PRESUPUESTO de Egresos de la Federación para el Ejercicio Fiscal 2010. |
Lunes 7 de diciembre de 2009 |
Al margen un sello con el Escudo Nacional, que dice: Estados
Unidos Mexicanos.- Presidencia de
FELIPE DE JESÚS CALDERÓN HINOJOSA, Presidente de los Estados Unidos Mexicanos, a sus habitantes sabed:
Que
DECRETO
“
Artículo Único.- Se expide el Decreto de Presupuesto de Egresos de
fiscal 2010.
TÍTULO PRIMERO
DE LAS ASIGNACIONES DEL PRESUPUESTO DE EGRESOS
DE
CAPÍTULO I
Disposiciones generales
Artículo 1. El
ejercicio, el control y la evaluación del gasto público federal para el
ejercicio fiscal de 2010, se realizarán conforme a lo establecido en
La interpretación del
presente Presupuesto de Egresos, para efectos administrativos y exclusivamente
en el ámbito de competencia del Ejecutivo Federal, corresponde a las
secretarías de Hacienda y Crédito Público y de
La información que, en
términos del presente Decreto deba remitirse a
sin perjuicio de que podrá ser remitida directamente a las comisiones que
expresamente se señalen en
este Decreto.
CAPÍTULO II
De las erogaciones
Artículo 2. El
gasto neto total previsto en el presente Presupuesto de Egresos, importa la
cantidad de $3,176,332,000,000.00 y corresponde al total de los ingresos aprobados
en
En términos del
segundo párrafo del artículo 17 de
Artículo 3. El
gasto neto total se distribuye conforme a lo establecido en los Anexos de este
Decreto y Tomos del Presupuesto de Egresos y se observará lo siguiente:
I. Las erogaciones de
los ramos autónomos, administrativos y generales, así como los capítulos
específicos que incorporan los flujos de efectivo de las entidades, se
distribuyen conforme a lo previsto en el Anexo 1 del presente Decreto y los
Tomos II a VIII de este Presupuesto de Egresos. En el Tomo I se incluye la
información establecida en el artículo 41, fracción II, de
Asimismo, el Anexo 1 incluye las erogaciones
aprobadas al Instituto Nacional de Estadística y Geografía, el cual ejercerá su
presupuesto de conformidad con lo establecido en el artículo 83 de
II. El capítulo específico que incorpora las
erogaciones correspondientes a los gastos obligatorios se incluye en el Anexo 2
de este Decreto;
III. El capítulo específico que incorpora los
proyectos de inversión en infraestructura que cuentan con aprobación para
realizar erogaciones plurianuales en términos del artículo 74, fracción IV,
párrafo primero, de
IV. El capítulo específico que incorpora las
erogaciones correspondientes a los compromisos plurianuales sujetos a la
disponibilidad presupuestaria de los años subsecuentes se incluye en el Anexo 4
de este Decreto;
V. El capítulo específico que incorpora las
erogaciones correspondientes a los compromisos derivados de proyectos de
infraestructura productiva de largo plazo se incluye en el Anexo 5 de este
Decreto y en el Tomo V del Presupuesto de Egresos;
VI. El capítulo específico que incorpora las
previsiones salariales y económicas se incluye en los Anexos 6 y 15 de este
Decreto y en los Tomos III a VI del Presupuesto de Egresos.
Los
montos y términos aprobados en este capítulo específico en dichos Anexos y
Tomos del Presupuesto de Egresos, incluyendo las previsiones para contingencias
y sus ampliaciones derivadas de adecuaciones presupuestarias y ahorros
necesarios durante el ejercicio fiscal para cumplir, en su caso, con las
disposiciones laborales aplicables, forman parte de la asignación global a que
se refiere el artículo 33 de
VII. Los recursos para el desarrollo integral
de la población indígena se señalan en el Anexo 7 de este Decreto, en los
términos del artículo 2, Apartado B, de
VIII. Los recursos que conforman el Programa
Especial Concurrente para el Desarrollo Rural Sustentable se señalan en el
Anexo 8 de este Decreto, conforme a lo previsto en los artículos 16 y 69 de
IX. El monto total de los recursos previstos
para el programa en materia de ciencia y tecnología, conforme a lo previsto en
el artículo 22 de
X. Las erogaciones de aquellos programas que
incorporan la perspectiva de género, se señalan en el Anexo 10 de este Decreto;
XI. La suma de recursos destinados a cubrir
el costo financiero de la deuda pública del Gobierno Federal; aquél
correspondiente a la deuda de las entidades incluidas en el Anexo 1.D. de este
Decreto; las erogaciones derivadas de operaciones y programas de saneamiento
financiero; así como aquéllas para programas de apoyo a ahorradores y deudores
de la banca, se distribuyen conforme a lo establecido en el Anexo 11 de este
Decreto;
XII. Las erogaciones para el Ramo General 23
Provisiones Salariales y Económicas se distribuyen conforme a lo previsto en el
Anexo 12 de este Decreto;
XIII. Las erogaciones para el Ramo General 25
Previsiones y Aportaciones para los Sistemas de Educación Básica, Normal,
Tecnológica y de Adultos se distribuyen conforme a lo previsto en el Anexo 13
de este Decreto.
Las
previsiones para servicios personales referidas en el párrafo anterior, que se
destinen para sufragar las medidas salariales y económicas, deberán ser
ejercidas conforme a lo que establece el segundo párrafo de la fracción VI
anterior y el artículo 21 de este Decreto y serán entregadas a las entidades
federativas a través del Ramo General 33 Aportaciones Federales para Entidades
Federativas y Municipios y, sólo en el caso del Distrito Federal, se ejercerán
por medio del Ramo General 25 Previsiones y Aportaciones para los Sistemas de
Educación Básica, Normal, Tecnológica y de Adultos;
XIV. Las erogaciones para el Ramo General 33
Aportaciones Federales para Entidades Federativas
y Municipios se distribuyen conforme a lo previsto en el Anexo 14 de este
Decreto;
XV. Las previsiones para sufragar las
erogaciones correspondientes a las medidas salariales y económicas para los
Ramos Generales 25 Previsiones y Aportaciones para los Sistemas de Educación
Básica, Normal, Tecnológica y de Adultos, y 33 Aportaciones Federales para
Entidades Federativas y Municipios, se distribuyen conforme a lo establecido en
el Anexo 15 de este Decreto;
XVI. Los límites de las remuneraciones de los
servidores públicos de
XVII. Para los efectos de los artículos 42 de
XVIII. Los programas sujetos a reglas de
operación se señalan en el Anexo 18 de este Decreto;
XIX. El presupuesto del Programa de
Desarrollo Humano Oportunidades se distribuye conforme a lo establecido en el
Anexo 19 de este Decreto;
XX. El presupuesto consolidado de
XXI. Los principales programas previstos en
este Presupuesto de Egresos se detallan en el Anexo 21 de este Decreto.
Artículo 4.
