo como mínimo la identificación del personal responsable de la aprobación, el criterio bajo el cual se realizó la migración, así como la fecha a partir de la cual se hizo la migración.
La Comisión podrá ordenar que las Sociedades Cooperativas de Ahorro y Préstamo rectifiquen las reservas constituidas conforme a lo anterior, cuando a su juicio las políticas y procedimientos correspondientes a lo indicado en el presente artículo, no sean aplicados de manera consistente, o bien estas no reflejen la diferencia entre el deterioro crediticio observado y el identificado por las Sociedades Cooperativas de Ahorro y Préstamo.
Artículo 189 Bis 3.- Las Sociedades Cooperativas de Ahorro y Préstamo calificarán, constituirán y registrarán en su contabilidad las reservas preventivas para cada uno de los créditos de su cartera crediticia comercial utilizando, para tal efecto, el saldo del adeudo correspondiente al último día del mes, ajustándose a la metodología y a los requisitos de información establecidos conforme a lo siguiente:
I. Para aquellos créditos clasificados en etapa 1 o 3 de acuerdo con lo dispuesto en el artículo 189 Bis 2 de las presentes disposiciones, el porcentaje que se utilice para determinar las reservas a constituir por cada crédito será el resultado de multiplicar la Probabilidad de Incumplimiento por la Severidad de la Pérdida por la Exposición al Incumplimiento:
![]()
En donde:
= Monto de reservas
a constituir para el i-ésimo crédito que se encuentre en etapa 1 o 3, según corresponda.
= Probabilidad de incumplimiento del i-ésimo crédito.
= Severidad de la Pérdida del i-ésimo crédito.
= Exposición al Incumplimiento del i-ésimo crédito.
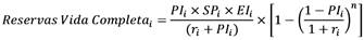
II. Para aquellos créditos clasificados en etapa 2 de acuerdo con lo dispuesto en el artículo 189 Bis 2 de las presentes disposiciones, la estimación de reservas para la vida completa se determinará conforme a la fórmula siguiente:
![]()
En donde:
= Monto de reservas a constituir para el i-ésimo crédito que se encuentre
en etapa 2.
=           Probabilidad de Incumplimiento del i-ésimo crédito.
=          Severidad de la Pérdida del i-ésimo crédito.
=          Exposición al Incumplimiento del i-ésimo crédito.
=            Tasa de
interés anual del i-ésimo crédito cobrada al cliente. Esta variable deberá de estar
expresada a cinco decimales y siempre ser mayor a cero.
En casos donde la tasa de interés anual sea igual a cero, se deberá utilizar un valor fijo de 0.00001 %.
=              Plazo
remanente del crédito correspondiente, número de años que, de acuerdo con lo establecido
contractualmente, resta para liquidar el crédito a la fecha de calificación de cartera,
calculado conforme a lo siguiente:
![]()
En los casos donde el plazo contractual del crédito haya finalizado y aún exista un saldo remanente, el horizonte mínimo a considerar será un horizonte anual.
Tratándose de créditos revolventes, el plazo remanente para el i-ésimo crédito corresponderá al plazo de revisión de las condiciones de la línea otorgada al acreditado; en caso de que la Sociedad no cuente con esta información, el plazo mínimo a utilizar serán 2.5 años.
El monto de reservas para los créditos en etapa 2 será el resultado de aplicar la siguiente fórmula:
![]()
Artículo 189 Bis 4.- Las Sociedades Cooperativas de Ahorro y Préstamo deberán asignar una Probabilidad de Incumplimiento (PIi) del 100 % al acreditado en los siguientes casos:
I. Cuando el acreditado tenga algún crédito con la Sociedad que se encuentre en etapa 3.
II. Cuando sea probable que el deudor no cumpla la totalidad de sus obligaciones crediticias frente a la Sociedad, actualizándose tal supuesto cuando:
a. La Sociedad considere que pudieran existir indicios de deterioro para alguno de los créditos a cargo del deudor, o bien
b. La Sociedad haya demandado el concurso mercantil del deudor, o bien este último lo haya solicitado.
III. Si la Sociedad Cooperativa de Ahorro y Préstamo hubiere omitido durante tres meses consecutivos reportar a la Sociedad de Información Crediticia algún crédito del acreditado o bien, cuando se encuentre desactualizada la información de algún crédito del acreditado relacionada con el saldo y el comportamiento del pago que deba enviarse a dicha sociedad.
Artículo 189 Bis 5.- Las Sociedades Cooperativas de Ahorro y Préstamo salvo por lo dispuesto en el artículo 189 Bis 4 de las presentes disposiciones, estimarán la Probabilidad de Incumplimiento de cada crédito (PIi) considerando la experiencia de pago propia, de acuerdo con la siguiente tabla:

Donde:
| 
   
 
 Donde: ATRt-n: Número de atrasos observados a la fecha de calificación, donde “t-0” corresponde a la fecha de calificación, y “t-n” corresponde a “n” periodos mensuales anteriores a la fecha de calificación (cierre de mes), que las sociedades calcularán de acuerdo con lo siguiente: 
 Cuando días de atraso a la fecha de calificación t-n sea igual a 0, ATRt-n tomará el valor de 0. El cálculo deberá realizarse considerando todas las exposiciones del acreditado con la Sociedad. Días de Atraso: Número de días naturales a la fecha de calificación (cierre de mes), durante los cuales el acreditado no haya liquidado en su totalidad el monto exigible en los términos pactados originalmente. Esta variable deberá ser expresada con un número mayor o igual a cero. Monto exigible: Monto que corresponde cubrir al acreditado en el periodo pactado. El monto exigible deberá considerar tanto el importe correspondiente al periodo pactado, como los importes exigibles de periodos anteriores no pagados, si los hubiera.  | 
 |
| 
   Promedio de días de mora de todos los créditos del acreditado (Calculado a la fecha de calificación) (cierre de mes).  | 
  
   
 
 Donde: ·         
   · n: Número de créditos del acreditado en consideración. 
  | 
 
Artículo 189 Bis 6.- Para la determinación de la PIi en operaciones de factoraje, las Sociedades Cooperativas de Ahorro y Préstamo identificarán en quién recae el riesgo de crédito; para tales efectos, se considerará al factorado que transmite a la Sociedad los derechos de crédito que tenga a su favor a la propia Sociedad factorante y al sujeto obligado al pago de los derechos de crédito correspondientes. En este sentido:
I. La PIi corresponde al sujeto obligado al pago de los derechos de crédito, dependiendo del grupo al que pertenezca según lo establecido en el artículo 189 Bis 5 de las presentes disposiciones.
II. Se podrá sustituir la PIi del sujeto obligado respecto de los derechos de crédito por la PIi del factorado, cuando se pacte la obligación solidaria de este en el documento que formaliza la operación de factoraje.
III. Únicamente se podrán considerar los derechos de crédito que no estén sujetos a condiciones o controles por los cuales el deudor pudiera oponerse a su pago.
En los casos donde el sujeto obligado al pago no sea acreditado de la Sociedad para determinar la PIi en operaciones de factoraje, deberán calcularla de acuerdo con lo establecido en el artículo 112 de la Circular Única de Bancos.
Artículo 189 Bis 7.- La Severidad de la Pérdida (SPi) para los créditos de la cartera crediticia comercial que carezcan de cobertura de garantías, será conforme a lo siguiente:
I. Para los créditos que se encuentren en etapas 1 y 2, el valor de la Severidad de la Pérdida será igual a 55 (cincuenta y cinco) %.
II. Para los créditos clasificados en etapa 3, se asignará el valor de la Severidad de la Pérdida de acuerdo con la siguiente tabla:
| 
   Meses transcurridos a partir de la clasificación del crédito en Etapa 3  | 
  
   SPi (Severidad de la Pérdida)  | 
 
| 
   Hasta 3 meses  | 
  
   55 %  | 
 
| 
   Mayor a 3 y hasta 6 meses  | 
  
   62 %  | 
 
| 
   Mayor a 6 y hasta 9 meses  | 
  
   69 %  | 
 
| 
   Mayor a 9 y hasta 12 meses  | 
  
   72 %  | 
 
| 
   Mayor a 12 y hasta 15 meses  | 
  
   77 %  | 
 
| 
   Mayor a 15 y hasta 18 meses  | 
  
   79 %  | 
 
| 
   Mayor a 18 y hasta 21 meses  | 
  
   82 %  | 
 
| 
   Mayor a 21 y hasta 24 meses  | 
  
   84 %  | 
 
| 
   Mayor a 24 y hasta 27 meses  | 
  
   90 %  | 
 
| 
   Mayor a 27 y hasta 30 meses  | 
  
   93 %  | 
 
| 
   Mayor a 30 y hasta 33 meses  | 
  
   95 %  | 
 
| 
   Mayor a 33 y hasta 36 meses  | 
  
   97 %  | 
 
| 
   Mayor a 36 meses  | 
  
   100 %  | 
 
Artículo 189 Bis 8.- La Exposición al Incumplimiento de cada crédito (EIi) será igual al saldo insoluto del i-ésimo crédito a la fecha de la calificación, el cual representa el monto de crédito efectivamente otorgado al acreditado, ajustado por los intereses devengados, menos los pagos de principal e intereses, así como las quitas, condonaciones, bonificaciones y descuentos que se hubieren otorgado.
El monto sujeto a la calificación no deberá incluir los intereses devengados no cobrados reconocidos en cuentas de orden dentro del estado de situación financiera, de créditos que se encuentren en etapa 3.
Artículo 189 Bis 9.- Cuando las Sociedades Cooperativas de Ahorro y Préstamo en sus créditos de cartera comercial cuenten con garantías que cumplan con lo previsto en el Anexo C Bis 1 de las presentes disposiciones, podrán reconocerlas con la finalidad de reducir las estimaciones preventivas del crédito o créditos de que se trate, debiendo considerar lo siguiente:
I. Tomar las medidas necesarias para que se pueda ejecutar y adjudicarse la garantía en el momento en que se coloquen en etapa 3 de conformidad con lo establecido en el artículo 189 Bis 2 de las presentes disposiciones. En caso de que las gestiones para la ejecución de la garantía no den inicio dentro de los 120 días siguientes al traspaso del crédito a etapa 3, las Sociedades Cooperativas de Ahorro y Préstamo deberán dejar de reconocer la cobertura proporcionada por dicha garantía y asignarán las estimaciones preventivas correspondientes de conformidad con lo previsto en la presente sección.
II. Podrán considerar una garantía, siempre que se excluyan las garantías otorgadas recíprocamente entre las personas que, a su vez, garanticen el pago del crédito de que se trate.
III. Las Sociedades Cooperativas de Ahorro y Préstamo, en ningún caso podrán tomar simultáneamente garantías en Esquemas de Cobertura de Paso y Medida o Esquemas de Cobertura de Primeras Pérdidas, garantías financieras y no financieras de un mismo garante.
IV. Las Sociedades Cooperativas de Ahorro y Préstamo, tomarán en cuenta la cobertura de la garantía, la forma en que dicha garantía se estructuró y su facilidad de ejecución, considerando otras obligaciones directas y contingentes a cargo del avalista, fiador u obligado solidario, cuando corresponda.
V. La parte expuesta conservará las estimaciones preventivas que le correspondan.
VI. En cualquier caso, las Sociedades Cooperativas de Ahorro y Préstamo podrán optar por no reconocer las garantías si con ello resultan mayores reservas.
VII. Las garantías deberán estar debidamente constituidas en la forma y términos establecidos en las disposiciones legales aplicables.
VIII. Al recibir garantías cuya validez esté sujeta al cumplimiento de términos y condiciones por parte de la Sociedad acreedora de la garantía y los incumpla, no deberá tomarse en cuenta la garantía para efectos de la disminución de las reservas preventivas por riesgo de crédito.
Artículo 189 Bis 10.- Las Sociedades Cooperativas de Ahorro y Préstamo, para calcular las estimaciones preventivas para riesgo de crédito, podrán ajustar el valor de la Severidad de la Pérdida considerando las garantías constituidas con medios de pago de liquidez inmediata que cumplan con lo establecido en el Anexo C Bis 1, numeral I, de conformidad con lo siguiente:
I. La Severidad de la Pérdida ajustada por garantías constituidas con medios de pago de liquidez inmediata (SP*) corresponderá a:
![]()
Donde:
SPi* = Severidad de la Pérdida de la i-ésima posición ajustada por garantías constituidas con medios de pago de liquidez inmediata
SPi = De acuerdo con el artículo 189 Bis 7 de estas disposiciones.
EIi* = Exposición al Incumplimiento del i-ésimo crédito después de la cobertura de riesgo determinada de conformidad con lo descrito en la fracción II del presente artículo para el reconocimiento de garantías financieras a las que se refiere el Anexo C Bis 1 de las presentes disposiciones. Las Sociedades Cooperativas de Ahorro y Préstamo deberán continuar calculando la Exposición al Incumplimiento sin tomar en cuenta la cobertura mediante dicha garantía, a menos que se especifique lo contrario en las presentes disposiciones.
EIi = Exposición al Incumplimiento del í-ésimo crédito, según lo indicado en el artículo 189 Bis 8 de las presentes disposiciones.
II. Las Sociedades Cooperativas de Ahorro y Préstamo determinarán un valor ajustado por riesgo de sus exposiciones (EI*).
Para lo anterior, las Sociedades Cooperativas de Ahorro y Préstamo deberán aplicar la siguiente fórmula, aplicando la siguiente fórmula:
![]()
En donde:
EI* = Valor ajustado por riesgo de las exposiciones.
EI = La Exposición al Incumplimiento según lo indicado en el artículo 189 Bis 8 de las presentes disposiciones
C = Valor contable de la garantía constituida con medios de pago de liquidez inmediata que cubre la operación.
Hfx= 8 % en caso de diferente denominación entre las monedas del importe de la exposición y de la garantía recibida, y 0 (cero) % en cualquier otro caso.
Hc= Factor de ajuste correspondiente a la garantía constituida con medios de pago de liquidez inmediata recibida, conforme a lo señalado en el Anexo C Bis 2 de estas disposiciones y en el siguiente párrafo.
Cuando las garantías admisibles para una determinada operación estén constituidas por una canasta de activos, el factor de ajuste (Hc) de la fórmula anterior se determinará como el promedio ponderado de los factores individuales que correspondan a cada uno de los activos que integren la canasta de que se trate, conforme a lo siguiente:
![]()
En donde:
Hc= Factor de ajuste para las garantías admisibles que estén constituidas por una canasta de activos.
ai= Ponderación del título o instrumento “i” integrante del portafolios.
Hi= Factor de ajuste correspondiente a dicho activo “i”, conforme a lo señalado en el Anexo C Bis 2 de las presentes Disposiciones.
Artículo 189 Bis 11.- Las Sociedades Cooperativas de Ahorro y Préstamo, para calcular las estimaciones preventivas para riesgo de crédito podrán ajustar el valor de la Severidad de la Pérdida considerando las garantías no financieras que cumplan con lo establecido en los numerales II y III del Anexo C Bis 1 de las presentes disposiciones.
Las Sociedades Cooperativas de Ahorro y Préstamo podrán obtener una Severidad de la Pérdida efectiva (SPi**) de acuerdo con la metodología siguiente:
I. La Severidad de la Pérdida efectiva (SPi**) para el i-ésimo crédito se determinará comparando el coeficiente CiGNF con el nivel mínimo de cobertura admisible (C*) y el nivel de sobre cobertura (C**); así como por el tipo de garantía no financiera de que se trate u otros instrumentos asimilables de conformidad con la tabla siguiente:
Severidad de la Pérdida efectiva para Posiciones Preferentes
| 
   Tipo de garantía no financiera o instrumento asimilable  | 
  
   (C*) Nivel mínimo de cobertura admisible  | 
  
   (C**) Nivel de sobre cobertura para reconocer una menor SP  | 
  
   (SPi**) Severidad de la Pérdida efectiva correspondiente a C**  | 
 
| 
   Derechos de cobro incluyendo derechos fiduciarios  | 
  
   0 %  | 
  
   125 %  | 
  
   35 %  | 
 
| 
   Bienes inmuebles comerciales y residenciales  | 
  
   30 %  | 
  
   140 %  | 
  
   35 %  | 
 
| 
   Bienes muebles y otras  | 
  
   30 %  | 
  
   140 %  | 
  
   40 %  | 
 
| 
   Fideicomiso de garantía o de administración, o de ambos, en todos los supuestos con Ingresos Propios como fuente de pago  | 
  
   100%  | 
  
   200%  | 
  
   10%  | 
 
II. El coeficiente CiGNF para el i-ésimo crédito será lo que resulte de dividir el valor de la garantía no financiera recibida, entre la exposición al incumplimiento estimada conforme a la expresión que se indica a continuación:
![]()
En donde:
=  Coeficiente
de la garantía no financiera para el i-ésimo crédito.
Ci = Valor de la garantía no financiera, el cual deberá corresponder a la última valuación disponible de dicha garantía.
Tratándose de bienes inmuebles o muebles, deberá considerarse un valor que no exceda el valor razonable corriente de la garantía, en los términos del Anexo C Bis 1 de las presentes disposiciones. En caso de contar con dos o más garantías de un mismo tipo, el valor de estas deberá ser considerado en conjunto.
En el caso ingresos propios cedidos a un fideicomiso de administración y fuente de pago o algún otro tipo de instrumento legal que cumpla los mismos fines, se considerará el monto comprometido de los próximos 12 meses. En caso de que el fideicomiso cuente con alguna cuenta de reserva que funja como respaldo para el pago del crédito correspondiente, esta se sumará al monto anual mencionado anteriormente.
EIEi = Exposición al Incumplimiento estimada del i-ésimo crédito.
Cuando la EIEi esté garantizada con participaciones en ingresos propios cedidos a un fideicomiso de administración y fuente de pago o algún otro tipo de instrumento legal que cumpla los mismos fines, se considerará como el flujo estimado de deuda de los próximos 12 meses (incluyendo capital e intereses).
En el caso de que la deuda esté referida directa o indirectamente a tasa variable y no cuente con algún mecanismo de cobertura de tasa, el flujo estimado anual de deuda deberá multiplicarse por 110 (ciento diez) %.
III. Para efectos de determinar la SPi** aplicable, se considerarán las garantías no financieras únicamente cuando cumplan con los requisitos del Anexo C Bis 1 de las presentes disposiciones y el coeficiente CiGNF sea mayor o igual que C*, es decir, cuando dicho coeficiente alcance o supere el nivel mínimo de cobertura admisible.
IV. Para cada tipo de garantía deberá utilizarse la SPi** y los niveles C* y C** establecidos en la tabla contenida en la fracción I del presente artículo.
V. Se asignará a la operación directamente la SPi** relacionada con el tipo de garantía, cuando el coeficiente CiGNF sea mayor o igual que C**, es decir, cuando dicho coeficiente alcance o supere el nivel de sobre cobertura.
VI. Para créditos cuyo coeficiente CiGNF se encuentre entre los niveles C* y C**, se aplicará lo siguiente:
a. Para cada crédito deberá identificarse la porción plenamente cubierta, dividendo el valor de la garantía no financiera entre el nivel C** que corresponda al tipo de garantía no financiera (Ci / C**), de conformidad con la tabla contenida en la fracción I del presente artículo. A dicha porción cubierta se le asignará la SPi** asociada al referido nivel C**.
b. La porción expuesta se obtendrá restando a la EIEi la porción plenamente cubierta determinada conforme al inciso a) anterior. A esta porción se le asignará una SPi de conformidad con el artículo 189 Bis 7 de las presentes disposiciones.
VII. A las operaciones en donde CiGNF sea menor que C* se les asignará una SPi** igual a la resultante de aplicar lo establecido en el artículo 189 Bis 7 de las presentes disposiciones.
Cuando se reciban garantías otorgadas por entidades financieras, cuya validez esté sujeta al cumplimiento de términos y condiciones por parte de la Sociedad acreedora de la garantía y los incumpla, no deberá tomarse en cuenta la garantía para efectos de lo establecido en el presente artículo.
Artículo 189 Bis 12.- Las Sociedades Cooperativas de Ahorro y Préstamo emplearán la misma Probabilidad de Incumplimiento (PI) para todos los créditos de un mismo acreditado.
En caso de existir obligados solidarios o avalistas la Sociedades Cooperativas de Ahorro y Préstamo, deberá aplicar los siguientes criterios:
I. En caso de existir un solo obligado solidario o avalista que responda por la totalidad de la responsabilidad del acreditado, se podrá sustituir la Probabilidad de Incumplimiento del acreditado por la del obligado solidario o avalista, obtenida de acuerdo con la metodología que corresponda a dicho obligado.
II. En caso de que existan 2 o más avalistas que de manera individual respondan por la totalidad de la responsabilidad del acreditado, se considerará para la sustitución la Probabilidad de Incumplimiento del acreditado, aquella que resulte inferior entre las Probabilidades de Incumplimiento de los obligados, después de seguir el procedimiento indicado en la fracción I del presente artículo.
III. Las Sociedades Cooperativas de Ahorro y Préstamo podrán reconocer la protección de avalistas que cubran una parte del saldo del crédito, empleando el procedimiento siguiente:
a) Se identificará la parte cubierta por cada uno de los avalistas y la parte expuesta del crédito.
b) Las reservas de la parte cubierta por cada uno de los avalistas se determinarán utilizando la Probabilidad de Incumplimiento obtenida conforme a la fracción I anterior.
c) Las reservas de la parte expuesta se determinarán utilizando la Probabilidad de Incumplimiento y la Severidad de la Pérdida del acreditado, de conformidad con la presente sección.
En los casos donde la Sociedad no cuente con información para determinar la probabilidad de incumplimiento del obligado solidario o avalista, deberán calcularla de acuerdo con lo establecido en el artículo 112 de la Circular Única de Bancos.
Artículo 189 Bis 13.- En caso de que las Sociedades Cooperativas de Ahorro y Préstamo cuenten con Esquemas de Cobertura de Paso y Medida o Esquemas de Cobertura de Primeras Pérdidas para un crédito comercial o para un portafolios de créditos comerciales identificados y con características similares, únicamente serán reconocidos, para efectos de calificación de cartera, las personas contenidas en los grupos 1, 2 y 3 indicados en el Anexo C, numeral V, de las presentes disposiciones, debiendo aplicar el procedimiento siguiente:
I. Las Sociedades Cooperativas de Ahorro y Préstamo que sean beneficiarias de un Esquema de Cobertura de Paso y Medida, deberán constituir el monto de reservas preventivas aplicando el procedimiento siguiente:
a) Deberán constituir el monto de reservas preventivas para la parte expuesta del crédito que resulte de la aplicación de la fórmula siguiente:
![]()
En donde:
| 
   RPaMed_i  | 
  
   =  | 
  
   Monto de reservas a constituir para el i-ésimo crédito cubierto.  | 
 
| 
   Reservas Etapa Zi  | 
  
   =  | 
  
   Monto de reservas a constituir conforme al artículo 189 Bis 3 de las presentes disposiciones, donde Z corresponde a la etapa de riesgo crediticio 1, 2 o 3 según se trate del i-ésimo crédito.  | 
 
| 
   %CobPaMed_i  | 
  
   =  | 
  
   Porcentaje cubierto de acuerdo con el contrato del Esquema de Cobertura en Paso y Medida que corresponda al i-ésimo crédito en particular.  | 
 
b) Adicionalmente, las Sociedades Cooperativas de Ahorro y Préstamo constituirán el monto de reservas preventivas correspondiente a la parte cubierta del crédito, conforme a lo siguiente:
1. En el caso de que se cuente con Proveedores de Protección de los listados en el grupo 1, el porcentaje de estimaciones que corresponderá a la parte cubierta será del 0.5 %.
2. En el caso de que se cuente con Proveedores de Protección de los listados en el grupo 2, el porcentaje de estimaciones que corresponderá a la parte cubierta será del 1 %.
3. En el caso de que se cuente con Proveedores de Protección de los listados en el grupo 3, las reservas preventivas correspondientes a la parte cubierta del crédito se constituirán conforme la fórmula siguiente:
![]()
En donde:
RPCPaMed_i = Monto de reservas a constituir para la parte cubierta para el i-ésimo crédito.
EIi = La Exposición al Incumplimiento del i-ésimo crédito según lo indicado en el artículo 189 Bis 8 de las presentes disposiciones
%CobPaMed_i = Porcentaje cubierto de acuerdo con el contrato del Esquema de Cobertura en Paso y Medida que corresponda al i-ésimo crédito en particular.
PIGA_i = Probabilidad de Incumplimiento del garante del i-ésimo crédito, en los términos de la metodología descrita en la presente sección.
SPGA_i = La Severidad de la Pérdida del garante del i-ésimo crédito, conforme al artículo 189 Bis 7 de las presentes disposiciones.
II. Las Sociedades Cooperativas de Ahorro y Préstamo que sean beneficiarias de un Esquema de Cobertura de Primeras Pérdidas, constituirán las reservas para el portafolios después del reconocimiento de la cobertura del Esquema de Primeras Pérdidas (RPCPP), utilizando el procedimiento siguiente:
a) Deberán determinar el porcentaje cubierto y el porcentaje de reservas totales sin cobertura del portafolios beneficiario del Esquema de Cobertura de Primeras Pérdidas, de conformidad con lo siguiente:
1. Se determinará el porcentaje cubierto por el Esquema de Cobertura de Primeras Pérdidas (%CobPP)
![]()
En donde:
| 
   Mto_CobPP =  | 
  
   Monto limitado destinado a cubrir las primeras pérdidas que pudieran generarse del incumplimiento de un crédito o un portafolios con un número determinado de créditos.  | 
 
| 
   
  | 
  
   Suma de los saldos insolutos de los créditos, de conformidad con el artículo 189 Bis 8 de las presentes disposiciones, cuando el Esquema de Cobertura de Primeras Pérdidas ampare un portafolios de créditos. En caso de que el esquema ampare un solo crédito, el denominador se sustituirá por el saldo insoluto de dicho crédito.  | 
 
2. El porcentaje de reservas totales sin cobertura del portafolios beneficiario del Esquema de Cobertura de Primeras Pérdidas, es la diferencia entre el porcentaje de reservas totales del portafolios antes del reconocimiento del beneficio de la cobertura y el porcentaje cubierto por el Esquema de Cobertura de Primeras Pérdidas (Difpp). Esta diferencia proporciona el porcentaje de reservas totales del portafolios que no está cubierto por el esquema y se obtiene de la siguiente expresión:
![]()
En donde:
| 
   %RVAS CoP  | 
  
   =  | 
  
   Porcentaje de reservas totales del crédito o portafolios beneficiario del Esquema de Cobertura de Primeras Pérdidas. 
 
  | 
 
| 
   RVAS CoP  | 
  
   =  | 
  
   Reservas totales del crédito o de los “n” créditos del portafolios antes del reconocimiento de la cobertura del Esquema de Primeras Pérdidas, es decir, sin considerar mitigantes de la Severidad de la Pérdida aplicables, según lo señale el contrato del esquema de garantías vigentes en la fecha de calificación, que se calculará de acuerdo con la siguiente expresión: 
 
  | 
 
| 
   
  | 
  
   =  | 
  
   Suma de los saldos insolutos de los créditos, de conformidad con el artículo 189 Bis 8 de las presentes disposiciones, cuando el Esquema de Cobertura de Primeras Pérdidas ampare un portafolios de créditos. En caso de que el esquema ampare un solo crédito, el denominador se sustituirá por el saldo insoluto de dicho crédito.  | 
 
| 
   Reservas Etapa Zi  | 
  
   =  | 
  
   Montos de reservas a constituir conforme al artículo 189 Bis 3 de las presentes disposiciones, donde Z corresponde a la etapa de riesgo crediticio 1, 2 o 3, según se trate.  | 
 