El gasto programable previsto para el Ramo General 23 Provisiones Salariales y
Económicas, se sujeta a las siguientes reglas:
I. Para el presente ejercicio fiscal no se
incluyen recursos para el Programa Erogaciones Contingentes, correspondiente a
la partida secreta a que se refiere el artículo 74, fracción IV, párrafo
cuarto, de
II. Las dependencias y entidades podrán
solicitar autorización a
a) Tratándose de las medidas para cubrir una
compensación económica a los servidores públicos que reúnan los requisitos
establecidos en las disposiciones señaladas y que decidan concluir la
prestación de sus servicios en
i. Las plazas correspondientes a los
servidores públicos que concluyan la prestación de sus servicios en
ii. En términos de la legislación en materia
de seguridad social las medidas podrán contemplar que sean cubiertas, por
cuenta del trabajador, las cuotas y aportaciones a la seguridad social, hasta
por los periodos
de
cotización que establezcan las disposiciones a que se refiere el párrafo primero
de esta fracción, a efecto de que los servidores públicos elegibles puedan obtener una pensión
conforme a dicha legislación;
iii. Las dependencias, con cargo a las
economías que se generen en sus respectivos presupuestos autorizados por la
aplicación de las medidas, deberán restituir anualmente y a más tardar en el
ejercicio fiscal 2012, en los plazos y condiciones que señalen las
disposiciones aplicables, los recursos correspondientes a las compensaciones
económicas pagadas a los servidores públicos a su cargo. En caso contrario, el
Ejecutivo Federal, por conducto de
En los mismos términos, las entidades solicitarán
a
las adecuaciones a sus respectivos presupuestos por el monto que hayan
utilizado para cubrir las compensaciones a los servidores públicos a su cargo.
En caso contrario, dicha Secretaría realizará
las adecuaciones presupuestarias por los montos que correspondan;
iv. Los recursos restituidos serán destinados
al mecanismo presupuestario y de pago establecido para cubrir las medidas a que
se refiere este inciso;
v. Las modalidades del mecanismo y los tipos
de personal que podrán acogerse a las medidas a que se refiere este inciso, a
efecto de no afectar la prestación de servicios públicos, y
vi. El Ejecutivo Federal reportará en los
Informes Trimestrales sobre el ejercicio de los recursos a que se refiere este
inciso.
b) Podrán autorizarse medidas para cubrir
indemnizaciones, en términos de la legislación laboral, a los servidores
públicos que corresponda, incluyendo los pagos que se originen como
consecuencia
de reestructuraciones a
se refiere el párrafo primero de la presente fracción.
Los Poderes Legislativo y Judicial, así como
los entes autónomos, podrán aplicar las medidas a que se refiere esta fracción,
previo convenio que celebren con
subinciso iii, de esta fracción.
Asimismo, podrán destinar las economías que
resulten a sus programas prioritarios, siempre y cuando no impliquen la
creación de plazas ni la contratación de personal eventual o de personas físicas
por honorarios ni aumente el presupuesto regularizable de los subsecuentes
ejercicios fiscales. Las medidas previstas en esta fracción podrán aplicarse,
en los mismos términos, al personal federalizado de los sectores educación y de
salud, previo convenio que celebre el Ejecutivo Federal, por conducto de las
dependencias competentes, con las entidades federativas, previa autorización de
III. Los recursos para atender los gastos
asociados a ingresos petroleros se aplicarán exclusivamente a los destinos y en
los términos previstos en las disposiciones aplicables y en el presente
Decreto, y
IV. Las asignaciones presupuestarias para
atender gastos en materia de desastres naturales, el programa salarial, las
provisiones económicas relativas a programas y acciones para el desarrollo
regional y metropolitano y las demás asignaciones que integran el ramo a que se
refiere este artículo, se deberán ministrar y ejercer conforme a las
disposiciones aplicables y a lo dispuesto en este Decreto.
CAPÍTULO III
De las entidades de control directo
Artículo 5.
Petróleos Mexicanos y sus organismos subsidiarios se sujetarán a las
erogaciones y a las metas de balance primario y financiero aprobadas en este
Presupuesto y, para su ejercicio, control y evaluación, así como para la
elaboración del anteproyecto de presupuesto del próximo ejercicio fiscal,
observarán lo dispuesto en
A efecto de que Petróleos Mexicanos mantenga
sus metas y pueda tomar medidas en caso de que durante el ejercicio se presente
una disminución de los ingresos netos previstos en su presupuesto por
condiciones de mercado, deberá apegarse a lo dispuesto en el artículo 21 de
I. La cantidad que exceda del monto
correspondiente a la importación de mercancía para reventa por
$182,290,842,161.00 no se
considerará para evaluar el cumplimiento de las metas de balance primario y
financiero, y
II. En caso de que durante el ejercicio
fiscal se presenten retrasos en la cobranza por ventas de combustibles
realizadas al organismo público del sector eléctrico, dicho retraso no se
considerará para evaluar las metas de balance primario y financiero.
En caso de que dichas condiciones sean ajenas
a la operación de esta entidad,
Petróleos Mexicanos administrará el fondo
para dar cumplimiento a las obligaciones laborales contractuales y las que
deriven de las disposiciones jurídicas, con el objeto de que prevea recursos
suficientes para cubrir pasivos contingentes asociados a las contrataciones.
Las remuneraciones de los consejeros
profesionales del Consejo de Administración de Petróleos Mexicanos, en términos
de
La cifra que señala el Anexo 1.D. de este
Decreto, la cual comprende las erogaciones de los organismos subsidiarios de
Petróleos Mexicanos, no incluye operaciones realizadas entre ellos.
A efecto de dotar de mayor transparencia al
gasto de inversión de Petróleos Mexicanos, la entidad deberá informar
trimestralmente a
Artículo 6.
Las entidades sujetas a control presupuestario directo deberán sujetarse a lo
siguiente:
I. Los montos señalados en el Anexo 1.D. de
este Decreto para
II. La cantidad que en el Anexo 1.D. de este
Decreto se destina para
III. Dentro de los primeros dos meses del
año, la entidad a que se refieren las fracciones anteriores, deberá informar a
IV. Los movimientos de servicios personales
que realicen Petróleos Mexicanos y sus organismos subsidiarios y
V. Petróleos Mexicanos y
VI. Los titulares y los servidores públicos
competentes realizarán las acciones que les correspondan para cumplir, con las
metas de balance de operación, primario y financiero, así como con los
presupuestos autorizados y las metas físicas e indicadores aprobados a dichas
entidades e incluirán sus avances en los Informes Trimestrales, y
VII. Las entidades informarán a las
secretarías de Hacienda y Crédito Público y de
Cuando a juicio de la dependencia
coordinadora de sector, las entidades de control directo hayan incumplido
alguno de los compromisos sustantivos asumidos en los convenios de desempeño
respectivos,
Artículo 7. Conforme
al artículo 272 de
Durante el ejercicio fiscal de 2010, el
Instituto Mexicano del Seguro Social deberá destinar a las Reservas Financieras
y Actuariales de los seguros y a
Para los efectos del artículo 277 G de
El uso de reservas de cualquier naturaleza y
tipo deberá ser registrado invariablemente como gasto programable. Asimismo,
las reservas del Seguro de Invalidez y Vida y de Riesgos de Trabajo, únicamente
podrán destinarse para las prestaciones monetarias de esos seguros; y no para financiar
gasto corriente del Instituto, salvo en los casos que así lo prevea
El titular y los servidores públicos
competentes del Instituto Mexicano del Seguro Social serán responsables de que
el ejercicio del gasto de dicho Instituto se sujete a los montos autorizados
para cubrir su gasto programable y para las reservas y el fondo a que se
refiere este artículo.