| 
   %CobPP  | 
  
   =  | 
  
   Valor obtenido conforme a lo establecido en el numeral 1 anterior.  | 
 
b) Deberán obtener el monto de reservas de la parte expuesta del portafolios después del reconocimiento del beneficio de la cobertura del Esquema de Cobertura de Primeras Pérdidas (RPEpp), ajustándose a lo siguiente:
1. Si el valor de Difpp es igual o menor a cero, las Sociedades Cooperativas de Ahorro y Préstamo no deberán constituir reservas para el portafolios beneficiario del Esquema de Cobertura de Primeras Pérdidas, salvo por lo establecido en el inciso c) siguiente.
2. Si el valor de Difpp es mayor a cero, las Sociedades Cooperativas de Ahorro y Préstamo deberán constituir las reservas hasta por el monto que, sumadas al valor de la garantía, sean iguales al monto total de reservas del portafolios, es decir:
RPEPP = RVAS_Portafolios – Mto_CobPP
En donde:
RPEPP= Monto de reservas a constituir por la proporción del portafolios cubierto.
RVAS_Portafolios= Reservas totales de los “n” créditos del portafolios antes del reconocimiento de la cobertura del Esquema de Primeras Pérdidas, es decir, sin considerar mitigantes de la Severidad de la Pérdida aplicables según lo señale el contrato del esquema de garantías vigentes en la fecha de calificación.
Mto_CobPP= Monto limitado destinado a cubrir las primeras pérdidas que pudieran generarse del incumplimiento de un crédito o un portafolios con un número determinado de créditos.
c) Adicionalmente, las Sociedades Cooperativas de Ahorro y Préstamo, para el portafolios beneficiario del Esquema de Cobertura de Primeras Pérdidas de créditos identificados y con características similares, constituirán el monto de reservas preventivas correspondiente a la parte cubierta del crédito, conforme a lo siguiente:
1. En el caso de que se cuente con Proveedores de Protección de los listados en el grupo 1, el porcentaje de estimaciones que corresponderá a la parte cubierta será del 0.5 %.
2. En el caso de que se cuente con Proveedores de Protección de los listados en el grupo 2, el porcentaje de estimaciones que corresponderá a la parte cubierta será del 1 %.
3. En el caso de que se cuente con Proveedores de Protección de los listados en el grupo 3, las reservas preventivas correspondientes a la parte cubierta del crédito se constituirán al multiplicar la Probabilidad de Incumplimiento y la Severidad de la Pérdida del garante por el monto mínimo entre las reservas totales de los “n” créditos del portafolios antes del reconocimiento de la cobertura del Esquema de Primeras Pérdidas y el monto limitado destinado a cubrir las primeras pérdidas que pudieran generarse del incumplimiento de un crédito o un portafolios con un número determinado de créditos.
![]()
En donde:
RPCPP= Monto de reservas a constituir por la proporción del portafolios cubierto.
PIGA= Probabilidad de Incumplimiento del garante en los términos de la metodología descrita en la presente sección.
SPGA= La Severidad de la Pérdida del garante conforme al artículo 189 Bis 7 de estas disposiciones.
Mto_CobPP= Monto limitado destinado a cubrir las primeras pérdidas que pudieran generarse del incumplimiento de un crédito o un portafolios con un número determinado de créditos.
RVAS_Portafolios= Reservas totales de los “n” créditos del portafolios antes del reconocimiento de la cobertura del Esquema de Primeras Pérdidas, es decir, sin considerar mitigantes de la Severidad de la Pérdida aplicables según lo señale el contrato del esquema de garantías vigentes en la fecha de calificación.
En el evento de que a la parte expuesta del crédito le corresponda una Probabilidad de Incumplimiento menor a la que le corresponde a la parte cubierta, según lo señalado en el presente artículo, las Sociedades Cooperativas de Ahorro y Préstamo podrán utilizar la Probabilidad de Incumplimiento menor para toda la operación.
Para que las Sociedades Cooperativas de Ahorro y Préstamo puedan reconocer las garantías y asignar la estimación correspondiente a los tramos cubiertos del crédito o del portafolios, deberá existir evidencia de cumplimiento de los términos y condiciones establecidos por los Proveedores de Protección en relación con la información que estos requieran, así como del cumplimiento de los procesos que, en su caso, se establezcan en los contratos correspondientes.
Artículo 189 Bis 14.- Tratándose de créditos destinados a financiar la actividad primaria del sector agropecuario que cuenten con un seguro de daños agrícolas y de animales, que cumpla con las características a las que se refiere el Anexo C Bis 1, numeral X de las presentes disposiciones, las Sociedades Cooperativas de Ahorro y Préstamo podrán multiplicar las estimaciones que correspondan al acreditado directo por un factor del 95 %, en tanto no se presente una reclamación del seguro.
Para efectos del párrafo anterior, se entenderá por “créditos destinados a financiar la actividad primaria del sector agropecuario” a aquellos dirigidos a la producción primaria de los sectores agrícola, ganadero, forestal y pesquero, así como a los sectores industrial, comercio y servicios cuando estos estén integrados a la actividad primaria de los sectores mencionados inicialmente, cuyas ramas y subramas de actividad económica corresponden a las señaladas como sector 11 del Sistema de Clasificación Industrial de América del Norte 2018 (SCIAN) del Instituto Nacional de Estadística y Geografía (INEGI), o el que lo sustituya.
En caso de que la Sociedad acreditante realice una reclamación a la entidad otorgante del seguro y dicha entidad la acepte, en tanto no se haya ejecutado o pagado el monto cubierto y, por lo tanto, no se haya realizado la baja del crédito del estado de situación financiera de la Sociedad, esta podrá calcular las estimaciones multiplicando el saldo del crédito cubierto por 0.5 % cuando la citada entidad otorgante del seguro cuente con una calificación de Grado de Inversión.
Las garantías constituidas conforme a lo establecido en este artículo podrán cubrir la totalidad o un determinado porcentaje del saldo insoluto de uno o más créditos cuando en los contratos de depósito o en las modificaciones a estos se prevea que no existe la posibilidad de hacer retiros o disponer de las referidas garantías durante la vigencia de los créditos, y que estos se podrán cubrir con cargo a tales depósitos o valores.
Artículo 189 Bis 15.- Las Sociedades Cooperativas de Ahorro y Préstamo, al calificar créditos que cuenten con 2 o más garantías, una vez asignada la calificación inicial a cada crédito, podrán segmentar el saldo insoluto del crédito en las partes que resulten de aplicar los criterios siguientes:
I. Determinarán la parte del saldo que se encuentre cubierta por 2 o más garantías, ya sea que se trate de medios de pago con liquidez inmediata, garantías no financieras, Esquemas de Cobertura en Paso y Medida o Esquemas de Cobertura de Primeras Pérdidas, así como la porción expuesta.
II. Aplicarán a la parte cubierta del saldo, en función del tipo de garantías que se hubieren otorgado, el procedimiento siguiente:
a. Si cuenta con 2 o más Esquemas de Cobertura en Paso y Medida o Esquemas de Cobertura de Primeras Pérdidas, cada Proveedor de Protección debe responder por la parte garantizada del saldo del crédito, siempre que no existan entre los propios Proveedores de Protección excepciones o defensas de prelación de orden al cobro.
b. Si cuenta con 2 o más garantías constituidas con medios de pago con liquidez inmediata o garantías no financieras, cada una de ellas debe cubrir la parte garantizada del saldo del crédito, siempre que se haya pactado de manera expresa en los contratos que den origen a la garantía la parte del crédito que quedará garantizada con cada bien gravado.
c. Tratándose de combinaciones de Esquemas de Cobertura en Paso y Medida o Esquemas de Cobertura de Primeras Pérdidas y medios de pago con liquidez inmediata o garantías no financieras, se podrán considerar cada una de ellas, siempre que estas sean ejecutables al momento de la calificación y cumplan con los requisitos establecidos en los incisos a) y b) de la presente fracción.”
“Artículo 192.- . . .
I. a V. . . .
VI. . . .
a) y b) . . .
c) Sean titulares de créditos que se encuentran en cartera de crédito con riesgo de crédito etapa 3 y no es posible localizar al acreditado.
d) a h) . . .
VII. . . .
. . .”
“TÍTULO CUARTO
DE LA CONTABILIDAD, VALUACIÓN DE VALORES Y DEMÁS INSTRUMENTOS FINANCIEROS, INFORMACIÓN FINANCIERA Y SU REVELACIÓN
Capítulo I
De los criterios de contabilidad
Artículo 194.- Las Sociedades Cooperativas de Ahorro y Préstamo con Niveles de Operación I a IV, se ajustarán a los criterios de contabilidad a que se refieren las disposiciones del presente Capítulo.
Salvo que se especifique lo contrario, los términos definidos en el artículo 1 de estas disposiciones no son aplicables al presente Capítulo, ni al Anexo E de estas disposiciones. Asimismo, los términos definidos en el Anexo E de las presentes disposiciones no son aplicables al resto de estas.
. . .
. . .
Artículo 195.- Los criterios de contabilidad para Sociedades Cooperativas de Ahorro y Préstamo con niveles de operación I a IV, contenidos en el Anexo E de las presentes disposiciones, se encuentran divididos en las series y criterios que a continuación se indican:
Serie A. . . .
Serie B.
. . .
B-1 Efectivo y equivalentes de efectivo.
B-2 (Derogado).
B-3 . . .
B-4 . . .
B-5 . . .
B-6 . . .
B-7 . . .
B-8 . . .
Serie C.
. . .
C-1 (Derogado).
C-2. (Derogado).
C-3 Operaciones de bursatilización.
Serie D.
. . .
D-1 Estado de situación financiera.
D-2 Estado de resultado integral.
D-3 Estado de cambios en el capital contable.
D-4 . . .
En caso de que existan condiciones de carácter sistémico que puedan afectar la solvencia o estabilidad de más de una Sociedad Cooperativa de Ahorro y Préstamo con niveles de operación I a IV, la Comisión podrá emitir criterios contables especiales.
. . .
En todo caso, las Sociedades Cooperativas de Ahorro y Préstamo deberán revelar en las notas aclaratorias a los estados financieros y en los comunicados públicos de información financiera, lo siguiente:
I. Que cuentan con una autorización de la Comisión para aplicar el registro contable especial de que se trata, por encontrarse en un proceso de saneamiento financiero o reestructuración corporativa, o bien con un criterio contable especial en términos de lo dispuesto en el presente artículo, párrafos segundo y tercero, especificando el periodo por el cual se cuenta con la autorización para aplicar el criterio o registro.
II. Una amplia explicación de los criterios o registros contables especiales aplicados, así como los que se debieron haber realizado de conformidad con los criterios de contabilidad.
III. Los importes que se hubieran registrado y presentado, tanto en el estado de situación financiera como en el estado de resultado integral, de no contar con la autorización para aplicar el criterio o registro contable especial.
IV. Una explicación detallada sobre los conceptos y montos por los cuales se realizó la afectación contable.
V. En su caso, el impacto que la aplicación de dichos registros y criterios contables especiales genera en sus indicadores de solvencia y liquidez.
Tratándose de estados financieros anuales, dicha revelación deberá hacerse a través de una nota específica.
La Comisión podrá revocar los criterios o registros contables especiales a que se refiere el artículo, cuando la Sociedad no cumpla con los siguientes tres aspectos:
I. Los requisitos de revelación antes señalados.
II. La revelación e información adicional que le sea requerida por la Comisión.
III. Las especificaciones en la aplicación del registro o criterio contable autorizado.
Capítulo II
De la valuación de Valores y demás instrumentos financieros
Artículo 196.- Las disposiciones previstas en este Capítulo tienen por objeto establecer los requisitos que deberán seguir las Sociedades Cooperativas de Ahorro y Préstamo en materia de valuación de los Valores y demás instrumentos financieros que formen parte de su estado de situación financiera.
Artículo 197.- . . .
I. y II. . . .
III. Precio Actualizado para Valuación, al precio de mercado o teórico para cada uno de los Valores, obtenido a partir de los Estados de Cuenta que las entidades financieras entreguen a las Sociedades Cooperativas de Ahorro y Préstamo, o bien al precio de mercado o teórico obtenido con base en algoritmos, criterios técnicos y estadísticos, contenidos en una metodología desarrollada por un Proveedor de Precios.
IV. Proveedor de Precios, a la persona moral autorizada por la Comisión para operar con tal carácter, en términos de la Ley del Mercado de Valores.
V. Valuación Directa a Vector, al procedimiento de multiplicar el número de títulos o contratos en posición por el Precio Actualizado para Valuación reportado en el Estado de Cuenta, determinado por las entidades financieras en las que la Sociedad mantenga cuentas de inversión o, en su caso, el realizado por la Sociedad utilizando el Precio Actualizado para Valuación proporcionado por un Proveedor de Precios.
VI. Valores, a los considerados como tales por la Ley del Mercado de Valores.
Artículo 197 Bis.- Las Sociedades Cooperativas de Ahorro y Préstamo podrán utilizar para la valuación de sus Valores y demás instrumentos financieros, el Precio Actualizado para Valuación proporcionado por un Proveedor de Precios, o bien el obtenido a partir de los Estados de Cuenta.
La opción que las Sociedades Cooperativas de Ahorro y Préstamo seleccionen de las descritas en el párrafo primero de este artículo, deberá ser aplicada por ejercicios completos.
En caso de que las Sociedades Cooperativas de Ahorro y Préstamo estén utilizando el Precio Actualizado para Valuación proporcionado por un Proveedor de Precios y decidan reanudar el uso de Estados de Cuenta, deberán dar aviso de esta situación a la Comisión con, al menos, diez días naturales de anticipación.
Artículo 198.- Las Sociedades Cooperativas de Ahorro y Préstamo deberán aplicar la Valuación Directa a Vector sobre los Valores y demás instrumentos financieros que, de conformidad con su régimen de inversión y las disposiciones aplicables, puedan formar parte de su estado de situación financiera.
Tratándose de cartera de crédito, las Sociedades Cooperativas de Ahorro y Préstamo deberán ajustarse a las reglas de valuación establecidas en los criterios de contabilidad a que se refiere el Capítulo I del presente Título, así como a las disposiciones aplicables en materia de calificación de cartera crediticia a que se refieren estas disposiciones.
Artículo 199.- (Derogado).
Artículo 200.- Las Sociedades Cooperativas de Ahorro y Préstamo reconocerán los Precios Actualizados para Valuación de manera diaria en su contabilidad para la determinación del valor razonable de los Valores y demás instrumentos financieros que conformen su estado de situación financiera, considerando la información dada a conocer por las entidades financieras o por su Proveedor de Precios, en términos de las presentes disposiciones.
Artículo 200 Bis.- El Consejo de Administración de las Sociedades deberá aprobar la contratación de un solo Proveedor de Precios para los efectos del presente Capítulo.
Artículo 200 Bis 1.- Las Sociedades Cooperativas de Ahorro y Préstamo deberán notificar por escrito a la Comisión, a través de formato libre y dentro de los diez días hábiles siguientes a la celebración del contrato respectivo, la denominación del Proveedor de Precios que contraten, anexando copia del contrato de servicios.
En caso de sustitución del Proveedor de Precios, esta deberá notificarse a la Comisión con treinta días naturales de anticipación, utilizando un formato libre y anexando copia del contrato de servicios.
Artículo 200 Bis 2.- Las Sociedades Cooperativas de Ahorro y Préstamo deberán solicitar a su Proveedor de Precios la información necesaria para dar cumplimiento a los requerimientos de revelación de información sobre la determinación del Precio Actualizado para Valuación, contenidos en los criterios de contabilidad.”
“Artículo 202.- Las Sociedades Cooperativas de Ahorro y Préstamo se ajustarán a las bases establecidas en el presente Capítulo para la formulación, publicación y textos que se anotarán al calce de los estados financieros básicos, considerando lo siguiente:
I. . . .
Las Sociedades Cooperativas de Ahorro y Préstamo deberán formular sus estados financieros básicos de conformidad con los criterios de contabilidad.
. . .
Cuando en las presentes disposiciones se aluda al concepto de estados financieros básicos consolidados de las Sociedades Cooperativas de Ahorro y Préstamo y estas carezcan de entidades sujetas a consolidación conforme a los criterios de contabilidad, deberá entenderse que se hace referencia a estados financieros individuales.
II. . . .
Las Sociedades Cooperativas de Ahorro y Préstamo expresarán sus estados financieros básicos en miles de pesos, lo que se indicará en el encabezado de estos.
III. . . .
. . .
a) Estado de situación financiera:
“El presente estado de situación financiera se formuló de conformidad con los criterios de contabilidad para sociedades cooperativas de ahorro y préstamo con niveles de operación I a IV, emitidos por la Comisión Nacional Bancaria y de Valores, con fundamento en lo dispuesto por los artículos 32, 34 y 40 de la Ley para Regular las Actividades de las Sociedades Cooperativas de Ahorro y Préstamo, de observancia general y obligatoria, aplicados de manera consistente, encontrándose reflejadas las operaciones efectuadas por la sociedad cooperativa de ahorro y préstamo hasta la fecha arriba mencionada, las cuales se realizaron y valuaron con apego a sanas prácticas financieras y a las disposiciones legales y administrativas aplicables.
El presente estado de situación financiera fue aprobado por el consejo de administración bajo la responsabilidad de los directivos que lo suscriben.”
b) Estado de resultado integral:
“El presente estado de resultado integral se formuló de conformidad con los criterios de contabilidad para las Sociedades Cooperativas de Ahorro y Préstamo con niveles de operación I a IV, emitidos por la Comisión Nacional Bancaria y de Valores, con fundamento en lo dispuesto por los artículos 32, 34 y 40 de la Ley para Regular las Actividades de las Sociedades Cooperativas de Ahorro y Préstamo, de observancia general y obligatoria, aplicados de manera consistente, encontrándose reflejados todos los ingresos y egresos derivados de las operaciones efectuadas por la sociedad cooperativa de ahorro y préstamo durante el periodo arriba mencionado, las cuales se realizaron y valuaron con apego a sanas prácticas financieras y a las disposiciones legales y administrativas aplicables.
El presente estado de resultado integral fue aprobado por el consejo de administración bajo la responsabilidad de los directivos que lo suscriben.”
c) Estado de cambios en el capital contable:
“El presente estado de cambios en el capital contable se formuló de conformidad con los criterios de contabilidad para sociedades cooperativas de ahorro y préstamo con niveles de operación I a IV, emitidos por la Comisión Nacional Bancaria y de Valores, con fundamento en lo dispuesto por los artículos 32, 34 y 40 de la Ley para Regular las Actividades de las Sociedades Cooperativas de Ahorro y Préstamo, de observancia general y obligatoria, aplicados de manera consistente, encontrándose reflejados todos los movimientos en las cuentas de capital contable derivados de las operaciones efectuadas por la sociedad cooperativa de ahorro y préstamo durante el periodo arriba mencionado, las cuales se realizaron y valuaron con apego a sanas prácticas financieras y a las disposiciones legales y administrativas aplicables.
El presente estado de cambios en el capital contable fue aprobado por el consejo de administración bajo la responsabilidad de los directivos que lo suscriben.”
d) . . .
. . .
. . .
Las Sociedades Cooperativas de Ahorro y Préstamo deberán incluir en las notas aclaratorias a los estados financieros básicos consolidados los hechos y datos que deban revelarse de conformidad con los criterios de contabilidad, expresando tal circunstancia al calce de dichos estados financieros con la constancia siguiente: “Las notas aclaratorias que se acompañan, forman parte integrante de este estado financiero”.
Asimismo, las Sociedades Cooperativas de Ahorro y Préstamo anotarán al calce de los estados financieros básicos consolidados a que se refiere este artículo, el nombre de la página de Internet que corresponda a la propia Sociedad, debiendo indicar también la liga mediante la cual podrán acceder de forma directa a la información financiera a que se refiere el primer párrafo de la fracción VI de este artículo, así como el sitio de la Comisión http://www.gob.mx/cnbv en que se podrá consultar aquella información financiera que, en cumplimiento de las disposiciones de carácter general, se le proporciona periódicamente a dicha Comisión, como al Comité de Supervisión Auxiliar.
Cuarto párrafo.- (Derogado).
IV. . . .
Los estados financieros básicos consolidados con cifras a marzo, junio y septiembre deberán presentarse para su aprobación al Consejo de Administración dentro del mes inmediato siguiente al de la fecha que correspondan, acompañados con la documentación complementaria de apoyo necesaria, a fin de que dicho Consejo cuente con elementos suficientes para conocer y evaluar las operaciones de mayor importancia determinantes de los cambios fundamentales ocurridos durante el ejercicio correspondiente.
Tratándose de los estados financieros básicos consolidados anuales, deberán presentarse al referido Consejo para su aprobación dentro de los 90 días naturales siguientes al cierre del ejercicio respectivo.
V. . . .
VI. . . .
Adicionalmente a lo señalado en el párrafo anterior, las Sociedades Cooperativas de Ahorro y Préstamo deberán hacer del conocimiento de sus Socios, a través de la página de Internet que corresponda a la propia Sociedad, las notas aclaratorias a que se refiere la fracción III del presente artículo, el Nivel de Capitalización sobre activos sujetos a riesgo que se determine conforme a la regulación prudencial aplicable contenida en estas disposiciones, así como el resultado de la calificación de su cartera crediticia en el formato que integra el Anexo F de las presentes disposiciones.
. . .
. . .
VII. . . .
La Comisión o el Comité de Supervisión Auxiliar, podrán ordenar correcciones a los estados financieros básicos publicados conforme a la fracción VI anterior, así como aquellos que reciba la Comisión con el fin de publicarlos en su página de Internet, en el evento de que existan hechos que se consideren relevantes de conformidad con los criterios de contabilidad para las Sociedades Cooperativas de Ahorro y Préstamo con niveles de operación I a IV.
Los estados financieros respecto de los cuales la Comisión o el Comité de Supervisión Auxiliar ordenen correcciones y que ya hubieren sido publicados o difundidos, deberán ser nuevamente publicados o difundidos a través del mismo medio, con las modificaciones pertinentes, dentro de los quince días naturales siguientes a la notificación de la resolución correspondiente, indicando las correcciones que se efectuaron, su impacto en las cifras de los estados financieros y las razones que las motivaron.
VIII. . . .
. . .
. . .
“El que suscribe manifiesta bajo protesta de decir verdad que, en el ámbito de mis funciones, preparé la información relativa a la sociedad cooperativa de ahorro y préstamo contenida en el presente informe anual la cual, a mi leal saber y entender, refleja razonablemente su situación financiera, sus resultados de operación, sus cambios en el capital contable y sus flujos de efectivo”.
La información que deberá incluirse en dicho informe es la complementaria a la que aparece expresamente en los estados financieros básicos consolidados, por lo que no solo se deberá mencionar el crecimiento o decremento de los distintos rubros que integran los estados financieros básicos consolidados, sino la razón de estos movimientos, así como aquellos eventos conocidos por la administración que puedan causar que la información difundida no refleje la situación financiera, resultados de operación, cambios en el capital contable y flujos de efectivo de la Sociedad.
Asimismo, en el informe se deberá identificar cualquier tendencia, compromiso o acontecimiento conocido que pueda afectar significativamente la liquidez de la Sociedad, sus resultados de operación o su situación financiera, tales como cambios en la participación de mercado, incorporación de nuevos competidores, modificaciones normativas, lanzamiento y cambio en productos, entre otros. También identificará el comportamiento reciente en los siguientes conceptos:
a) a d) . . .
e) Política de pagos de excedentes o su reinversión que la Sociedad pretenda seguir en el futuro.
f) a h) . . .
i) Cambios relevantes ocurridos en los principales rubros del estado de situación financiera del último ejercicio y su explicación, así como una exposición general de la evolución de dichos cambios durante los últimos tres ejercicios.
Artículo 202 Bis.- Para el caso en que la Sociedades Cooperativas de Ahorro y Préstamo decida hacer pública, a través de su página de Internet, cualquier tipo de información que, de conformidad con las disposiciones aplicables, no esté obligada a dar a conocer, se deberá acompañar el detalle analítico y de las bases metodológicas, que permitan comprender con claridad dicha información facilitando así una adecuada interpretación.
Las Sociedades Cooperativas de Ahorro y Préstamo, al difundir a través de la página de Internet la información a que se refiere el artículo 202 anterior, deberán mantenerla en dicho medio, cuando menos durante los cinco trimestres siguientes a la fecha del estado financiero, para el caso de la información que se publica de manera trimestral, y durante los tres años siguientes a dicha fecha, tratándose de la anual.
Artículo 202 Bis 1.- Las Sociedades Cooperativas de Ahorro y Préstamo podrán difundir en su página de Internet el estado de situación financiera y el estado de resultado integral consolidados no dictaminados, siempre que hayan sido aprobados por el Consejo de Administración y se precise en notas tal circunstancia. Tal divulgación podrá efectuarse hasta en tanto no se cuente con los estados financieros dictaminados a que se refiere el artículo 202 de las presentes disposiciones.”
“Artículo 269.- . . .
I. . . .
II. Podrá invertirse hasta el 70 %, en títulos representativos del capital social de sociedades de inversión en Instrumentos de Deuda, distintas a las que se señalan en la fracción I de este artículo, que cuenten con Calificación del Grado de Riesgo 2 a largo plazo en la escala local de conformidad con el Anexo J de las presentes disposiciones y, cuya duración promedio de su portafolio de inversiones o cartera de valores no sea mayor a 3 años.
III. Podrá invertirse hasta un 30 %, en títulos representativos del capital social de sociedades de inversión en Instrumentos de Deuda, distintas a las que se señalan en la fracción I de este artículo, que cuenten con Calificación del Grado de Riesgo 3 a largo plazo en la escala local de conformidad con el Anexo J de las presentes disposiciones y, cuya duración promedio de su portafolio de inversiones o cartera de valores no sea mayor a 3 años.
. . .”
“Artículo 302.- . . .
Serie R01 . . .
A-0111 Situación financiera del Fondo de Protección
Serie R03 Inversiones en instrumentos financieros
A-0311 Inversiones en instrumentos financieros de la cuenta de seguro de depósitos
Serie R04 . . .
Serie R21 . . .
A-2113 Clasificación de sociedades cooperativas de ahorro y préstamo con nivel de operaciones básico por categoría de capitalización
Serie R22 . . .
A-2211 Aportaciones de cuotas al Fondo de Protección para cuenta de seguro de depósitos
A-2212 Aportaciones de cuotas al Fondo de Protección por supervisión auxiliar
B-2221 Aportaciones extemporáneas de cuotas al Fondo de Protección para cuenta de seguro de depósitos
B-2222 Aportaciones extemporáneas de cuotas al Fondo de Protección por supervisión auxiliar
C-2231 Visitas de inspección
D-2241 Requerimientos de notificación de registro”
“Artículo 305.- . . .
La información deberá cumplir con las validaciones establecidas en el SITI, así como los estándares de calidad que indique la Comisión a través de dicho sistema; además, deberá presentar consistencia entre la información contenida en los diversos reportes regulatorios aplicables en los que se incluya la misma información con un nivel distinto de integración. Asimismo, la información deberá enviarse una sola vez y se recibirá asumiendo que reúne todas las características requeridas, en virtud de lo cual no podrá ser modificada, debiendo generar el SITI un acuse de recibo electrónico.
. . .
El Fondo de Protección deberá notificar mediante envío electrónico a la dirección “cesiti@cnbv.gob.mx”, el nombre de la persona responsable de la calidad y envío de la información a que se refiere el presente Capítulo, en la forma que se establece en el Anexo N de las presentes disposiciones. Las designaciones deberán recaer en funcionarios que se encuentren dentro de las dos jerarquías inferiores a la de Director o Gerente General, Presidente del Comité de Supervisión Auxiliar o del Presidente del Comité de Protección al Ahorro Cooperativo, que tengan a su cargo la responsabilidad del manejo de la información. Asimismo, podrán designar como responsables a más de una persona, en función del tipo de información de que se trate.
El Fondo de Protección podrá solicitar nuevas claves de usuarios o el acceso a reportes regulatorios en el SITI, mediante correo electrónico a la dirección cesiti@cnbv.gob.mx, en la misma forma en que se señala en el Anexo N.
Una vez enviado el correo electrónico al que se refiere el presente artículo, la Comisión notificará al Fondo de Protección, a través del mismo medio, dentro de los cinco días hábiles siguientes a la recepción de la solicitud, la confirmación del alta del responsable, así como el acceso de los usuarios de los reportes regulatorios solicitados.
La designación o sustitución de cualquiera de las personas responsables del envío y calidad de la información a que se refiere el presente artículo deberá notificarse a la Comisión en los términos antes señalados, dentro de los tres días hábiles siguientes al de su designación o sustitución.”
“Artículo 307.- . . .
Serie R01 . . .
Serie R03 Inversiones en instrumentos financieros
I-0391 Desagregado de inversiones en instrumentos financieros y reportos
Serie R04 . . .
. . .
A-0417 . . .
A-0419 . . .
. . .
C-0451 Alta de créditos comerciales, de consumo y a la vivienda
C-0452 Seguimiento de créditos comerciales, de consumo y a la vivienda
C-0453 Baja de créditos comerciales, de consumo y a la vivienda
C-0454 Reservas de créditos de consumo, a la vivienda y microcréditos
C-0455 Reservas de créditos comerciales a cargo de personas morales y físicas con actividad empresarial y entidades financieras
I-0453 (Derogado)
Serie R08 . . .
Serie R10 Reclasificaciones
A-1011 Reclasificaciones en el estado de situación financiera
A-1012 Reclasificaciones en el estado de resultado integral
Serie R12 Consolidación
A-1219 Consolidación del estado de situación financiera de la sociedad cooperativa de ahorro y préstamo con sus subsidiarias
A-1220 Consolidación del estado de resultado integral de la sociedad cooperativa de ahorro y préstamo con sus subsidiarias
Serie R13 Estados financieros
A-1311 Estado de cambios en el capital contable
A-1316 Estado de flujos de efectivo
B-1321 Estado de situación financiera
B-1322 Estado de resultado integral
Serie R17 . . .
Serie R20 . . .
Serie R21 . . .
Serie R24 Información operativa
B-2422 . . .
D-2441 Información general sobre el uso y frecuencia de servicios financieros
D-2442 (Derogado)
D-2443 . . .
Serie R26 . . .
Artículo 308.- Las Sociedades Cooperativas de Ahorro y Préstamo proporcionarán a la Comisión y al Comité de Supervisión Auxiliar, la información a que se refiere el artículo 307 de estas disposiciones, con la periodicidad que a continuación se indica:
I. Mensualmente:
La información relativa a las series R01, R03, R04, R08 exclusivamente por lo que se refiere al reporte D-0842, R10, R12, R13, exclusivamente por lo que se refiere a los reportes B-1321 y B-1322, R20, R21 y R26 a más tardar el último día del mes inmediato siguiente al que correspondan.
II. Trimestralmente:
La información relativa a la serie R08, exclusivamente por lo que se refiere al reporte D-0841, serie R13 exclusivamente por lo que se refiere a los reportes A-1311 y A-1316, y la serie R24, con cifras a los meses de marzo, junio, septiembre y diciembre de cada año, a más tardar el último día del mes inmediato siguiente al que correspondan.
Artículo 310.- . . .
La información deberá cumplir con las validaciones establecidas en el SITI, así como los estándares de calidad que indique la Comisión a través de dicho sistema; además, deberá presentar consistencia entre la información contenida en los diversos reportes regulatorios aplicables en los que se incluya la misma información con un nivel distinto de integración. Asimismo, a información deberá enviarse una sola vez y se recibirá asumiendo que reúne todas las características requeridas, en virtud de lo cual no podrá ser modificada, debiendo generar el SITI un acuse de recibo electrónico.
. . .
Las Sociedades Cooperativas de Ahorro y Préstamo deberán notificar mediante correo electrónico a la dirección “cesiti@cnbv.gob.mx”, el nombre de la persona responsable de la calidad y envío de la información a que se refiere el presente Capítulo, en la forma que señala el Anexo O de las presentes disposiciones. Las designaciones deberán recaer en funcionarios que se encuentren dentro de la jerarquía inferior a la del Director o Gerente General y que tengan a su cargo la responsabilidad del manejo de la información. Asimismo, podrán designar como responsables a más de una persona, en función del tipo de información de que se trate.
Las Sociedades Cooperativas de Ahorro y Préstamo podrán solicitar nuevas claves de usuarios o el acceso a reportes regulatorios en el SITI, mediante envío de correo electrónico a la dirección “cesiti@cnbv.gob.mx” en la misma forma en que se señala en el Anexo O.
Una vez enviado el correo electrónico al que se refiere el presente artículo, la Comisión notificará a las Sociedades Cooperativas de Ahorro y Préstamo por el mismo medio, dentro de los cinco días hábiles siguientes a la recepción de la solicitud, la confirmación del alta del responsable, así como el acceso de los usuarios de los reportes regulatorios solicitados.
La designación o sustitución de cualquiera de las personas responsables del envío y calidad de la información a que se refiere el presente artículo deberá notificarse a la Comisión en los términos antes señalados, dentro de los tres días hábiles siguientes al de su designación o sustitución.”
PRIMERO.- La presente Resolución entrará en vigor el 1 de enero de 2025, con excepción de las modificaciones al criterio “B-5 Bienes adjudicados” contenido en el Anexo E, las cuales entrarán en vigor el primer día del mes calendario inmediato siguiente a la fecha de publicación de esta Resolución en el Diario Oficial de la Federación.
SEGUNDO.- Las Sociedades Cooperativas de Ahorro y Préstamo, respecto de los efectos provocados por los cambios contables con motivo de la aplicación de esta Resolución, deberán apegarse a lo establecido en la Norma de Información Financiera B-1 “Cambios contables y correcciones de errores”, aplicable a las Sociedades Cooperativas de Ahorro y Préstamo en virtud de lo establecido en el criterio A-2 “Aplicación de normas particulares”, contenido en el propio Anexo E.
Las Sociedades Cooperativas de Ahorro y Préstamo deberán revelar en notas a los estados financieros los principales cambios en la normatividad contable que afecten o pudieran afectar significativamente dichos estados financieros, así como la mecánica de adopción y los ajustes llevados a cabo en la determinación de los efectos iniciales de la aplicación de los Criterios Contables contenidos en la presente Resolución.
TERCERO.- Los estados financieros básicos consolidados trimestrales y anuales que, de conformidad con la presente Resolución, sean requeridos a las Sociedades Cooperativas de Ahorro y Préstamo, correspondientes al periodo concluido el 31 de diciembre de 2025, podrán no presentarse comparativos con cada trimestre del ejercicio 2024 ni por el periodo terminado el 31 de diciembre de 2024.
CUARTO.- Las pruebas que realicen las Sociedades Cooperativas de Ahorro y Préstamo de conformidad con los párrafos 45 y 46 del criterio B-4 “Cartera de crédito” contenido en el Anexo E de las “Disposiciones de carácter general aplicables a las sociedades cooperativas de ahorro y préstamo”, para determinar si los portafolios de cartera de crédito vigentes al 31 de diciembre de 2024, cumplen con el supuesto de que los flujos de efectivo de los contratos corresponden únicamente a pagos de principal e interés, deberán autorizarse por el comité de crédito de la Sociedad Cooperativa de Ahorro y Préstamo. Posteriormente, dichas pruebas y sus resultados deberán entregarse por escrito a la Comisión Nacional Bancaria y de Valores a más tardar el 28 de febrero de 2025.
QUINTO.- Toda referencia al “balance general” o al “estado de resultados” contenida en las “Disposiciones de carácter general aplicables a las sociedades cooperativas de ahorro y préstamo”, a la entrada en vigor de la presente Resolución, deberá de entenderse que se trata del “estado de situación financiera” y del “estado de resultado integral”, respectivamente. Asimismo, las referencias a la cartera vencida se entenderán por cartera con riesgo de crédito etapa 3. Lo anterior, en consistencia con los “Criterios de Contabilidad aplicables a las Sociedades Cooperativas de Ahorro y Préstamo, contenidos en el Anexo E.
SEXTO.- Las Sociedades Cooperativas de Ahorro y Préstamo, a fin de constituir el monto total de estimaciones preventivas para riesgos crediticios que se derivan de la utilización de las metodologías que se sustituyen con este instrumento, deberán observar las determinaciones del presente artículo transitorio.
Se entenderá como efecto financiero inicial, a la diferencia que resulte de restar las reservas que se deberán constituir conforme a este instrumento, aplicando la metodología vigente a partir del 1 de enero de 2025, utilizando el saldo total de la cartera crediticia comercial al 31 de diciembre de 2024; menos, las reservas que se constituyeron con la metodología vigente hasta el 31 de diciembre de 2024, utilizando el saldo de la cartera crediticia comercial al 31 de diciembre de 2024. Dicho calculo deberá realizarse a la entrada en vigor de la presente Resolución.
Las sociedades podrán optar por alguna de las siguientes alternativas para la constitución de estimaciones preventivas para riesgos crediticios:
I. Reconocer en el capital contable, dentro del resultado de ejercicios anteriores al 31 de enero de 2025, el efecto financiero inicial derivado de aplicar por primera vez la metodología de calificación de cartera crediticia que corresponda, siempre y cuando se revele en los correspondientes estados financieros trimestrales y anual del ejercicio 2025, así como en cualquier comunicado público de información financiera, como mínimo lo siguiente:
a) Que optó por realizar el reconocimiento total del efecto financiero inicial a la entrada en vigor de la presente Resolución;
b) Una amplia explicación del registro contable efectuado para el reconocimiento del citado efecto;
c) Una explicación detallada sobre los rubros y montos por los cuales se realizó la afectación contable.
II. Reconocer en el capital contable, dentro del resultado de ejercicios anteriores, el efecto financiero inicial; es decir, el monto de reservas para la cartera crediticia comercial correspondiente al mes del cálculo, diferido en un plazo de 24 meses contados a partir del 31 de enero de 2025, conforme a la siguiente fórmula:
![]()
Donde:
= Monto de reservas a reconocer en el capital contable para la cartera crediticia
comercial correspondiente en el mes 
.
= Efecto Financiero Inicial
Para tal efecto las entidades deberán reconocer en el estado de situación financiera el 100% del efecto inicial por la estimación preventiva para riesgos crediticios y un cargo diferido por el mismo importe que se disminuirá mensualmente contra el resultado de ejercicios anteriores, hasta completar el reconocimiento del efecto inicial al 31 de diciembre de 2026.
Al respecto, las sociedades deberán revelar en los correspondientes estados financieros trimestrales y anual del ejercicio 2025 y 2026, el efecto que derive de lo previsto en la presente fracción, así como en cualquier comunicado público de información financiera, como mínimo lo siguiente:
a) Que optó por realizar el reconocimiento diferido del efecto financiero inicial, derivado de la aplicación de las presentes disposiciones, en un plazo de 24 meses.
b) Una explicación detallada sobre los rubros y montos por los cuales se realizó la afectación contable y su efecto en el índice de capitalización y sus componentes.
Las sociedades deberán tener constituido el 100 % del monto de las reservas derivadas de la utilización de las metodologías aplicables a la cartera crediticia comercial, conforme a la presente Resolución, al 31 de diciembre del 2026.
Atentamente
Ciudad de México, a 20 de marzo de 2024.- Presidente de la Comisión Nacional Bancaria y de Valores, Dr. Jesús de la Fuente Rodríguez.- Rúbrica.
ANEXO A
Proyecciones Financieras a 3 años sobre el estado de situación financiera y el estado de resultado integral
| 
   