TÍTULO SEGUNDO
DEL FEDERALISMO
CAPÍTULO ÚNICO
De los recursos federales
transferidos a las entidades federativas,
a los municipios y a las demarcaciones territoriales del Distrito Federal.
Artículo 8.
El ejercicio de los recursos federales aprobados en este Presupuesto de Egresos
para ser transferidos a las entidades federativas y, por conducto de éstas, a
los municipios y a las demarcaciones territoriales del Distrito Federal, así
como el de los recursos federales que se ejerzan de manera concurrente con
recursos de dichos órdenes de gobierno, se sujetará a las disposiciones legales
aplicables, al principio de anualidad y a lo siguiente:
I. El resultado de la
distribución entre las entidades federativas de los recursos que integran los
fondos del Ramo General 33 Aportaciones Federales para Entidades Federativas y
Municipios, se presenta en el Tomo IV de este Presupuesto de Egresos, con
excepción del Fondo de Aportaciones para
II. Las ministraciones de recursos federales
a que se refiere este artículo, se realizarán de conformidad con las
disposiciones aplicables y los calendarios de gasto correspondientes.
Los recursos federales a que se refiere este
artículo, distintos a los previstos en
En el caso de los programas que prevean la
aportación de recursos por parte de las entidades federativas y, en su caso,
municipios o demarcaciones territoriales del Distrito Federal, para ser
ejercidos de manera concurrente con recursos federales, dichos órdenes de
gobierno deberán realizar las aportaciones de recursos que le correspondan en
las cuentas específicas correspondientes, en un plazo a más tardar de 35 días
hábiles, contados a partir de la recepción de los recursos federales.
Cumplido el plazo a que se refiere el párrafo
anterior sin que se haya realizado la aportación de recursos locales, las
entidades federativas y, en su caso, municipios o demarcaciones territoriales
del Distrito federal, en casos debidamente justificados, podrán solicitar a la
dependencia o entidad correspondiente una prórroga hasta por el mismo plazo a
que se refiere el párrafo anterior.
En caso de que las dependencias y entidades
detecten que las entidades federativas, municipios o, en su caso, las
demarcaciones territoriales del Distrito Federal no han cumplido las obligaciones
que les corresponden después de otorgados los recursos a que se refiere esta
fracción, o no han ejercido los recursos en los términos de las disposiciones
aplicables o detecten que éstos han sido desviados para propósitos distintos a
los autorizados, requerirán, a dichos órdenes de gobierno que informen los
motivos de tales incumplimientos;
III. A más tardar el último día hábil de
marzo, en los términos de las disposiciones aplicables, se revisarán y, en su
caso, actualizarán los indicadores para resultados de los fondos de
aportaciones federales y de los demás recursos federales a que se refiere este
artículo, con base en los cuales se evaluarán los resultados que se obtengan
con dichos recursos. Los indicadores actualizados deberán incluirse en los informes
trimestrales en los términos del artículo 85 de
IV. En términos de los artículos 79, 85, 107
y 110 de
Dichos órdenes de gobierno informarán de
forma pormenorizada sobre el avance físico de las obras y acciones respectivas
y, en su caso, la diferencia entre el monto de los recursos transferidos y
aquéllos erogados, así como los resultados de las evaluaciones que se hayan
realizado.
Las dependencias y entidades informarán a
Los recursos que
V. Los recursos públicos federales a que se
refiere este artículo se sujetarán a evaluaciones del desempeño que establezcan
las instancias técnicas de evaluación federales y locales a que se refiere el
artículo 134 de
Los resultados de las evaluaciones a que se
refiere el párrafo anterior serán publicados en las respectivas páginas de
Internet de las instancias de evaluación de las entidades federativas.
Asimismo, se publicarán en las páginas de Internet de los gobiernos de las
entidades federativas y, cuando cuenten con ellas, de los municipios o
demarcaciones territoriales del Distrito Federal.
Con base en el seguimiento de las metas de
los indicadores y en los resultados de las evaluaciones realizadas,
VI. Las dependencias y entidades sólo podrán
transferir recursos federales a las entidades federativas, a los municipios y a
las demarcaciones territoriales del Distrito Federal, a través de las
tesorerías de las entidades federativas, salvo en el caso de ministraciones
relacionadas con obligaciones de las entidades federativas o municipios que
estén garantizadas con la afectación de sus participaciones o aportaciones
federales, en términos de lo dispuesto en los artículos 9, 50 y 51 de
VII. En caso de que, en los términos de
VIII. Los recursos federales vinculados con
ingresos excedentes que, en los términos de las disposiciones aplicables,
tengan como destino la realización de programas y proyectos de inversión en
infraestructura y equipamiento de las entidades federativas, se sujetarán a las
disposiciones aplicables del Fideicomiso para
IX.
de las disposiciones aplicables para imponer o promover las sanciones que
correspondan cuando las entidades federativas, los municipios y las
demarcaciones territoriales del Distrito Federal, en su caso, no hayan
entregado la información en los términos de la referida disposición.
Artículo 9.
Las entidades federativas, los municipios y las demarcaciones territoriales del
Distrito Federal, en el ejercicio de los recursos que les sean transferidos a
través del Ramo General 33 Aportaciones Federales para Entidades Federativas y
Municipios, se sujetarán a las disposiciones en materia de información,
rendición de cuentas, transparencia y evaluación establecidas en los artículos
134 de
I. Publicar en el medio oficial de difusión
de la entidad federativa correspondiente y en medios asequibles a la población,
a más tardar el 31 de enero, la distribución por municipio o, en su caso, por
demarcación territorial del Distrito Federal, de las aportaciones federales que
en términos de
Las entidades federativas y, en su caso, los
municipios o demarcaciones del Distrito Federal, instrumentarán las medidas
necesarias para agilizar la entrega de los recursos a las instancias ejecutoras
en sus respectivas administraciones públicas, conforme a su propia legislación
y las disposiciones aplicables;
II. Informar sobre el ejercicio, destino y
resultados obtenidos con las aportaciones federales, conforme a lo señalado en
el artículo 8, fracciones IV y V, de este Decreto;
III. Informar, conforme a las disposiciones
aplicables, a los órganos de control y fiscalización locales y federales, sobre
la cuenta bancaria específica en la que recibirán y administrarán los recursos
del respectivo fondo de aportaciones federales; en todo caso, contarán
únicamente con una cuenta por cada fondo.
Será en una cuenta específica en la que se
manejen exclusivamente los recursos del fondo correspondiente y sus
rendimientos financieros;
IV. Transparentar los pagos que se realicen
en materia de servicios personales en aquellos fondos que tienen ese destino,
conforme a
El Fondo de Aportaciones para
a)
i. Conciliar las cifras de matrícula escolar
con las entidades federativas y enviar un reporte definitivo a
ii. Conciliar el número, tipo de plazas
docentes, administrativas y directivas, y número de horas, de nivel básico y
normal, por escuela, con las entidades federativas, determinando aquéllas que
cuentan con registro en dicha Secretaría y las que sólo lo tienen en las
entidades federativas;
iii. Incluir en su página de Internet la
información que sea remitida en términos del artículo 85 de
1. Número y tipo de las plazas docentes,
administrativas y directivas existentes, el nombre y
2. Movimientos que se realicen a dichas
plazas, tales como altas, bajas y cambios en su situación;
3. Erogaciones realizadas por concepto de
servicios personales vinculados a las plazas por centro
de trabajo;
4. Relación de trabajadores comisionados por
centro de trabajo, identificando el objeto y duración de
la comisión;
5. El número y tipo de plaza que ocupan, así
como el pago que reciben por concepto de servicios personales, en su caso, y
analítico de plazas, tabuladores y catálogos de conceptos de percepciones y
deducciones por cada entidad federativa;
iv. Coordinarse con las entidades federativas
para que los pagos de nómina se realicen solamente a personal que cuente con
Registro Federal de Contribuyentes completo, de acuerdo a las disposiciones
aplicables.
A solicitud del interesado, siempre que
entregue copia del alta en el Registro Federal de Contribuyentes, los pagos no
realizados por causa no imputable al personal, deberán serle reintegrados en un
plazo no mayor a treinta días;
v. Enviar a
vi. Vigilar el monto de las remuneraciones
con cargo al fondo, informando a
b) Las entidades federativas deberán:
i. Entregar a
presente fracción;
ii. Informar trimestralmente a
iii. Informar trimestralmente a
c)
Los resultados de la auditoría se enviarán a
d) Para evitar el mal uso, el desvío o la
incorrecta aplicación de los recursos del Fondo de Aportaciones para
de 2009, en el Diario Oficial de
V. Informar a las instancias de evaluación y
fiscalización de los ámbitos federal y local, en los términos de sus
respectivas competencias, sobre la aplicación de los recursos del Fondo de
Aportaciones para
la misma periodicidad;
VI. Reportar en los Informes Trimestrales el
destino de los recursos del Fondo de Aportaciones para el Fortalecimiento de
los Municipios y de las Demarcaciones Territoriales del Distrito Federal,
especificando cada una de las obligaciones financieras solventadas, los pagos
de derechos y aprovechamientos por concepto de agua y de las acciones
realizadas para atender las necesidades vinculadas con la seguridad pública de
sus habitantes, y
VII. El Consejo Nacional de Seguridad Pública
aprobará, durante el mes de enero, los criterios de distribución de los
recursos de los fondos de ayuda federal para la seguridad pública a que se
refiere el artículo 21 de
el artículo 142 de
Para efectos del párrafo anterior, se
promoverá que por lo menos el 20 por ciento de los recursos previstos en el
Fondo de Aportaciones para el Fortalecimiento de los Municipios y de las
Demarcaciones Territoriales del Distrito Federal, se destinen a la atención de
necesidades directamente vinculadas con la
seguridad pública.
En términos de lo dispuesto por el tercer
párrafo del artículo 142 de
El Consejo Nacional de Seguridad Pública, al
aprobar los criterios para la distribución de los recursos de los fondos de
ayuda federal para la seguridad pública, promoverá y vigilará que su erogación
y aplicación se realice dentro del presente ejercicio fiscal y se alcancen los
objetivos para los que están destinados. Para tales efectos, los convenios relativos
a estos fondos establecerán mecanismos que contribuyan a agilizar la recepción
y el ejercicio de los recursos que reciban las entidades federativas, los
municipios y las demarcaciones territoriales del Distrito Federal.
Dicho Consejo promoverá que, por lo menos, el
20 por ciento de los recursos del Fondo de Aportaciones para
Las entidades federativas reportarán en los
Informes Trimestrales, el ejercicio de los recursos de los fondos de ayuda
federal para la seguridad pública, incluyendo lo siguiente:
a) La información sobre el ejercicio, destino
y resultados obtenidos con los recursos de los fondos;
b) Las disponibilidades financieras con que
cuenten de los recursos de los fondos, correspondientes a otros ejercicios
fiscales, y
c) El presupuesto comprometido, devengado y
pagado correspondiente al presente ejercicio fiscal.
La información sobre el destino de los
recursos deberá estar claramente asociada con los objetivos de las estrategias
definidas previamente por el Consejo Nacional de Seguridad Pública.
Lo anterior, sin perjuicio de que, en
términos de las disposiciones del Título Décimo de
Artículo 10.
El presente Presupuesto incluye la cantidad de $4,137,900,000.00, para el
otorgamiento de subsidios a los municipios y al Gobierno del Distrito Federal
para la seguridad pública en sus demarcaciones territoriales, con objeto de
fortalecer el desempeño de sus funciones en materia de seguridad pública,
salvaguardar los derechos e integridad de sus habitantes y preservar las
libertades, el orden y la paz públicos.
Los subsidios a que se refiere este artículo
serán destinados para los conceptos y conforme a las reglas que establezca el
Ejecutivo Federal, con el propósito de profesionalizar y equipar a los cuerpos
de seguridad pública en los municipios y demarcaciones territoriales del
Distrito Federal, así como mejorar la infraestructura de las corporaciones, en
el marco de las disposiciones legales aplicables.