  | 
  
   
  | 
  
   
  | 
  
   
  | 
  
   
  | 
  
   
  | 
  
   
  | 
 |||||
| 
   PROYECCIONES DE ESTADOS FINANCIEROS  | 
  
   
  | 
  
   
  | 
  
   
  | 
  
   
  | 
  
   
  | 
  
   
  | 
 |||||
| 
   
  | 
  
   
  | 
  
   
  | 
  
   
  | 
  
   
  | 
  
   
  | 
  
   
  | 
 |||||
| 
   Denominación de la sociedad solicitante o, en su caso, propuesta de denominación  | 
  
   
  | 
  
   
  | 
  
   
  | 
 ||||||||
| 
   BASES DE LAS PROYECCIONES  | 
  
   
  | 
  
   
  | 
  
   
  | 
  
   
  | 
  
   
  | 
  
   
  | 
 |||||
| 
   
  | 
  
   
  | 
  
   
  | 
  
   
  | 
  
   
  | 
  
   
  | 
  
   
  | 
 |||||
| 
   1. Supuestos (Ver Cuadro 1)  | 
  
   
  | 
  
   
  | 
  
   
  | 
  
   
  | 
  
   
  | 
  
   
  | 
 |||||
| 
   
  | 
  
   
  | 
  
   
  | 
  
   
  | 
  
   
  | 
  
   
  | 
  
   
  | 
 |||||
| 
   
  | 
  
   Año 1  | 
  
   
  | 
  
   Año 2  | 
  
   
  | 
  
   Año 3  | 
  
   
  | 
 |||||
| 
   1.1 PIB Nacional (crecimiento anual)  | 
  
   0.00%  | 
  
   
  | 
  
   0.00%  | 
  
   
  | 
  
   0.00%  | 
  
   
  | 
 |||||
| 
   
  | 
  
   
  | 
  
   
  | 
  
   
  | 
  
   
  | 
  
   
  | 
  
   
  | 
 |||||
| 
   1.2 Tasas de interés de referencia (nominales al cierre del año)  | 
  
   Año 1  | 
  
   
  | 
  
   Año 2  | 
  
   
  | 
  
   Año 3  | 
  
   
  | 
 |||||
| 
   p.ej. Cetes 28 días.  | 
  
   0.00%  | 
  
   
  | 
  
   0.00%  | 
  
   
  | 
  
   0.00%  | 
  
   
  | 
 |||||
| 
   
  | 
  
   
  | 
  
   
  | 
  
   
  | 
  
   
  | 
  
   
  | 
  
   
  | 
 |||||
| 
   1.3 Tasas de interés ofrecidas al público (nominales al cierre del año)  | 
  
   
  | 
  
   
  | 
  
   
  | 
  
   
  | 
  
   
  | 
  
   
  | 
 |||||
| 
   En caso de emplear diferentes tasas de referencia; consigne su tasa promedio ponderada.  | 
  
   
  | 
  
   
  | 
  
   
  | 
  
   
  | 
  
   
  | 
  
   
  | 
 |||||
| 
   
  | 
  
   
  | 
  
   
  | 
  
   
  | 
  
   
  | 
  
   
  | 
  
   
  | 
 |||||
| 
   
  | 
  
   Año 1  | 
  
   
  | 
  
   Año 2  | 
  
   
  | 
  
   Año 3  | 
  
   
  | 
 |||||
| 
   Créditos  | 
  
   $ -  | 
  
   
  | 
  
   $ -  | 
  
   
  | 
  
   $ -  | 
  
   
  | 
 |||||
| 
   Depósitos  | 
  
   $ -  | 
  
   
  | 
  
   $ -  | 
  
   
  | 
  
   $ -  | 
  
   
  | 
 |||||
| 
   Títulos de crédito emitidos  | 
  
   $ -  | 
  
   
  | 
  
   $ -  | 
  
   
  | 
  
   $ -  | 
  
   
  | 
 |||||
| 
   
  | 
  
   
  | 
  
   
  | 
  
   
  | 
  
   
  | 
  
   
  | 
  
   
  | 
 |||||
| 
   2. Información financiera (cifras en miles de $)  | 
  
   
  | 
  
   
  | 
  
   
  | 
  
   
  | 
  
   
  | 
  
   
  | 
 |||||
| 
   
  | 
  
   
  | 
  
   
  | 
  
   
  | 
  
   
  | 
  
   
  | 
  
   
  | 
 |||||
| 
   La información financiera debe estar preparada de conformidad con los criterios contables para las sociedades cooperativas de ahorro y préstamo establecidos al efecto y deberá corresponder con el nivel de operaciones solicitado y con la cantidad en UDIS de activos totales, netos de sus correspondientes depreciaciones y reservas, que tenga la sociedad respectiva a la fecha de la solicitud.  | 
 |||||||||||
| 
   
  | 
  
   
  | 
  
   
  | 
  
   
  | 
  
   
  | 
  
   
  | 
  
   
  | 
 |||||
| 
   
  | 
  
   Cifras al:  | 
  
   
  | 
  
   Cifras al:  | 
  
   
  | 
  
   Cifras al:  | 
  
   
  | 
 |||||
| 
   
  | 
  
   
  | 
  
   
  | 
  
   
  | 
  
   
  | 
  
   
  | 
  
   
  | 
 |||||
| 
   
  | 
  
   Año 1  | 
  
   %  | 
  
   Año 2  | 
  
   %  | 
  
   Año 3  | 
  
   %  | 
 |||||
| 
   ESTADO DE SITUACIÓN FINANCIERA  | 
  
   
  | 
  
   
  | 
  
   
  | 
  
   
  | 
  
   
  | 
  
   
  | 
 |||||
| 
   ACTIVO  | 
  
   
  | 
  
   
  | 
  
   
  | 
  
   
  | 
  
   
  | 
  
   
  | 
 |||||
| 
   Efectivo y equivalentes de efectivo  | 
  
   $ -  | 
  
   
  | 
  
   $ -  | 
  
   
  | 
  
   $ -  | 
  
   
  | 
 |||||
| 
   Inversiones en instrumentos financieros  | 
  
   $ -  | 
  
   
  | 
  
   $ -  | 
  
   
  | 
  
   $ -  | 
  
   
  | 
 |||||
| 
   Deudores por reporto  | 
  
   $ -  | 
  
   
  | 
  
   $ -  | 
  
   
  | 
  
   $ -  | 
  
   
  | 
 |||||
| 
   Cartera de crédito con riesgo de crédito etapa 1  | 
  
   $ -  | 
  
   
  | 
  
   $ -  | 
  
   
  | 
  
   $ -  | 
  
   
  | 
 |||||
| 
   Cartera de crédito con riesgo de crédito etapa 2  | 
  
   $ -  | 
  
   
  | 
  
   $ -  | 
  
   
  | 
  
   $ -  | 
  
   
  | 
 |||||
| 
   Cartera de crédito con riesgo de crédito etapa 3  | 
  
   $ -  | 
  
   
  | 
  
   $ -  | 
  
   
  | 
  
   $ -  | 
  
   
  | 
 |||||
| 
   Cartera de crédito valuada a valor razonable  | 
  
   $ -  | 
  
   
  | 
  
   $ -  | 
  
   
  | 
  
   $ -  | 
  
   
  | 
 |||||
| 
   (+/-) Partidas diferidas  | 
  
   $ -  | 
  
   
  | 
  
   $ -  | 
  
   
  | 
  
   $ -  | 
  
   
  | 
 |||||
| 
   Estimación preventiva para riesgos crediticios  | 
  
   $ -  | 
  
   
  | 
  
   $ -  | 
  
   
  | 
  
   $ -  | 
  
   
  | 
 |||||
| 
   Beneficios por recibir en operaciones de bursatilización  | 
  
   $ -  | 
  
   
  | 
  
   $ -  | 
  
   
  | 
  
   $ -  | 
  
   
  | 
 |||||
| 
   Otras cuentas por cobrar (neto)  | 
  
   $ -  | 
  
   
  | 
  
   $ -  | 
  
   
  | 
  
   $ -  | 
  
   
  | 
 |||||
| 
   Bienes adjudicados (neto)  | 
  
   $ -  | 
  
   
  | 
  
   $ -  | 
  
   
  | 
  
   $ -  | 
  
   
  | 
 |||||
| 
   Activos de larga duración mantenidos para la venta o para distribuir a los socios  | 
  
   $ -  | 
  
   
  | 
  
   $ -  | 
  
   
  | 
  
   $ -  | 
  
   
  | 
 |||||
| 
   Pagos anticipados y otros activos  | 
  
   $ -  | 
  
   
  | 
  
   $ -  | 
  
   
  | 
  
   $ -  | 
  
   
  | 
 |||||
| 
   Propiedades, mobiliario y equipo (neto)  | 
  
   $ -  | 
  
   
  | 
  
   $ -  | 
  
   
  | 
  
   $ -  | 
  
   
  | 
 |||||
| 
   Activos por derechos de uso de propiedades, mobiliario y equipo (neto)  | 
  
   $ -  | 
  
   
  | 
  
   $ -  | 
  
   
  | 
  
   $ -  | 
  
   
  | 
 |||||
| 
   Inversiones permanentes  | 
  
   $ -  | 
  
   
  | 
  
   $ -  | 
  
   
  | 
  
   $ -  | 
  
   
  | 
 |||||
| 
   Activos intangibles (neto)  | 
  
   $ -  | 
  
   
  | 
  
   $ -  | 
  
   
  | 
  
   $ -  | 
  
   
  | 
 |||||
| 
   Activos por derechos de uso de activos intangibles (neto)  | 
  
   $ -  | 
  
   
  | 
  
   $ -  | 
  
   
  | 
  
   $ -  | 
  
   
  | 
 |||||
| 
   Crédito mercantil  | 
  
   $ -  | 
  
   
  | 
  
   $ -  | 
  
   
  | 
  
   $ -  | 
  
   
  | 
 |||||
| 
   TOTAL DE ACTIVO  | 
  
   $ -  | 
  
   0%  | 
  
   $ -  | 
  
   0%  | 
  
   $ -  | 
  
   0%  | 
 |||||
| 
   
  | 
  
   
  | 
  
   
  | 
  
   
  | 
  
   
  | 
  
   
  | 
  
   
  | 
 |||||
| 
   PASIVO  | 
  
   
  | 
  
   
  | 
  
   
  | 
  
   
  | 
  
   
  | 
  
   
  | 
 |||||
| 
   Captación tradicional  | 
  
   $ -  | 
  
   
  | 
  
   $ -  | 
  
   
  | 
  
   $ -  | 
  
   
  | 
 |||||
| 
   Depósitos de exigibilidad inmediata  | 
  
   $ -  | 
  
   
  | 
  
   $ -  | 
  
   
  | 
  
   $ -  | 
  
   
  | 
 |||||
| 
   Depósitos a plazo  | 
  
   $ -  | 
  
   
  | 
  
   $ -  | 
  
   
  | 
  
   $ -  | 
  
   
  | 
 |||||
| 
   Cuenta global de captación sin movimientos  | 
  
   $ -  | 
  
   
  | 
  
   $ -  | 
  
   
  | 
  
   $ -  | 
  
   
  | 
 |||||
| 
   Préstamos bancarios y de otros organismos  | 
  
   $ -  | 
  
   
  | 
  
   $ -  | 
  
   
  | 
  
   $ -  | 
  
   
  | 
 |||||
| 
   Colaterales vendidos o dados en garantía  | 
  
   $ -  | 
  
   
  | 
  
   $ -  | 
  
   
  | 
  
   $ -  | 
  
   
  | 
 |||||
| 
   Obligaciones en operaciones de bursatilización  | 
  
   $ -  | 
  
   
  | 
  
   $ -  | 
  
   
  | 
  
   $ -  | 
  
   
  | 
 |||||
| 
   Pasivo por arrendamiento  | 
  
   $ -  | 
  
   
  | 
  
   $ -  | 
  
   
  | 
  
   $ -  | 
  
   
  | 
 |||||
| 
   Otras cuentas por pagar  | 
  
   $ -  | 
  
   
  | 
  
   $ -  | 
  
   
  | 
  
   $ -  | 
  
   
  | 
 |||||
| 
   Pasivos relacionados con grupos de activos mantenidos para la venta  | 
  
   $ -  | 
  
   
  | 
  
   $ -  | 
  
   
  | 
  
   $ -  | 
  
   
  | 
 |||||
| 
   Instrumentos financieros que califican como pasivo  | 
  
   $ -  | 
  
   
  | 
  
   $ -  | 
  
   
  | 
  
   $ -  | 
  
   
  | 
 |||||
| 
   Obligaciones asociadas con el retiro de componentes de propiedades, mobiliario y equipo  | 
  
   $ -  | 
  
   
  | 
  
   $ -  | 
  
   
  | 
  
   $ -  | 
  
   
  | 
 |||||
| 
   Pasivo por beneficios a los empleados  | 
  
   $ -  | 
  
   
  | 
  
   $ -  | 
  
   
  | 
  
   $ -  | 
  
   
  | 
 |||||
| 
   Créditos diferidos y cobros anticipados  | 
  
   $ -  | 
  
   
  | 
  
   $ -  | 
  
   
  | 
  
   $ -  | 
  
   
  | 
 |||||
| 
   TOTAL DE PASIVO  | 
  
   $ -  | 
  
   0%  | 
  
   $ -  | 
  
   0%  | 
  
   $ -  | 
  
   0%  | 
 |||||
| 
   
  | 
  
   
  | 
  
   
  | 
  
   
  | 
  
   
  | 
  
   
  | 
  
   
  | 
 |||||
| 
   CAPITAL CONTABLE  | 
  
   
  | 
  
   
  | 
  
   
  | 
  
   
  | 
  
   
  | 
  
   
  | 
 |||||
| 
   CAPITAL CONTRIBUIDO  | 
  
   
  | 
  
   
  | 
  
   
  | 
  
   
  | 
  
   
  | 
  
   
  | 
 |||||
| 
   Capital social  | 
  
   $ -  | 
  
   
  | 
  
   $ -  | 
  
   
  | 
  
   $ -  | 
  
   
  | 
 |||||
| 
   Certificados de aportación ordinarios  | 
  
   $ -  | 
  
   
  | 
  
   $ -  | 
  
   
  | 
  
   $ -  | 
  
   
  | 
 |||||
| 
   Certificados de excedentes voluntarios  | 
  
   $ -  | 
  
   
  | 
  
   $ -  | 
  
   
  | 
  
   $ -  | 
  
   
  | 
 |||||
| 
   Certificados para capital de riesgo  | 
  
   $ -  | 
  
   
  | 
  
   $ -  | 
  
   
  | 
  
   $ -  | 
  
   
  | 
 |||||
| 
   Aportaciones para futuros aumentos de capital formalizadas por la Asamblea General de Socios  | 
  
   $ -  | 
  
   
  | 
  
   $ -  | 
  
   
  | 
  
   $ -  | 
  
   
  | 
 |||||
| 
   Efecto por incorporación al régimen de sociedades cooperativas de ahorro y préstamo  | 
  