El Ejecutivo Federal dará a conocer a más
tardar el 15 de enero, a través del Diario Oficial de
El Ejecutivo Federal, a más tardar el último
día hábil de febrero, deberá suscribir convenios específicos con las
respectivas entidades federativas y sus municipios así como con el Gobierno del
Distrito Federal para sus demarcaciones territoriales elegibles, que deseen
adherirse a este programa, con base en lo dispuesto en el último párrafo del
artículo 142 de
I. Las acciones programáticas a las que se
destinará el subsidio en el marco de las políticas generales acordadas en el
seno del Consejo Nacional de Seguridad Pública;
II. Los mecanismos a través de los cuales
podrá realizarse la adquisición de equipamiento, así como las condiciones y
procedimientos a los que deberá sujetarse la profesionalización;
III. El compromiso de las entidades
federativas de hacer entrega a los municipios del monto total de los subsidios
del programa, incluyendo sus rendimientos financieros, a más tardar dentro de
los 5 días hábiles posteriores a que éstas reciban los recursos de
IV. El establecimiento por parte de las entidades
federativas y los municipios de cuentas bancarias específicas para la
administración de los recursos federales que les sean transferidos, para
efectos de
su fiscalización;
V. La obligación de las entidades federativas
y los municipios de registrar los recursos que por este programa reciban en sus
respectivos presupuestos e informar para efectos de la cuenta pública local y
demás informes previstos en la legislación local;
VI. La obligación de los municipios, a través
del Estado respectivo, y del Gobierno del Distrito Federal de informar al
Consejo Nacional de Seguridad Pública, a través del Secretariado Ejecutivo del
Sistema Nacional de Seguridad Pública, y al Consejo Estatal, sobre las acciones
realizadas con base en los convenios específicos a que se refiere este
artículo, y
VII. La obligación de las entidades
federativas y los municipios de reportar en los Informes Trimestrales,
lo siguiente:
a) La información sobre el ejercicio, destino
y resultados obtenidos con los recursos del fondo;
b) Las disponibilidades financieras del fondo
con las que, en su caso, cuenten, y
c) El presupuesto comprometido, devengado y
pagado correspondiente.
Para acceder a los recursos, los municipios y
el Gobierno del Distrito Federal deberán comprometerse, a través de los
convenios suscritos con el Ejecutivo Federal, al cumplimiento de las políticas,
lineamientos y acciones contenidos en los mismos.
El Ejecutivo Federal operará el sistema de
información en el cual, con desglose mensual, se publicarán las fechas en que
transfirió los recursos a que se refiere este artículo a las entidades
federativas para su entrega a los municipios. Los municipios, a su vez,
incorporarán al sistema la fecha en que recibieron los recursos, la fecha en la
que éstos fueron finalmente ejercidos, así como los destinos y conceptos
específicos en los cuales fueron aplicados los recursos.
Los recursos a que se refiere este artículo
se sujetarán a las disposiciones aplicables a los subsidios federales,
incluyendo aquéllas establecidas en el artículo 8 de este Decreto.
TÍTULO TERCERO
DE LOS LINEAMIENTOS GENERALES PARA EL
EJERCICIO FISCAL
CAPÍTULO I
Disposiciones generales
Artículo 11.
Las dependencias y entidades, conforme al sistema de compensación de créditos y
adeudos a que se refiere el artículo 73 de
entidad deudora.
Los ingresos que se perciban por las
operaciones a que se refiere este artículo no se considerarán para efectos del
cálculo de los ingresos en los términos del artículo 13 de este Decreto.
Artículo 12.
Los ingresos que resulten del Derecho para
de Diputados, así como difundirá la información correspondiente a través de su
página de Internet para su conocimiento público.
en los términos del artículo 254 Ter de
Artículo 13.
Los ingresos que, en su caso, se obtengan en exceso a los previstos para el
presente ejercicio fiscal en
Los ingresos excedentes a que se refiere el
artículo 19, fracción V, inciso a), de
Las operaciones compensadas a que se refiere
el artículo 11 de este Decreto no se sujetarán a lo previsto en el presente
artículo.
El Ejecutivo Federal, a través de
Artículo 14.
Los recursos correspondientes a los subejercicios que no sean subsanados en el
plazo que establece el artículo 23, último párrafo, de
CAPÍTULO II
De las disposiciones de austeridad,
ajuste del gasto corriente,
mejora y modernización de la gestión pública
Artículo 15.
El Ejecutivo Federal reportará, en los Informes Trimestrales y en la página de
Internet de
de 2007.
En adición a lo previsto en el párrafo
anterior, se deberá incluir, en los Informes Trimestrales que se presentarán en
enero y abril, un reporte sobre las acciones realizadas como consecuencia de
las medidas de ahorro, austeridad y eficiencia adoptadas en el ejercicio fiscal
anterior por el Ejecutivo Federal,
consistentes en:
I. La reestructura de diversas dependencias y
entidades de
II. La reducción de estructuras de mandos
superiores de las dependencias y entidades, de niveles de subsecretario a
director general adjunto o plazas homólogas;
III. La reducción de estructuras de las áreas
administrativas de cada sector, incluyendo oficialías mayores y unidades
administrativas que realicen funciones equivalentes en órganos administrativos
desconcentrados y entidades del mismo sector;
IV. La reducción de estructuras y gasto de
administración de las delegaciones, oficinas y representaciones de las
dependencias, órganos desconcentrados y entidades en los Estados, y
V. La reducción de estructuras y gastos de
administración de las representaciones y oficinas del Gobierno Federal en el
extranjero.
Artículo 16.
Las dependencias y entidades adoptarán en el año 2010 las siguientes medidas de
ahorro, austeridad y eficiencia:
I. Con el fin de incrementar la productividad
de
II. No se autorizará incremento salarial para
mandos medios y superiores ni para personal de enlace.
Los incrementos que, en su caso, se otorguen
al personal operativo, de base y de confianza, y categorías se sujetarán a los
recursos aprobados específicamente para tales efectos en los Anexos 6 y 15 de
este Decreto y tendrán exclusivamente como objetivo mantener el poder
adquisitivo de dichos trabajadores respecto del año 2009;
III. Las plazas que se liberen derivado de la
reestructura en
Exclusivamente tratándose de funciones
sustantivas que requieran llevarse a cabo en los ramos de educación, por lo que
se refiere a personal docente correspondiente a educación especial, preescolar,
secundaria, media superior y superior; de energía, para instrumentar la reforma
en materia energética publicada en el Diario Oficial de
En el caso de emergencias epidemiológicas,
las secretarías de Hacienda y Crédito Público y de
IV. No procederá la adquisición de inmuebles
ni nuevos arrendamientos para oficinas públicas;
V. No procederá la adquisición de mobiliario
para oficinas;
VI. No procederán erogaciones para
remodelación de oficinas públicas, salvo aquéllas que sean estructurales y no
puedan postergarse o las que impliquen una ocupación más eficiente de los
espacios en los inmuebles y generen ahorros en el mediano plazo;
VII. No procederá la adquisición de
vehículos, salvo aquéllos que resulten indispensables para prestar directamente
servicios públicos a la población, así como tratándose de los ramos de defensa
nacional, marina y seguridad pública;
VIII. Se realizará la contratación
consolidada de materiales y suministros; servicios, incluyendo telefonía,
mantenimiento de bienes muebles e inmuebles, fotocopiado y vigilancia, entre
otros, en los casos en que ello represente ahorros y mejores condiciones,
siempre y cuando los bienes y servicios se presten de
manera oportuna;
IX. La reducción en el gasto administrativo y
de operación, a través de la disminución de los siguientes conceptos, entre
otros:
a) Contrataciones por honorarios y
eventuales;
b) Viáticos, pasajes y gastos de
representación;
c) Asesorías, consultorías y capacitación;
d) Erogaciones relacionadas al pago de horas
extras, y
e) Costos de operación incluyendo servicios,
materiales y suministros.