   $ -  | 
  
   
  | 
  
   $ -  | 
  
   
  | 
  
   $ -  | 
  
   
  | 
 |||||
| 
   CAPITAL GANADO  | 
  
   
  | 
  
   
  | 
  
   
  | 
  
   
  | 
  
   
  | 
  
   
  | 
 |||||
| 
   Fondo de reserva  | 
  
   $ -  | 
  
   
  | 
  
   $ -  | 
  
   
  | 
  
   $ -  | 
  
   
  | 
 |||||
| 
   Otras reservas de capital  | 
  
   $ -  | 
  
   
  | 
  
   $ -  | 
  
   
  | 
  
   $ -  | 
  
   
  | 
 |||||
| 
   Resultados acumulados  | 
  
   $ -  | 
  
   
  | 
  
   $ -  | 
  
   
  | 
  
   $ -  | 
  
   
  | 
 |||||
| 
   Otros resultados integrales  | 
  
   
  | 
  
   
  | 
  
   
  | 
  
   
  | 
  
   
  | 
  
   
  | 
 |||||
| 
   Participación en ORI de otras entidades  | 
  
   $ -  | 
  
   
  | 
  
   $ -  | 
  
   
  | 
  
   $ -  | 
  
   
  | 
 |||||
| 
   TOTAL CAPITAL CONTABLE  | 
  
   $ -  | 
  
   0%  | 
  
   $ -  | 
  
   0%  | 
  
   $ -  | 
  
   0%  | 
 |||||
| 
   TOTAL PASIVO Y CAPITAL CONTABLE  | 
  
   $ -  | 
  
   0%  | 
  
   $ -  | 
  
   0%  | 
  
   $ -  | 
  
   0%  | 
 |||||
| 
   ESTADO DE RESULTADO INTEGRAL  | 
  
   
  | 
  
   
  | 
  
   
  | 
  
   
  | 
  
   
  | 
  
   
  | 
 ||||||
| 
   
  | 
  
   
  | 
  
   
  | 
  
   
  | 
  
   
  | 
  
   
  | 
  
   
  | 
 ||||||
| 
   
  | 
  
   Cifras  | 
  
   
  | 
  
   Cifras  | 
  
   
  | 
  
   Cifras  | 
  
   
  | 
 ||||||
| 
   
  | 
  
   del:  | 
  
   
  | 
  
   del:  | 
  
   
  | 
  
   del:  | 
  
   
  | 
 ||||||
| 
   
  | 
  
   al:  | 
  
   
  | 
  
   al:  | 
  
   
  | 
  
   al:  | 
  
   
  | 
 ||||||
| 
   Ingresos por intereses  | 
  
   $ -  | 
  
   
  | 
  
   $ -  | 
  
   
  | 
  
   $ -  | 
  
   
  | 
 ||||||
| 
   Gastos por intereses  | 
  
   $ -  | 
  
   
  | 
  
   $ -  | 
  
   
  | 
  
   $ -  | 
  
   
  | 
 ||||||
| 
   Resultado por posición monetaria neto (margen financiero)  | 
  
   $ -  | 
  
   
  | 
  
   $ -  | 
  
   
  | 
  
   $ -  | 
  
   
  | 
 ||||||
| 
   MARGEN FINANCIERO  | 
  
   $ -  | 
  
   
  | 
  
   $ -  | 
  
   
  | 
  
   $ -  | 
  
   
  | 
 ||||||
| 
   Estimación preventiva para riesgos crediticios  | 
  
   $ -  | 
  
   
  | 
  
   $ -  | 
  
   
  | 
  
   $ -  | 
  
   
  | 
 ||||||
| 
   MARGEN FINANCIERO AJUSTADO POR RIESGOS CREDITICIOS  | 
  
   $ -  | 
  
   
  | 
  
   $ -  | 
  
   
  | 
  
   $ -  | 
  
   
  | 
 ||||||
| 
   Comisiones y tarifas cobradas  | 
  
   $ -  | 
  
   
  | 
  
   $ -  | 
  
   
  | 
  
   $ -  | 
  
   
  | 
 ||||||
| 
   Comisiones y tarifas pagadas  | 
  
   $ -  | 
  
   
  | 
  
   $ -  | 
  
   
  | 
  
   $ -  | 
  
   
  | 
 ||||||
| 
   Resultado por intermediación  | 
  
   $ -  | 
  
   
  | 
  
   $ -  | 
  
   
  | 
  
   $ -  | 
  
   
  | 
 ||||||
| 
   Otros ingresos (egresos) de la operación  | 
  
   $ -  | 
  
   
  | 
  
   $ -  | 
  
   
  | 
  
   $ -  | 
  
   
  | 
 ||||||
| 
   Gastos de administración y promoción  | 
  
   $ -  | 
  
   
  | 
  
   $ -  | 
  
   
  | 
  
   $ -  | 
  
   
  | 
 ||||||
| 
   RESULTADO DE LA OPERACIÓN  | 
  
   $ -  | 
  
   
  | 
  
   $ -  | 
  
   
  | 
  
   $ -  | 
  
   
  | 
 ||||||
| 
   Participación en el resultado neto de otras entidades  | 
  
   $ -  | 
  
   
  | 
  
   $ -  | 
  
   
  | 
  
   $ -  | 
  
   
  | 
 ||||||
| 
   RESULTADO DE OPERACIONES CONTINUAS  | 
  
   $ -  | 
  
   
  | 
  
   $ -  | 
  
   
  | 
  
   $ -  | 
  
   
  | 
 ||||||
| 
   Operaciones discontinuadas  | 
  
   $ -  | 
  
   
  | 
  
   $ -  | 
  
   
  | 
  
   $ -  | 
  
   
  | 
 ||||||
| 
   RESULTADO NETO  | 
  
   $ -  | 
  
   
  | 
  
   $ -  | 
  
   
  | 
  
   $ -  | 
  
   
  | 
 ||||||
| 
   Otros Resultados Integrales  | 
  
   $ -  | 
  
   
  | 
  
   $ -  | 
  
   
  | 
  
   $ -  | 
  
   
  | 
 ||||||
| 
   Participación en ORI de otras entidades  | 
  
   $ -  | 
  
   
  | 
  
   $ -  | 
  
   
  | 
  
   $ -  | 
  
   
  | 
 ||||||
| 
   RESULTADO INTEGRAL  | 
  
   $ -  | 
  
   
  | 
  
   $ -  | 
  
   
  | 
  
   $ -  | 
  
   
  | 
 ||||||
| 
   
  | 
  
   
  | 
  
   
  | 
  
   
  | 
  
   
  | 
  
   
  | 
  
   
  | 
 ||||||
| 
   Ver cuadro 2  | 
  
   
  | 
  
   
  | 
  
   
  | 
  
   
  | 
  
   
  | 
  
   
  | 
 ||||||
| 
   Número de depositantes  | 
  
   -  | 
  
   
  | 
  
   -  | 
  
   
  | 
  
   -  | 
  
   
  | 
 ||||||
| 
   Número de acreditados  | 
  
   -  | 
  
   
  | 
  
   -  | 
  
   
  | 
  
   -  | 
  
   
  | 
 ||||||
| 
   Número de sucursales  | 
  
   -  | 
  
   
  | 
  
   -  | 
  
   
  | 
  
   -  | 
  
   
  | 
 ||||||
| 
   
  | 
  
   
  | 
  
   
  | 
  
   
  | 
  
   
  | 
  
   
  | 
  
   
  | 
 ||||||
| 
   
  | 
  
   
  | 
  
   
  | 
  
   
  | 
  
   
  | 
  
   
  | 
  
   
  | 
 ||||||
| 
   2. Índices de desempeño  | 
  
   Año 1  | 
  
   
  | 
  
   Año 2  | 
  
   
  | 
  
   Año 3  | 
  
   
  | 
 ||||||
| 
   
  | 
  
   
  | 
  
   
  | 
  
   
  | 
  
   
  | 
  
   
  | 
  
   
  | 
 ||||||
| 
   Coeficiente de Liquidez (expresado en %)  | 
  
   
  | 
  
   
  | 
  
   
  | 
  
   
  | 
  
   
  | 
  
   
  | 
 ||||||
| 
   ((Depósitos a la vista + títulos bancarios con plazo menor a 30 días + valores gubernamentales con plazo menor a 30 días)) /pasivos de corto plazo) *  | 
  
   
  | 
  
   
  | 
  
   
  | 
  
   
  | 
  
   
  | 
  
   
  | 
 ||||||
| 
   
  | 
  
   
  | 
  
   
  | 
  
   
  | 
  
   
  | 
  
   
  | 
  
   
  | 
 ||||||
| 
   Apalancamiento (expresado en %)  | 
  
   
  | 
  
   
  | 
  
   
  | 
  
   
  | 
  
   
  | 
  
   
  | 
 ||||||
| 
   (Activo total/Pasivo total)  | 
  
   
  | 
  
   
  | 
  
   
  | 
  
   
  | 
  
   
  | 
  
   
  | 
 ||||||
| 
   
  | 
  
   
  | 
  
   
  | 
  
   
  | 
  
   
  | 
  
   
  | 
  
   
  | 
 ||||||
| 
   Morosidad (expresado en %)  | 
  
   
  | 
  
   
  | 
  
   
  | 
  
   
  | 
  
   
  | 
  
   
  | 
 ||||||
| 
   (Saldo de la cartera de crédito con riesgo de crédito etapa 3 / (Cartera de crédito con riesgo de crédito etapa 1 + Cartera de crédito con riesgo de crédito etapa 2 + Cartera de crédito con riesgo de crédito etapa 3)  | 
  
   
  | 
  
   
  | 
  
   
  | 
  
   
  | 
  
   
  | 
  
   
  | 
 ||||||
| 
   
  | 
  
   
  | 
  
   
  | 
  
   
  | 
  
   
  | 
  
   
  | 
  
   
  | 
 ||||||
| 
   Nivel de Capitalización (expresado en %)  | 
  
   
  | 
  
   
  | 
  
   
  | 
  
   
  | 
  
   
  | 
  
   
  | 
 ||||||
| 
   (Capital neto/Activos sujetos a riesgo) *  | 
  
   
  | 
  
   
  | 
  
   
  | 
  
   
  | 
  
   
  | 
  
   
  | 
 ||||||
| 
   
  | 
  
   
  | 
  
   
  | 
  
   
  | 
  
   
  | 
  
   
  | 
  
   
  | 
 ||||||
| 
   Cobertura (expresado en %)  | 
  
   
  | 
  
   
  | 
  
   
  | 
  
   
  | 
  
   
  | 
  
   
  | 
 ||||||
| 
   (Estimación preventiva para riesgos crediticios/Cartera de crédito con riesgo de crédito etapa 3)  | 
  
   
  | 
  
   
  | 
  
   
  | 
  
   
  | 
  
   
  | 
  
   
  | 
 ||||||
| 
   
  | 
  
   
  | 
  
   
  | 
  
   
  | 
  
   
  | 
  
   
  | 
  
   
  | 
 ||||||
| 
   ROE (expresado en %)  | 
  
   
  | 
  
   
  | 
  
   
  | 
  
   
  | 
  
   
  | 
  
   
  | 
 ||||||
| 
   (Resultado neto/Capital contable)  | 
  
   
  | 
  
   
  | 
  
   
  | 
  
   
  | 
  
   
  | 
  
   
  | 
 ||||||
| 
   
  | 
  
   
  | 
  
   
  | 
  
   
  | 
  
   
  | 
  
   
  | 
  
   
  | 
 ||||||
| 
   ROA (expresado en %)  | 
  
   
  | 
  
   
  | 
  
   
  | 
  
   
  | 
  
   
  | 
  
   
  | 
 ||||||
| 
   (Resultado neto/Activo total)  | 
  
   
  | 
  
   
  | 
  
   
  | 
  
   
  | 
  
   
  | 
  
   
  | 
 ||||||
| 
   
  | 
  
   
  | 
  
   
  | 
  
   
  | 
  
   
  | 
  
   
  | 
  
   
  | 
 ||||||
| 
   * Determinados conforme a la regulación prudencial emitida por la Comisión.  | 
  
   
  | 
  
   
  | 
  
   
  | 
  
   
  | 
  
   
  | 
  
   
  | 
 ||||||
| 
   
  | 
  
   
  | 
  
   
  | 
  
   
  | 
  
   
  | 
  
   
  | 
  
   
  | 
 ||||||
| 
   Segmentación ver cuadro 3  | 
  
   
  | 
  
   
  | 
  
   
  | 
  
   
  | 
  
   
  | 
  
   
  | 
 ||||||
| 
   Cartera de crédito (cartera de crédito con riesgo de crédito etapa 1 + cartera de crédito con riesgo de crédito etapa 2 + cartera de crédito con riesgo de crédito etapa 3 + cartera de crédito valuada a valor razonable)  | 
  
   
  | 
  
   
  | 
  
   
  | 
 |||||||||
| 
   (Cifras en miles de $)  | 
  
   
  | 
  
   
  | 
  
   
  | 
  
   
  | 
  
   
  | 
  
   
  | 
 ||||||
| 
   Créditos comerciales  | 
  
   $ -  | 
  
   
  | 
  
   $ -  | 
  
   
  | 
  
   $ -  | 
  
   
  | 
 ||||||
| 
   Créditos al consumo  | 
  
   $ -  | 
  
   
  | 
  
   $ -  | 
  
   
  | 
  
   $ -  | 
  
   
  | 
 ||||||
| 
   Créditos a la vivienda  | 
  
   $ -  | 
  
   
  | 
  
   $ -  | 
  
   
  | 
  
   $ -  | 
  
   
  | 
 ||||||
| 
   TOTAL  | 
  
   $ -  | 
  
   
  | 
  
   $ -  | 
  
   
  | 
  
   $ -  | 
  
   
  | 
 ||||||
| 
   
  | 
  
   
  | 
  
   
  | 
  
   
  | 
  
   
  | 
  
   
  | 
  
   
  | 
 ||||||
| 
   Captación directa  | 
  
   
  | 
  
   
  | 
  
   
  | 
  
   
  | 
  
   
  | 
  
   
  | 
 ||||||
| 
   (Cifras en miles de $, incluyendo sus respectivos intereses)  | 
  
   
  | 
  
   
  | 
  
   
  | 
  
   
  | 
  
   
  | 
  
   
  | 
 ||||||
| 
   Depósitos de exigibilidad inmediata  | 
  
   $ -  | 
  
   
  | 
  
   $ -  | 
  
   
  | 
  
   $ -  | 
  
   
  | 
 ||||||
| 
   Depósitos a plazo  | 
  
   $ -  | 
  
   
  | 
  
   $ -  | 
  
   
  | 
  
   $ -  | 
  
   
  | 
 ||||||
| 
   Títulos de crédito emitidos  | 
  
   $ -  | 
  
   
  | 
  
   $ -  | 
  
   
  | 
  
   $ -  | 
  
   
  | 
 ||||||
| 
   TOTAL  | 
  
   $ -  | 
  
   
  | 
  
   $ -  | 
  
   
  | 
  
   $ -  | 
  
   
  | 
 ||||||
| 
   
  | 
  
   
  | 
  
   
  | 
  
   
  | 
  
   
  | 
  
   
  | 
  
   
  | 
 ||||||
| 
   CUADRO 1  | 
  
   
  | 
  
   
  | 
  
   
  | 
  
   
  | 
  
   
  | 
 
| 
   
  | 
 |||||
| 
   El año 1 se refiere al primer año completo de operación una vez que se encuentren autorizados por la Comisión. Los años 2 y 3 deberán de ser considerados con base al año calendario, es decir de enero a diciembre.  | 
 |||||
| 
   
  | 
 |||||
| 
   Las tasas de referencia son aquellas que se utilizan para pactar los términos de sus operaciones de captación y crédito.  | 
 |||||
| 
   
  | 
 |||||
| 
   Las tasas ofrecidas al público son la tasa promedio ofrecida a los usuarios por sus depósitos y sus créditos.  | 
 |||||
| 
   
  | 
 |||||
| 
   CUADRO 2  | 
  
   
  | 
  
   
  | 
 |
| 
   
  | 
 |||
| 
   La sociedad estimará su número de depositantes y el número de personas a las que se les otorgará un crédito y las sucursales con base a su Plan General de Operación.  | 
 |||
| 
   
  | 
  
   
  | 
  
   
  | 
  
   
  | 
 
| 
   CUADRO 3  | 
 
| 
   
  | 
 
| 
   La sociedad deberá segmentar por su tipo tanto la captación directa como la colocación de créditos.  | 
 
| 
   
  | 
 
ANEXO B
FORMATO DEL ESTADO DE SITUACIÓN FINANCIERA Y ESTADO DE RESULTADO INTEGRAL
| 
   ESTADOS FINANCIEROS  | 
  
   
  | 
  
   
  | 
  
   
  | 
  
  | 
 ||||||
| 
   
  | 
  
   
  | 
  
   
  | 
  
   
  | 
  
  | 
 ||||||
| 
   Sociedades cooperativas de ahorro y préstamo que a la fecha de la presentación de la solicitud de autorización se encuentren realizando operaciones de ahorro y préstamo  | 
  
  | 
 |||||||||
| 
   
  | 
  
   
  | 
  
   
  | 
  
   
  | 
  
  | 
 ||||||
| 
   
  | 
  
   
  | 
  
   
  | 
  
   
  | 
  
  | 
 ||||||
| 
   1. Información financiera (cifras en miles de $)  | 
  
   
  | 
  
   
  | 
  
   
  | 
  
  | 
 ||||||
| 
   
  | 
  
   
  | 
  
   
  | 
  
   
  | 
  
  | 
 ||||||
| 
   La información financiera debe estar preparada, de conformidad con los criterios contables establecidos al efecto y deberá corresponder con el nivel de operaciones solicitado y con la cantidad en UDIS de activos totales, netos de sus correspondientes depreciaciones y reservas, que tenga la sociedad respectiva a la fecha de la solicitud.  | 
  
  | 
 |||||||||
| 
   
  | 
  
   
  | 
  
   
  | 
  
   
  | 
  
  | 
 ||||||
| 
   Cifras al:  | 
  
   
  | 
  
   
  | 
  
   
  | 
  
  | 
 ||||||
| 
   
  | 
  
   
  | 
  
   
  | 
  
   
  | 
  
  | 
 ||||||
| 
   
  | 
  
   Históricas  | 
  
   Actualización  | 
  
   Total  | 
  
  | 
 ||||||
| 
   ESTADO DE SITUACIÓN FINANCIERA  | 
  
   
  | 
  
   
  | 
  
   
  | 
  
  | 
 ||||||
| 
   ACTIVO  | 
  
   
  | 
  
   
  | 
  
   
  | 
  
  | 
 ||||||
| 
   Efectivo y equivalentes de efectivo  | 
  
   $ -  | 
  
   $ -  | 
  
   $ -  | 
  
  | 
 ||||||
| 
   Inversiones en instrumentos financieros  | 
  
   $ -  | 
  
   $ -  | 
  
   $ -  | 
  
  | 
 ||||||
| 
   Deudores por reporto  | 
  
   $ -  | 
  
   $ -  | 
  
   $ -  | 
  
  | 
 ||||||
| 
   Cartera de crédito con riesgo de crédito etapa 1  | 
  
   $ -  | 
  
   $ -  | 
  
   $ -  | 
  
  | 
 ||||||
| 
   Cartera de crédito con riesgo de crédito etapa 2  | 
  
   $ -  | 
  
   $ -  | 
  
   $ -  | 
  
  | 
 ||||||
| 
   Cartera de crédito con riesgo de crédito etapa 3  | 
  
   $ -  | 
  
   $ -  | 
  
   $ -  | 
  
  | 
 ||||||
| 
   Cartera de crédito valuada a valor razonable  | 
  
   $ -  | 
  
   $ -  | 
  
   $ -  | 
  
  | 
 ||||||
| 
   (+/-) Partidas diferidas  | 
  
   $ -  | 
  
   $ -  | 
  
   $ -  | 
  
  | 
 ||||||
| 
   Estimación preventiva para riesgos crediticios  | 
  
   $ -  | 
  
   $ -  | 
  
   $ -  | 
  
  | 
 ||||||
| 
   Beneficios por recibir en operaciones de bursatilización  | 
  
   $ -  | 
  
   $ -  | 
  
   $ -  | 
  
  | 
 ||||||
| 
   Otras cuentas por cobrar (neto)  | 
  
   $ -  | 
  
   $ -  | 
  
   $ -  | 
  
  | 
 ||||||
| 
   Bienes adjudicados (neto)  | 
  
   $ -  | 
  
   $ -  | 
  
   $ -  | 
  
  | 
 ||||||
| 
   Activos de larga duración mantenidos para la venta o para distribuir a los socios  | 
  
   $ -  | 
  
   $ -  | 
  
   $ -  | 
  
  | 
 ||||||
| 
   Pagos anticipados y otros activos  | 
  
   $ -  | 
  
   $ -  | 
  
   $ -  | 
  
  | 
 ||||||
| 
   Propiedades, mobiliario y equipo (neto)  | 
  
   $ -  | 
  
   $ -  | 
  
   $ -  | 
  
  | 
 ||||||
| 
   Activos por derechos de uso de propiedades, mobiliario y equipo (neto)  | 
  
   $ -  | 
  
   $ -  | 
  
   $ -  | 
  
  | 
 ||||||
| 
   Inversiones permanentes  | 
  
   $ -  | 
  
   $ -  | 
  
   $ -  | 
  
  | 
 ||||||
| 
   Activos intangibles (neto)  | 
  
   $ -  | 
  
   $ -  | 
  
   $ -  | 
  
  | 
 ||||||
| 
   Activos por derechos de uso de activos intangibles (neto)  | 
  
   $ -  | 
  
   $ -  | 
  
   $ -  | 
  
  | 
 ||||||
| 
   Crédito mercantil  | 
  
   $ -  | 
  
   $ -  | 
  
   $ -  | 
  
  | 
 ||||||
| 
   TOTAL DE ACTIVO  | 
  
   $ -  | 
  
   $ -  | 
  
   $ -  | 
  
  | 
 ||||||
| 
   
  | 
  
   
  | 
  
   
  | 
  
   
  | 
  
  | 
 ||||||
| 
   PASIVO  | 
  
   
  | 
  
   
  | 
  
   
  | 
  
  | 
 ||||||
| 
   Captación tradicional  | 
  
   $ -  | 
  
   $ -  | 
  
   $ -  | 
  
  | 
 ||||||
| 
   Depósitos de exigibilidad inmediata  | 
  
   $ -  | 
  
   $ -  | 
  
   $ -  | 
  
  | 
 ||||||
| 
   Depósitos a plazo  | 
  
   $ -  | 
  
   $ -  | 
  
   $ -  | 
  
  | 
 ||||||
| 
   Cuenta global de captación sin movimientos  | 
  
   $ -  | 
  
   $ -  | 
  
   $ -  | 
  
  | 
 ||||||
| 
   Préstamos bancarios y de otros organismos  | 
  
   $ -  | 
  
   $ -  | 
  
   $ -  | 
  
  | 
 ||||||
| 
   Colaterales vendidos o dados en garantía  | 
  
   $ -  | 
  
   $ -  | 
  
   $ -  | 
  
  | 
 ||||||
| 
   Obligaciones en operaciones de bursatilización  | 
  
   $ -  | 
  
   $ -  | 
  
   $ -  | 
  
  | 
 ||||||
| 
   Pasivo por arrendamiento  | 
  
   $ -  | 
  
   $ -  | 
  
   $ -  | 
  
  | 
 ||||||
| 
   Otras cuentas por pagar  | 
  
   $ -  | 
  
   $ -  | 
  
   $ -  | 
  
  | 
 ||||||
| 
   Pasivos relacionados con grupos de activos mantenidos para la venta  | 
  
   $ -  | 
  
   $ -  | 
  
   $ -  | 
  
  | 
 ||||||
| 
   Instrumentos financieros que califican como pasivo  | 
  
   $ -  | 
  
   $ -  | 
  
   $ -  | 
  
  | 
 ||||||
| 
   Obligaciones asociadas con el retiro de componentes de propiedades, mobiliario y equipo  | 
  
   $ -  | 
  
   $ -  | 
  
   $ -  | 
  
  | 
 ||||||
| 
   Pasivo por beneficios a los empleados  | 
  
   $ -  | 
  
   $ -  | 
  
   $ -  | 
  
  | 
 ||||||
| 
   Créditos diferidos y cobros anticipados  | 
  
   $ -  | 
  
   $ -  | 
  
   $ -  | 
  
  | 
 ||||||
| 
   TOTAL DE PASIVO  | 
  
   $ -  | 
  
   $ -  | 
  
   $ -  | 
  
  | 
 ||||||
| 
   
  | 
  
   
  | 
  
   
  | 
  
   
  | 
  
  | 
 ||||||
| 
   CAPITAL CONTABLE  | 
  
   
  | 
  
   
  | 
  
   
  | 
  
  | 
 ||||||
| 
   CAPITAL CONTRIBUIDO  | 
  
   
  | 
  
   
  | 
  
   
  | 
  
  | 
 ||||||
| 
   Capital social  | 
  
   $ -  | 
  
   $ -  | 
  
   $ -  | 
  
  | 
 ||||||
| 
   Certificados de aportación ordinarios  | 
  
   $ -  | 
  
   $ -  | 
  
   $ -  | 
  
  | 
 ||||||
| 
   Certificados de excedentes voluntarios  | 
  
   $ -  | 
  
   $ -  | 
  
   $ -  | 
  
  | 
 ||||||
| 
   Certificados para capital de riesgo  | 
  
   $ -  | 
  
   $ -  | 
  
   $ -  | 
  
  | 
 ||||||
| 
   Aportaciones para futuros aumentos de capital formalizadas por su Asamblea General de Socios  | 
  
   $ -  | 
  
   
  | 
  
   $ -  | 
  
  | 
 ||||||
| 
   Efecto por incorporación al régimen de sociedades cooperativas de ahorro y préstamo  | 
  
   $ -  | 
  
   
  | 
  
   $ -  | 
  
  | 
 ||||||
| 
   CAPITAL GANADO  | 
  
   
  | 
  
   
  | 
  
   
  | 
  
  | 
 ||||||
| 
   TOTAL CAPITAL CONTABLE  | 
  
   $ -  | 
  
   $ -  | 
  
   $ -  | 
  
  | 
 ||||||
| 
   PASIVO + CAPITAL CONTABLE  | 
  
   $ -  | 
  
   $ -  | 
  
   $ -  | 
  
  | 
 ||||||
| 
   
  | 
  
   
  | 
  
   
  | 
  
   
  | 
  
  | 
 ||||||
| 
   ESTADO DE RESULTADO INTEGRAL  | 
  
   
  | 
  
   
  | 
  
   
  | 
  
  | 
 ||||||
| 
   Cifras  | 
  
   
  | 
  
   
  | 
  
   
  | 
  
  | 
 ||||||
| 
   Del  | 
  
   
  | 
  
   
  | 
  
   
  | 
  
  | 
 ||||||
| 
   Al  | 
  
   
  | 
  
   
  | 
  
   
  | 
  
  | 
 ||||||
| 
   
  | 
  
   
  | 
  
   
  | 
  
   
  | 
  
  | 
 ||||||
| 
   Ingresos por intereses  | 
  
   $ -  | 
  
   $ -  | 
  
   $ -  | 
  
  | 
 ||||||
| 
   Gastos por intereses  | 
  
   $ -  | 
  
   $ -  | 
  
   $ -  | 
  
  | 
 ||||||
| 
   Resultado por posición monetaria neto (margen financiero)  | 
  
   $ -  | 
  
   $ -  | 
  
   $ -  | 
  
  | 
 ||||||
| 
   MARGEN FINANCIERO  | 
  
   $ -  | 
  
   $ -  | 
  
   $ -  | 
  
  | 
 ||||||
| 
   Estimación preventiva para riesgos crediticios  | 
  
   $ -  | 
  
   $ -  | 
  
   $ -  | 
  
  | 
 ||||||
| 
   MARGEN FINANCIERO AJUSTADO POR RIESGOS CREDITICIOS  | 
  
   $ -  | 
  
   $ -  | 
  
   $ -  | 
  
  | 
 ||||||
| 
   Comisiones y tarifas cobradas  | 
  
   $ -  | 
  
   $ -  | 
  
   $ -  | 
  
  | 
 ||||||
| 
   Comisiones y tarifas pagadas  | 
  
   $ -  | 
  
   $ -  | 
  
   $ -  | 
  
  | 
 ||||||
| 
   Resultado por intermediación  | 
  
   $ -  | 
  
   $ -  | 
  
   $ -  | 
  
  | 
 ||||||
| 
   Otros ingresos (egresos) de la operación  | 
  
   $ -  | 
  
   $ -  | 
  
   $ -  | 
  
  | 
 ||||||
| 
   Gastos de administración y promoción  | 
  
   $ -  | 
  
   $ -  | 
  
   $ -  | 
  
  | 
 ||||||
| 
   RESULTADO DE LA OPERACIÓN  | 
  
   $ -  | 
  
   $ -  | 
  
   $ -  | 
  
  | 
 ||||||
| 
   Participación en el resultado neto de otras entidades  | 
  
   $ -  | 
  
   $ -  | 
  
   $ -  | 
  
  | 
 ||||||
| 
   RESULTADO DE OPERACIONES CONTINUAS  | 
  
   $ -  | 
  
   $ -  | 
  
   $ -  | 
  
  | 
 ||||||
| 
   Operaciones discontinuadas  | 
  
   $ -  | 
  
   $ -  | 
  
   $ -  | 
  
  | 
 ||||||
| 
   RESULTADO NETO  | 
  
   $ -  | 
  
   $ -  | 
  
   $ -  | 
  
  | 
 ||||||
| 
   Otros Resultados Integrales  | 
  
   $ -  | 
  
   $ -  | 
  
   $ -  | 
  
  | 
 ||||||
| 
   Participación en ORI de otras entidades  | 
  
   $ -  | 
  
   $ -  | 
  
   $ -  | 
  
  | 
 ||||||
| 
   RESULTADO INTEGRAL  | 
  
   $ -  | 
  
   $ -  | 
  
   $ -  | 
  
  | 
 ||||||
| 
   
  | 
  
   
  | 
  
   
  | 
  
   
  | 
  
  | 
 ||||||
| 
   Número de depositantes  | 
  
   -  | 
  
   
  | 
  
   
  | 
  
  | 
 ||||||
| 
   Número de acreditados  | 
  
   -  | 
  
   
  | 
  
   
  | 
  
  | 
 ||||||
| 
   Número de sucursales  | 
  
   -  | 
  
   
  | 
  
   
  | 
  
  | 
 ||||||
| 
   
  | 
  
   
  | 
  
   
  | 
  
   
  | 
  
  | 
 ||||||
| 
   
  | 
  
   
  | 
  
   
  | 
  
   
  | 
  
  | 
 ||||||
| 
   2. Índices de desempeño  | 
  
   
  | 
  
   
  | 
  
   
  | 
  
  | 
 ||||||
| 
   
  | 
  
   
  | 
  
   
  | 
  
   
  | 
  
  | 
 ||||||
| 
   Coeficiente de Liquidez (expresado en %)  | 
  
   -  | 
  
   
  | 
  
   
  | 
  
  | 
 ||||||
| 
   ((Depósitos a la vista + títulos bancarios con plazo menor a 30 días + instrumentos financieros gubernamentales con plazo menor a 30 días)) /pasivos de corto plazo) *  | 
  
   
  | 
  
   
  | 
  
   
  | 
  
  | 
 ||||||
| 
   
  | 
  
   
  | 
  
   
  | 
  
   
  | 
  
  | 
 ||||||
| 
   Apalancamiento (expresado en %)  | 
  
   -  | 
  
   
  | 
  
   
  | 
  
  | 
 ||||||
| 
   (Activo total/Pasivo total)  | 
  
   
  | 
  
   
  | 
  
   
  | 
  
  | 
 ||||||
| 
   
  | 
  
   
  | 
  
   
  | 
  
   
  | 
  
  | 
 ||||||
| 
   Morosidad (expresado en %)  | 
  
   -  | 
  
   
  | 
  
   
  | 
  
  | 
 ||||||
| 
   (Saldo de la Cartera de crédito con riesgo de crédito etapa 3 / (Cartera de crédito con riesgo de crédito etapa 1 + Cartera de crédito con riesgo de crédito etapa 2 + Cartera de crédito con riesgo de crédito etapa 3)  | 
  
   
  | 
  
   
  | 
  
   
  | 
  
  | 
 ||||||
| 
   
  | 
  
   
  | 
  
   
  | 
  
   
  | 
  
  | 
 ||||||
| 
   Nivel de Capitalización (expresado en %)  | 
  
   -  | 
  
   
  | 
  
   
  | 
  
  | 
 ||||||
| 
   (Capital neto/Activos sujetos a riesgo) *  | 
  
   -  | 
  
   
  | 
  
   
  | 
  
  | 
 ||||||
| 
   
  | 
  
   
  | 
  
   
  | 
  
   
  | 
  
  | 
 ||||||
| 
   Cobertura (expresado en %)  | 
  
   -  | 
  
   
  | 
  
   
  | 
  
  | 
 ||||||
| 
   (Estimación preventiva para riesgos crediticios/Cartera de crédito con riesgo de crédito etapa 3)  | 
  
   
  | 
  
   
  | 
  
   
  | 
  
  | 
 ||||||
| 
   
  | 
  
   
  | 
  
   
  | 
  
   
  | 
  
  | 
 ||||||
| 
   ROE (expresado en %)  | 
  
   -  | 
  
   
  | 
  
   
  | 
  
  | 
 ||||||
| 
   (Resultado neto/Capital contable)  | 
  
   
  | 
  
   
  | 
  
   
  | 
  
  | 
 ||||||
| 
   
  | 
  
   
  | 
  
   
  | 
  
   
  | 
  
  | 
 ||||||
| 
   ROA (expresado en %)  | 
  
   -  | 
  
   
  | 
  
   
  | 
  
  | 
 ||||||
| 
   (Resultado neto/Activo total)  | 
  
   
  | 
  
   
  | 
  
   
  | 
  
  | 
 ||||||
| 
   
  | 
  
   
  | 
  
   
  | 
  
   
  | 
  
  | 
 ||||||
| 
   * Determinados conforme a la regulación prudencial emitida por la Comisión.  | 
  
   
  | 
  
   
  | 
  
   
  | 
  
  | 
 ||||||
| 
   
  | 
  
   
  | 
  
   
  | 
  
   
  | 
  
  | 
 ||||||
| 
   
  | 
  
   
  | 
  
   
  | 
  
   
  | 
  
  | 
 ||||||
| 
   Segmentación  | 
  
   
  | 
  
   
  | 
  
   
  | 
  
  | 
 ||||||
| 
   Cartera de crédito (cartera de crédito con riesgo de crédito etapa 1 + cartera de crédito con riesgo de crédito etapa 2 + cartera de crédito con riesgo de crédito etapa 3 + cartera de crédito valuada a valor razonable)  | 
  
   
  | 
  
   
  | 
  
   
  | 
  
  | 
 ||||||
| 
   (Cifras en miles de $)  | 
  
   
  | 
  
   
  | 
  
   
  | 
  
  | 
 ||||||
| 
   Créditos comerciales  | 
  
   $ -  | 
  
   
  | 
  
   
  | 
  
  | 
 ||||||
| 
   Créditos al consumo  | 
  
   $ -  | 
  
   
  | 
  
   
  | 
  
  | 
 ||||||
| 
   Créditos a la vivienda  | 
  
   $ -  | 
  
   
  | 
  
   
  | 
  
  | 
 ||||||
| 
   TOTAL  | 
  
   $ -  | 
  
   
  | 
  
   
  | 
  
  | 
 ||||||
| 
   
  | 
  
   
  | 
  
   
  | 
  
   
  | 
  
  | 
 ||||||
| 
   Captación tradicional  | 
  
   
  | 
  
   
  | 
  
   
  | 
  
  | 
 ||||||
| 
   (Cifras en miles de $, incluyendo sus respectivos intereses)  | 
  
   
  | 
  
   
  | 
  
   
  | 
  
  | 
 ||||||
| 
   Depósitos de exigibilidad inmediata  | 
  
   $ -  | 
  
   
  | 
  
   
  | 
  
  | 
 ||||||
| 
   Depósitos a plazo  | 
  
   $ -  | 
  
   
  | 
  
   
  | 
  
  | 
 ||||||
| 
   Títulos de crédito emitidos  | 
  
   $ -  | 
  
   
  | 
  
   
  | 
  
  | 
 ||||||
| 
   TOTAL  | 
  
   $ -  | 
  
   
  | 
  
   
  | 
  
  | 
 ||||||
| 
   
  | 
  
   
  | 
  
   
  | 
  
   
  | 
  
  | 
 ||||||
| 
   La información se refiere a la fecha de preparación de los estados financieros que se deberán presentar junto con la solicitud de autorización, los cuales no podrán tener una antigüedad mayor a tres meses respecto de la fecha de presentación de la citada solicitud.  | 
 ||||||||||
| 
   
  | 
  
   
  | 
  
   
  | 
  
   
  | 
 |||||||
| 
   La sociedad indicará su número de depositantes y el número de personas a las que se les otorga crédito y las sucursales con que cuenta.  | 
 ||||||||||
ANEXO C
PROCEDIMIENTO PARA LA CALIFICACIÓN Y CONSTITUCIÓN DE ESTIMACIONES PREVENTIVAS PARA CRÉDITOS DE CONSUMO, VIVIENDA Y MICROCRÉDITOS PRODUCTIVOS
I. Cartera crediticia de consumo
Las Sociedades Cooperativas de Ahorro y Préstamo deberán calificar y constituir las estimaciones preventivas correspondientes a su cartera crediticia de consumo, con cifras al último día de cada mes calendario, ajustándose al procedimiento siguiente:
a) Deberán clasificar desde su reconocimiento inicial la totalidad de su cartera crediticia de consumo en etapas (etapa 1, etapa 2 y etapa 3) de riesgo de crédito, dependiendo del incremento significativo del riesgo crediticio que estos evidencien en función del número de días de atraso o mora transcurridos a partir del día de la primera amortización del crédito que no haya sido cubierta por el acreditado a la fecha de la calificación.
b) Por cada etapa de riesgo de crédito, deberán mantenerse y constituir las estimaciones preventivas que resulten de aplicar al importe total de su cartera crediticia de consumo (incluyendo los intereses que generan) los porcentajes de estimaciones preventivas, conforme a la siguiente tabla:
| 
   Etapa de riesgo de crédito  | 
  