Las dependencias y entidades deberán reportar
los ahorros obtenidos por estos conceptos en los Informes Trimestrales;
X. Las dependencias y entidades deberán
coordinarse con
a) Los beneficiarios de los programas de
subsidios;
b) Los servidores públicos, por concepto de
pago de nómina;
c) Los proveedores de bienes y servicios, y
d) Las personas contratadas por honorarios.
Lo anterior, salvo aquellos casos en que
Los programas de trabajo deberán establecer,
como fecha límite para implementar los pagos de forma electrónica, el mes de
diciembre de 2012;
XI. En materia de seguros sobre bienes, las
dependencias y entidades que tengan contratadas pólizas de seguros deberán
llevar a cabo las acciones necesarias para incorporarse a las pólizas
institucionales coordinadas por
XII. Las dependencias y entidades deberán
remitir a
así como las fechas en que tendrán que cumplir con esa obligación.
Las entidades de control directo, deberán
remitir a
Los Poderes Legislativo y Judicial, así como
los entes autónomos, deberán implantar medidas, en lo conducente, equivalentes
a las aplicables en las dependencias y entidades, respecto a la reducción del
gasto destinado a las actividades administrativas y de apoyo y del presupuesto
regularizable de servicios personales, para lo cual publicarán en el Diario
Oficial de
Artículo 17.
Las dependencias y entidades, como resultado de la aplicación de las
disposiciones aplicables en materia de austeridad y disciplina del gasto de
Para tal efecto,
Las dependencias y entidades deberán enviar a
dicha Comisión, a más tardar el último día hábil de febrero, sus programas con
la respectiva meta de ahorro para su revisión y, en su caso, aprobación, con el
objeto de cumplir con la fracción II del artículo 7 de
Las dependencias y entidades deberán reportar
trimestralmente a las Secretarías de Hacienda y Crédito Público y de
Artículo 18.
El Ejecutivo Federal entregará el 15 de marzo de 2010 a
Dicho programa considerará todos los
lineamientos de austeridad y racionalidad contenidos en el presente Decreto
como pauta permanente en la operación de las dependencias y entidades del
Ejecutivo Federal, así como en las entidades bajo control presupuestario
directo.
El programa comprenderá además, la
reorganización del Poder Ejecutivo Federal, incluyendo cuando corresponda, la
revisión de la duplicidad de funciones, la reducción de los niveles salariales
equivalentes en subsecretarías, jefaturas de unidad y direcciones generales que
no tengan dichos cargos; además, deberá considerar la reducción de direcciones
generales adjuntas y dispondrá los mecanismos permanentes para evitar la
creación de nuevas plazas en los niveles directivos de la administración
pública federal, salvo en el caso de reformas legales que establezcan nuevas
instituciones o atribuciones que deban cumplir las dependencias y entidades.
Artículo 19.
Los Poderes Legislativo y Judicial, los entes autónomos, así como las
dependencias y entidades podrán destinar recursos presupuestarios para
actividades de comunicación social a través de la radio y la televisión,
siempre y cuando hayan solicitado en primera instancia los tiempos que por ley
otorgan al Estado las empresas de comunicación que operan al amparo de
concesiones federales para el uso, aprovechamiento o explotación de bienes del
dominio directo de
En las entidades
federativas en donde se lleven a cabo elecciones, no podrán realizarse
erogaciones de comunicación social, durante el tiempo que comprendan las
campañas electorales y hasta la conclusión de la jornada comicial. Se exceptúan
de lo anterior las erogaciones en materia de servicios educativos y de salud, o
las necesarias para la protección civil en caso de emergencia, las cuales se
sujetarán a los mecanismos
de supervisión de
Asimismo, deberán
observar lo dispuesto en los artículos 41, fracción III, Apartado C, segundo
párrafo y 134, octavo párrafo, de
El Ejecutivo Federal,
a través de
este artículo.
Con base en lo
anterior,
su caso, realice.
Los programas de
comunicación social y las erogaciones que con base en estos programas realicen
las dependencias y entidades deberán ser autorizados por
Todas las erogaciones
que conforme a este artículo realicen las entidades deberán ser autorizadas de
manera previa por el órgano de gobierno respectivo o su equivalente.
Durante el ejercicio
fiscal no podrán realizarse ampliaciones, traspasos de recursos de otros
capítulos o conceptos de gasto al concepto de gasto correspondiente a servicios
de comunicación social y publicidad de los respectivos presupuestos ni podrán
incrementarse dichos conceptos de gasto, salvo cuando se trate de mensajes para
atender situaciones de carácter contingente, se requiera para promoción
comercial de las entidades para que generen mayores ingresos y los que deriven
de los ingresos excedentes que obtenga el Instituto Nacional de Migración para
mejorar los servicios migratorios. En dichos supuestos se requerirá, de manera
previa, que las modificaciones correspondientes sean autorizadas por
El Ejecutivo Federal,
por conducto de
Los programas y
campañas de comunicación social se ejecutarán con arreglo a las siguientes
bases:
I. Los tiempos
oficiales sólo podrán destinarse a actividades de difusión, información o
promoción de los programas y acciones de las dependencias o entidades, así como
a las actividades análogas que prevean
las disposiciones aplicables;
II. Las dependencias y
entidades no podrán convenir el pago de créditos fiscales, ni de cualquier otra
obligación de pago a favor de la dependencia o entidad, a través de la
prestación de servicios de publicidad, impresiones, inserciones y demás
actividades en materia de comunicación social. Los medios de difusión del
sector público podrán convenir con los del sector privado la prestación
recíproca de servicios de publicidad;
III. Las erogaciones
realizadas en materia de comunicación social se acreditarán con órdenes de
transmisión, en las que se especifique la tarifa convenida, concepto,
descripción del mensaje, destinatarios, cobertura y las pautas de difusión en
medios electrónicos.
Para medios impresos
se acreditará con órdenes de inserción, en las cuales se deberá especificar la
tarifa convenida, concepto, descripción del mensaje, destinatarios, la
cobertura y circulación certificada del medio en cuestión;
IV. Las dependencias y
entidades, previo a la contratación de servicios de producción, espacios en
radio y televisión comerciales, deberán atender la información de los medios
sobre cobertura geográfica, audiencias, programación y métodos para medición de
audiencias, así como su capacidad técnica para la producción, postproducción y
copiado.
y entidades, y
V. La publicidad que
adquieran las dependencias y entidades para la difusión de los programas
sujetos a reglas de operación deberá incluir, claramente visible y audible, la
siguiente leyenda: “Este programa es público, ajeno a cualquier partido
político. Queda prohibido el uso para fines distintos a los establecidos en el
programa”. En los casos de los programas de desarrollo social únicamente deberá
incluirse la leyenda establecida en el artículo 28 de
El gasto en
comunicación social aprobado en este presupuesto deberá destinarse, al menos,
en un 5 por ciento a la contratación en medios impresos, conforme a las
disposiciones aplicables.
En el Informe de
Avance de Gestión Financiera a que se refiere
Artículo 20.
Las dependencias y entidades deberán sujetarse al Programa de Cadenas
Productivas de Nacional Financiera, S.N.C., y dar de alta en el mismo la
totalidad de las cuentas por pagar a sus proveedores o contratistas, apegándose
a las disposiciones generales aplicables al Programa. El registro de las
cuentas por pagar deberá realizarse de acuerdo con los plazos definidos en
dichas disposiciones, con el propósito de dar mayor certidumbre, transparencia
y eficiencia en los pagos.
Nacional Financiera,
S.N.C., en coordinación con el Banco Nacional de Obras y Servicios Públicos,
S.N.C., empleará los mecanismos para que los financiamientos que se concreten a
través de este programa, vinculados con la realización de obras de
infraestructura y servicios públicos relacionados, se efectúen con recursos de
esta última institución.
Las dependencias y
entidades requerirán a los proveedores y contratistas su afiliación al Programa
de Cadenas Productivas y deberán tomar en cuenta mecanismos que promuevan la
realización de los pagos correspondientes a través de dicho programa. De igual
manera, las dependencias y entidades que celebren contratos a través del
procedimiento de adjudicación directa podrán preferentemente emplear
Nacional Financiera,
S.N.C., con el apoyo de las dependencias y entidades, promoverá la utilización
del Programa de Cadenas Productivas y de su Plataforma de Compras Electrónicas
con los proveedores
y contratistas del sector público y reportará en los Informes Trimestrales los
avances que se presenten.
CAPÍTULO III
De los servicios personales
Artículo 21.
Los recursos previstos en los presupuestos de las dependencias y entidades en
materia de servicios personales y, en su caso, en los ramos generales
incorporan la totalidad de las previsiones para sufragar las erogaciones
correspondientes a las medidas salariales y económicas y se sujetarán a lo
siguiente:
I. Los incrementos a
las percepciones se determinarán, conforme a:
a) La estructura
ocupacional autorizada;
b) El Registro Común
de Plantillas de Personal, en el caso del Fondo de Aportaciones para
c) La plantilla de
personal, tratándose del Fondo de Aportaciones para los Servicios de Salud, y
d) Las plantillas de
personal, tratándose del Fondo de Aportaciones para
Las previsiones para
el incremento a las percepciones, a que se refieren los Anexos 6 y 15 de este
Decreto, incluyen la totalidad de los recursos para categorías y personal de
confianza y sindicalizado, por lo que no deberá utilizarse la asignación
prevista a un grupo para favorecer a otro;
II. En el presente
ejercicio fiscal en las dependencias y entidades no se crearán plazas en nivel
alguno;
III. Las previsiones a
que se refiere el Anexo 15 de este Decreto incluyen los recursos para la
educación tecnológica y de adultos correspondientes a aquellas entidades
federativas que no han celebrado los convenios establecidos en el artículo 42
de
IV. Los recursos del
Ramo General 25 Previsiones y Aportaciones para los Sistemas de Educación
Básica, Normal, Tecnológica y de Adultos, incluyen las previsiones para cubrir:
a) Las medidas
salariales y económicas correspondientes a los fondos de aportaciones para
b) Las medidas
económicas que se requieran para la cobertura y el mejoramiento de la calidad
del sistema educativo. Asimismo, las previsiones para incrementos a las
percepciones incluyen las correspondientes a
V. Las previsiones
incluidas en el Fondo de Aportaciones para los Servicios de Salud, incluyen los
recursos para cubrir aquellas medidas económicas que se requieran para la
cobertura y el mejoramiento de la calidad del sistema de salud.
Las dependencias y
entidades reportarán en los Informes Trimestrales el impacto de los incrementos
salariales en el presupuesto regularizable y, cuando se trate de las entidades,
adicionalmente, el impacto en el déficit actuarial de pensiones.
Artículo 22.
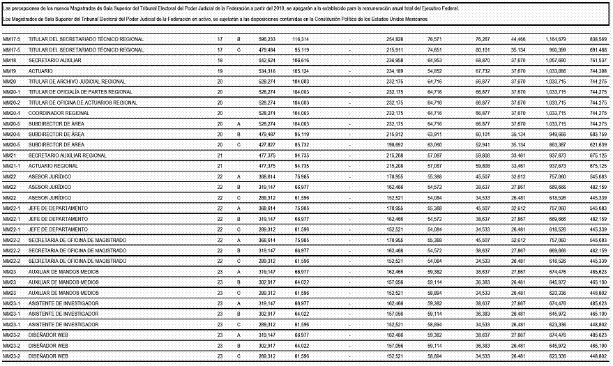
Las remuneraciones autorizadas a los servidores públicos de
I. Las remuneraciones
se integran, conforme a lo dispuesto en la referida disposición constitucional
y en el artículo 2, fracciones XXXIII, XXXIV y XLVI, de
Las percepciones
ordinarias incluyen la totalidad de los elementos fijos de la remuneración. Las
percepciones extraordinarias consideran los elementos variables de dicha
remuneración, la cual sólo podrá cubrirse conforme a los requisitos y con la
periodicidad establecidos en las disposiciones aplicables.
Las contribuciones a
cargo de los servidores públicos que se causen por las percepciones señaladas
en el párrafo anterior, forman parte de su remuneración;
II. La remuneración
total anual autorizada al Presidente de
a) Los límites mínimos
y máximos de percepciones ordinarias netas mensuales para los servidores
públicos de
i. Los montos
correspondientes a sueldos y salarios, y
ii. Los montos correspondientes
a las prestaciones.
Los montos presentados
en dicho Anexo no consideran los incrementos salariales que, en su caso, se
autoricen para el personal operativo, de base y confianza, y categorías, para
el presente ejercicio fiscal ni las repercusiones que se deriven de la
aplicación de las disposiciones de carácter fiscal;
b) Los montos máximos
de percepciones extraordinarias que perciban los servidores públicos de
En aquellos puestos de personal civil y
militar de las dependencias cuyo desempeño ponga en riesgo la seguridad o la
salud del servidor público de mando, podrá otorgarse la potenciación del seguro
de vida institucional, y un pago extraordinario por riesgo hasta por el 30 por
ciento sobre la percepción ordinaria mensual, por concepto de sueldos y
salarios. Lo anterior, conforme a los límites establecidos en el Anexo 16.1.2.
de este Decreto y a las disposiciones que para tal efecto emita
c) La remuneración total anual autorizada al
Presidente de
III. La remuneración total anual autorizada a
la máxima representación de los ejecutores de gasto que a continuación se
indican y los tabuladores correspondientes a las percepciones ordinarias y
extraordinarias de los servidores públicos de dichos ejecutores de gasto,
conforme a lo dispuesto en la fracción I de este artículo, se presentan en los
siguientes Anexos de este Decreto:
a) Anexo 16.2. Ramo 01:
Cámara de Senadores;
b) Anexo 16.3. Ramo
01: Cámara de Diputados;
c) Anexo 16.4. Ramo 01: Auditoría Superior de
d) Anexo 16.5. Ramo 03: Suprema Corte de
Justicia de
e) Anexo 16.6. Ramo 03: Consejo de
f) Anexo 16.7. Ramo 03: Tribunal Electoral
del Poder Judicial de
g) Anexo 16.8. Ramo
22: Instituto Federal Electoral;
h) Anexo 16.9. Ramo 35: Comisión Nacional de
los Derechos Humanos, e
i) Anexo 16.10. Ramo 40: Instituto Nacional
de Estadística y Geografía, y
IV. El desglose de las percepciones por
ejecutor de gasto, se presenta en el Tomo VIII de este Presupuesto.