   Días de mora  | 
  
   Porcentaje (%) de estimaciones preventivas  | 
 
| 
   Etapa 1  | 
  
   0  | 
  
   1  | 
 
| 
   1 a 7  | 
  
   2  | 
 |
| 
   8 a 30  | 
  
   10  | 
 |
| 
   Etapa 2  | 
  
   31 a 60  | 
  
   20  | 
 
| 
   61 a 89  | 
  
   40  | 
 |
| 
   Etapa 3  | 
  
   90 a 120  | 
  
   70  | 
 
| 
   121 a 180  | 
  
   85  | 
 |
| 
   181 o más  | 
  
   100  | 
 
El monto sujeto a la calificación no deberá incluir los intereses devengados no cobrados, registrados en cuentas de orden, de créditos que estén en etapa 3.
Asimismo, se deberán clasificar en etapa 3 los créditos que cumplan con los términos establecidos para dicho efecto, en el Criterio Contable B-4 “Cartera de Crédito” y el presente Anexo.
II. Microcréditos
Tratándose de Microcréditos, las Sociedades Cooperativas de Ahorro y Préstamo deberán calificar y constituir las estimaciones preventivas correspondientes a su cartera crediticia, con cifras al último día de cada mes calendario, ajustándose al procedimiento siguiente:
a) Deberán clasificar desde su reconocimiento inicial la totalidad de su cartera crediticia de microcréditos en etapas (etapa 1, etapa 2 y etapa 3) de riesgo de crédito, dependiendo del incremento significativo del riesgo crediticio que estos evidencien en función del número de días de atraso o mora transcurridos a partir del día de la primera amortización del crédito que no haya sido cubierta por el acreditado a la fecha de la calificación.
b) Por cada etapa de riesgo de crédito, deberán mantenerse y constituir las estimaciones preventivas que resulten de aplicar al importe total de su cartera crediticia de microcréditos (incluyendo los intereses que generan) los porcentajes de estimaciones preventivas, conforme a la siguiente tabla:
| 
   Etapa de riesgo de crédito  | 
  
   Semanas de mora  | 
  
   Porcentaje (%) de estimaciones preventivas  | 
 
| 
   Etapa 1  | 
  
   0  | 
  
   0.5  | 
 
| 
   1  | 
  
   1  | 
 |
| 
   2  | 
  
   3  | 
 |
| 
   3  | 
  
   4  | 
 |
| 
   4  | 
  
   5  | 
 |
| 
   Etapa 2  | 
  
   5  | 
  
   10  | 
 
| 
   6  | 
  
   15  | 
 |
| 
   7  | 
  
   20  | 
 |
| 
   8  | 
  
   25  | 
 |
| 
   9  | 
  
   30  | 
 |
| 
   10  | 
  
   35  | 
 |
| 
   11  | 
  
   40  | 
 |
| 
   12  | 
  
   45  | 
 |
| 
   13  | 
  
   50  | 
 |
| 
   Etapa 3  | 
  
   14  | 
  
   60  | 
 
| 
   15  | 
  
   70  | 
 |
| 
   16  | 
  
   80  | 
 |
| 
   17  | 
  
   85  | 
 |
| 
   18  | 
  
   90  | 
 |
| 
   19  | 
  
   95  | 
 |
| 
   20 o más  | 
  
   100  | 
 
| 
   Etapa de riesgo de crédito  | 
  
   Quincenas de mora  | 
  
   Porcentaje (%) de estimaciones preventivas  | 
 
| 
   Etapa 1  | 
  
   0  | 
  
   0.5  | 
 
| 
   1  | 
  
   3  | 
 |
| 
   2  | 
  
   5  | 
 |
| 
   Etapa 2  | 
  
   3  | 
  
   15  | 
 
| 
   4  | 
  
   25  | 
 |
| 
   5  | 
  
   35  | 
 |
| 
   6  | 
  
   45  | 
 |
| 
   Etapa 3  | 
  
   7  | 
  
   60  | 
 
| 
   8  | 
  
   80  | 
 |
| 
   9  | 
  
   90  | 
 |
| 
   10 o más  | 
  
   100  | 
 
| 
   Etapa de riesgo de crédito  | 
  
   Meses de mora  | 
  
   Porcentaje (%) de estimaciones preventivas  | 
 
| 
   Etapa 1  | 
  
   0  | 
  
   0.50  | 
 
| 
   1  | 
  
   5  | 
 |
| 
   Etapa 2  | 
  
   2  | 
  
   25  | 
 
| 
   3  | 
  
   45  | 
 |
| 
   Etapa 3  | 
  
   4  | 
  
   80  | 
 
| 
   5 o más  | 
  
   100  | 
 
El monto sujeto a la calificación no deberá incluir los intereses devengados no cobrados, registrados en cuentas de orden, de créditos que estén en etapa 3.
Asimismo, se deberán clasificar en etapa 3 los créditos que cumplan con los términos establecidos en el Criterio Contable B-4 “Cartera de Crédito” y el presente Anexo.
III. Cartera crediticia de vivienda
Las Sociedades Cooperativas de Ahorro y Préstamo deberán calificar y constituir las estimaciones preventivas correspondientes a su cartera crediticia de vivienda, con cifras al último día de cada mes calendario, ajustándose al procedimiento siguiente:
a) Deberán clasificar desde su reconocimiento inicial la totalidad de su cartera crediticia de vivienda en etapas de riesgo de crédito, dependiendo del incremento significativo del riesgo crediticio que estos evidencien en función del número de días de atraso o mora transcurridos a partir del día de la primera amortización del crédito que no haya sido cubierta por el acreditado a la fecha de la calificación.
b) Por cada etapa de riesgo de crédito, deberán mantenerse y constituir las estimaciones preventivas que resulten de aplicar al importe total de su cartera crediticia de vivienda (incluyendo los intereses que generan) los porcentajes de estimaciones preventivas, conforme a la siguiente tabla:
| 
   Etapa de riesgo de crédito  | 
  
   Días de mora  | 
  
   Porcentaje (%) de estimaciones preventivas  | 
 
| 
   Etapa 1  | 
  
   0  | 
  
   0.35  | 
 
| 
   1 a 30  | 
  
   1.05  | 
 |
| 
   Etapa 2  | 
  
   31 a 60  | 
  
   2.45  | 
 
| 
   61 a 89  | 
  
   8.75  | 
 |
| 
   Etapa 3  | 
  
   90 a 120  | 
  
   17.50  | 
 
| 
   121 a 150  | 
  
   33.25  | 
 |
| 
   151 a 180  | 
  
   34.30  | 
 |
| 
   181 a 1460  | 
  
   70  | 
 |
| 
   Más de 1460  | 
  
   100  | 
 
El monto sujeto a la calificación no deberá incluir los intereses devengados no cobrados, registrados en cuentas de orden, de créditos que estén en etapa 3.
Asimismo, se deberán clasificar en etapa 3 los créditos que cumplan con los términos establecidos en el Criterio Contable B-4 “Cartera de Crédito” y el presente Anexo.
IV. Consideraciones para el cómputo de los días de atraso
Para efectos de la determinación de las etapas de riesgo descritas en las fracciones I, II y III del presente anexo, las sociedades podrán considerar los siguiente:
a. Las Sociedades Cooperativas de Ahorro y Préstamo que cuenten con algún elemento para determinar que un crédito debe de migrar de etapa 1 a etapa 2, o de etapa 1 a etapa 3, o de etapa 2 a etapa 3, podrán realizarlo sin la necesidad de dar cumplimiento a lo contenido en las tablas de las fracciones I, II y III del presente anexo, debiendo para ello tener definidos y formalizados los criterios bajo los cuales se puede realizar dicha migración dentro de sus manuales de políticas y procedimientos, así como de sus manuales y siempre que estos criterios sean aplicados de manera consistente.
Las Sociedades Cooperativas de Ahorro y Préstamo deberán documentar en un registro o bitácora la migración de etapas basadas en los criterios antes mencionados, incluyendo como mínimo la identificación del personal responsable de la aprobación, el criterio bajo el cual se realizó la migración, así como la fecha a partir de la cual se hizo la migración. La Comisión podrá ordenar que las Sociedades Cooperativas de Ahorro y Préstamo rectifiquen las reservas constituidas conforme a lo anterior, cuando a su juicio las políticas y procedimientos no sean aplicados de manera consistente, o bien estos no reflejen la diferencia entre el deterioro crediticio observado y el identificado por las Sociedades.
b. Las Sociedades Cooperativas de Ahorro y Préstamo podrán reconocer reducciones en los días de mora de los créditos que hayan sido objeto de reestructuración o renovación, una vez que exista pago sostenido de conformidad con lo establecido en los Criterios Contables. Al efectuar dichas modificaciones, se ajustarán a las políticas que para tal efecto hubiere aprobado la propia Sociedad Cooperativa de Ahorro y Préstamo.
Los créditos otorgados por las Sociedades Cooperativas de Ahorro y Préstamo, que se encuentren en etapa 3 y que hubiesen sido objeto de una reestructura o renovación, deberán considerar su permanencia dentro de la mencionada etapa en tanto no exista evidencia de pago sostenido. Lo anterior en términos de lo dispuesto en el Criterio Contable B-4 “Cartera de Crédito” del anexo E de las presentes disposiciones.
Debido a lo antes expuesto, el deudor deberá cumplir en tiempo y forma la realización de los pagos dada la renovación o reestructura del crédito realizada, y la Sociedad Cooperativa de Ahorro y Préstamo suspenderá la suma de días de mora a partir de la celebración del convenio.
Los días de mora acumulados previos a la restructura o renovación seguirán contabilizados en tanto no se tenga evidencia de pago sostenido y se reactivará su acumulación si el deudor no efectúa los pagos pactados en las fechas límites establecidas en el convenio. La mora debe empezar a calcularse al día siguiente de la fecha límite tras el incumplimiento y no deberán considerarse como días de mora los transcurridos entre la fecha de celebración del convenio y la fecha de incumplimiento.
Las Sociedades Cooperativas de Ahorro y Préstamo podrán reconocer reducciones en los días de mora derivados de la aplicación de Esquemas de Cobertura Paso y Medida, Esquemas de Cobertura de Primeras Pérdidas, garantías no financieras y garantías personales de los créditos que hayan sido objeto de reestructuración o renovación cuando exista pago sostenido, debiendo considerar lo estipulado en la fracción V del presente anexo.
V. Ajustes a las estimaciones preventivas y reconocimiento de garantías
Cuando las Sociedades Cooperativas de Ahorro y Préstamo cuenten con garantías que cumplan con lo previsto en el anexo C Bis 1 de las presentes disposiciones, podrán reconocerlas con la finalidad de reducir las estimaciones preventivas del crédito o créditos de que se trate, debiendo considerar lo siguiente:
a. Tomar las medidas necesarias para que se pueda ejecutar y adjudicarse la garantía en el momento en que se coloquen en etapa de riesgo de crédito 3 de conformidad con lo establecido en el presente anexo. En caso de que las gestiones para la adjudicación y ejecución de la garantía no den inicio al momento en que el crédito sea clasificado como cartera con riesgo de crédito etapa 3, las Sociedades Cooperativas de Ahorro y Préstamo deberán dejar de reconocer la cobertura proporcionada por dicha garantía y asignarán las estimaciones preventivas que correspondan a los días de mora registrados.
b. Las garantías constituidas en términos del párrafo anterior podrán cubrir la totalidad o un determinado porcentaje del saldo insoluto de uno o más créditos, siempre y cuando en los contratos de depósito o en las modificaciones a estos se prevea que no existe la posibilidad de hacer retiros o disponer de las referidas garantías durante la vigencia de los créditos y que estos se podrán cubrir con cargo a tales depósitos o valores.
c. Las Sociedades deberán cerciorarse de que el mecanismo jurídico de entrega o cesión de las garantías asegura que las propias Sociedades Cooperativas de Ahorro y Préstamo mantienen el derecho a ejecutar las garantías o a tomar su posesión legal, en caso de incumplimiento, insolvencia o concurso mercantil de la contraparte o del custodio de las garantías antes mencionadas, en su caso, o de suscitarse cualquier otro evento que así se estipule en la documentación de la operación de que se trate.
d. Al recibir garantías cuya validez esté sujeta al cumplimiento de términos y condiciones por parte de la Sociedad Cooperativa de Ahorro y Préstamo acreedora de la garantía y los incumpla, no deberá tomarse en cuenta la garantía para efectos de la disminución de las reservas preventivas por riesgo de crédito.
e. La parte descubierta mantendrá el porcentaje de estimaciones preventivas que le corresponda.
f. Las Sociedades Cooperativas de Ahorro y Préstamo podrán optar por no reconocer las garantías si con ello resultan mayores estimaciones preventivas.
g. Las Sociedades Cooperativas de Ahorro y Préstamo en ningún caso podrán tomar simultáneamente Esquemas de Cobertura en Paso y Medida o Esquemas de Cobertura de Primeras Pérdidas y medios de pago con liquidez inmediata o garantías no financieras de un mismo garante.
Garantías financieras
Tratándose de garantías constituidas con los medios de pago con liquidez inmediata previstos en el anexo C Bis 1, fracción I, incisos a), b), c) y d) de las presentes disposiciones, con cargo a los cuales pueda asegurarse la aplicación de dichos recursos a la totalidad del saldo insoluto o a un determinado porcentaje del saldo insoluto del crédito, las Sociedades Cooperativas de Ahorro y Préstamo podrán exceptuar a la parte cubierta del crédito con dichas garantías de la constitución de estimaciones preventivas.
Tratándose de garantías constituidas con los medios de pago con liquidez inmediata previstos en el anexo C Bis 1, fracción I, incisos e) y f) de las presentes disposiciones, con cargo a los cuales pueda asegurarse la aplicación de dichos recursos a la totalidad del saldo insoluto o, de ser el caso, a un determinado porcentaje del saldo insoluto del crédito, las Sociedades Cooperativas de Ahorro y Préstamo constituirán por la parte cubierta las estimaciones que correspondan al porcentaje de 0.5 por ciento.
Garantías no financieras
Las Sociedades Cooperativas de Ahorro y Préstamo que cuenten con garantías no financieras que cubran, al menos, el 50 por ciento del saldo insoluto del crédito a la fecha del cálculo de las reservas preventivas, podrán reconocer dichas garantías para efectos del provisionamiento de su cartera crediticia, hasta por el importe resultante de multiplicar el porcentaje de reconocimiento previsto en el cuadro siguiente por su último valor de avalúo, actualizado por depreciación en el caso de bienes muebles:
| 
   Tipo de garantía no financiera o instrumento asimilable  | 
  
   Porcentaje (%) de reconocimiento  | 
 
| 
   Bienes inmuebles comerciales y residenciales  | 
  
   75  | 
 
| 
   Bienes muebles y otros  | 
  
   50  | 
 
Para determinar las estimaciones correspondientes a la parte cubierta de cada crédito o portafolios cubiertos con garantías no financieras e instrumentos asimilables, se le asignará un porcentaje de provisionamiento de 0.5 por ciento.
Garantías personales, Esquemas de Cobertura de Paso y Medida y Esquemas de Cobertura de Primeras Pérdidas y seguros agropecuarios.
Tanto en Esquemas de Cobertura de Primeras Pérdidas como en Esquemas de Cobertura en Paso y Medida o garantías personales, únicamente serán reconocidos para efectos de calificación de cartera, los siguientes grupos de proveedores de cobertura admisibles:
Grupo 1:
a. Instituciones de banca de desarrollo.
b. Fideicomisos públicos que formen parte del sistema financiero mexicano acorde con el artículo 3o. de la Ley de Instituciones de Crédito.
c. Fideicomisos celebrados específicamente con la finalidad de compartir el riesgo de crédito, en los cuales actúen como fideicomitentes y fiduciarias las instituciones de banca de desarrollo que cuenten con garantía expresa del Gobierno Federal.
d. El Fondo Nacional de Garantías de los Sectores Agropecuario, Forestal, Pesquero y Rural, o el que lo sustituya.
e. Fondo Nacional de Infraestructura, o el que lo sustituya.
f. Gobiernos centrales de países extranjeros y sus bancos centrales que cuenten con Alto Grado de Inversión.
g. Entidades de la Administración Pública Federal bajo control presupuestario directo, empresas productivas del Estado o programas derivados de una ley federal que formen parte del Presupuesto de Egresos de la Federación.
Grupo 2:
a. Instituciones de banca múltiple nacionales que cuenten con calificación de, al menos, Grado de Inversión y sociedades controladoras de la acreditada.
b. Otras entidades integrantes del sistema financiero mexicano y aseguradoras que cuenten, al menos, con Grado de Inversión.
c. Gobiernos centrales de países extranjeros, sus bancos centrales y entidades financieras internacionales que cuenten con Grado de Inversión.
d. Otras entidades con al menos Grado de Inversión incluyendo en su caso las sociedades controladoras, filiales o empresas pertenecientes al mismo grupo.
e. Programas derivados de una Ley Federal que se establezcan en el Presupuesto de Egresos de la Federación.