Las dependencias y entidades podrán modificar
las percepciones ordinarias de los puestos conforme a las disposiciones
aplicables, sujetándose a los límites máximos establecidos en el Anexo 16.1.
del presente Decreto, previa autorización y registro presupuestario en los
términos de las disposiciones aplicables. Asimismo, podrán efectuarse ajustes
en la composición de las percepciones ordinarias por concepto de sueldos y
salarios, siempre y cuando no se incremente el monto mensual previsto en dicho
Anexo para el puesto correspondiente.
Las entidades que cuenten con planes de
compensación acordes con el cumplimiento de las expectativas de aumento en el
valor agregado, podrán determinar las percepciones aplicables, sin generar
costos adicionales y siempre que dichos planes sean autorizados por
Ningún servidor público podrá recibir
emolumentos extraordinarios, sueldos, compensaciones o gratificaciones por
participar en consejos, órganos de gobierno o equivalentes en las dependencias
y entidades o comités técnicos de fideicomisos públicos o análogos a éstos.
El Ramo Administrativo 02 Presidencia de
Los ejecutores de gasto público federal
publicarán en sus respectivas páginas de Internet, de manera permanente, y
reportarán en
Artículo 23.
Los servidores públicos de mando y personal de enlace de las dependencias y
entidades no podrán percibir prestaciones, de cualquier índole, distintas a las
establecidas en el manual a que se refiere el artículo 66 de
Los titulares de las entidades informarán a
Las dependencias y entidades deberán incluir
en los Informes Trimestrales el detalle de todas las prestaciones que perciben
los servidores públicos a su cargo, así como el gasto total destinado al pago
de
las mismas en el periodo correspondiente.
Artículo 24.
Las dependencias y entidades observarán las siguientes disposiciones en materia
de servicios personales:
I. Realizarán las gestiones necesarias ante
las Secretarías de Hacienda y Crédito Público y de
y Responsabilidad Hacendaria;
II. Solicitarán autorización presupuestaria
de
III. Los pagos retroactivos por ocupación de
plazas, únicamente procederán hasta por 45 días naturales anteriores a la fecha
en que se cubra al servidor público correspondiente su primer pago por concepto
de sueldos y salarios. Lo anterior, siempre y cuando se acredite
fehacientemente la asistencia durante dicho periodo en la plaza respectiva.
Artículo 25.
Los Poderes Legislativo y Judicial y los entes autónomos deberán publicar en el
Diario Oficial de
Adicionalmente, deberán publicar en el Diario
Oficial de
En tanto no se publiquen en el Diario Oficial
de
CAPÍTULO IV
De la perspectiva de género
Artículo 26.
El Ejecutivo Federal impulsará la igualdad de oportunidades entre mujeres y
hombres a través de la incorporación de la perspectiva de género en el diseño,
elaboración, aplicación, seguimiento y evaluación de resultados de los
programas de
I. Incorporar la perspectiva de género y
reflejarla en la matriz de indicadores para resultados de los programas bajo su
responsabilidad;
II. Identificar y registrar la población
objetivo y la atendida por dichos programas, diferenciada por sexo y, de ser
posible, también por grupo de edad, región del país, municipio o demarcación
territorial, y entidad federativa, en la matriz de indicadores para resultados
y en los padrones de beneficiarias y beneficiarios que corresponda;
III. Fomentar la perspectiva de género en el
diseño y la ejecución de programas en los que, aún cuando no estén dirigidos a
mitigar o solventar desigualdades de género, se pueda identificar de forma
diferenciada los beneficios específicos para mujeres y hombres;
IV. En los programas bajo su responsabilidad,
establecer o consolidar las metodologías de evaluación y seguimiento que
generen información relacionada con indicadores para resultados con perspectiva
de género;
V. Aplicar la perspectiva de género en las
evaluaciones de los programas, con los criterios que emitan el Instituto
Nacional de las Mujeres,
VI. Incluir en sus programas y campañas de
comunicación social contenidos que promuevan la igualdad entre mujeres y
hombres, la erradicación de la violencia de género y de roles y estereotipos
que fomenten cualquier forma de discriminación, en términos del artículo 19 de
este Decreto. El Instituto Nacional de las Mujeres coadyuvará con las
dependencias y entidades en el contenido de estos programas y campañas.
Las acciones contenidas en las fracciones
anteriores serán obligatorias en lo relativo a los programas de desarrollo
social y para los demás programas federales que correspondan.
Las dependencias y entidades ejecutoras del
gasto federal que manejen programas para mujeres y la igualdad de género, los
publicarán y difundirán con el objetivo de darlos a conocer a la población e
informar sobre los beneficios de los mismos, así como sus objetivos y
requisitos para acceder a ellos, de ser el caso, en los términos de la
legislación aplicable.
Para el seguimiento de los recursos
destinados a las mujeres y a la igualdad de género, todo programa federal que
contenga padrones de beneficiarias y beneficiarios, además de reflejar dicho
enfoque en su matriz de indicadores para resultados, generará información de
manera desagregada, al menos por sexo y entidad federativa.
Las dependencias y entidades responsables de
la coordinación de los programas contenidos en el Anexo 10 del presente Decreto
informarán trimestralmente a través del sistema de información desarrollado por
El Instituto Nacional de las Mujeres, en
coordinación con
El Instituto Nacional de las Mujeres remitirá
el informe mencionado anteriormente a
La información que se publique
trimestralmente servirá para las evaluaciones que se realicen en el marco de
las disposiciones aplicables.
Los ejecutores del gasto público federal
promoverán programas y acciones para ejecutar el Sistema Nacional de
Prevención, Atención, Sanción y Erradicación de
En los montos autorizados en los programas y
actividades contenidas en el Anexo 10 y, en general, los que estén dirigidos a
mujeres y la igualdad de género, las adecuaciones presupuestarias se realizarán
de acuerdo a
Con el fin de que los programas y actividades
contenidos en el Anexo 10 sean ejercidos en tiempo y forma,
Las menciones realizadas en el presente
Decreto respecto a beneficiarios, así como a titulares y servidores públicos de
los ejecutores de gasto, se entenderán referidas a las mujeres y los hombres
que integren el grupo de personas correspondiente.
CAPÍTULO V
De la inversión pública
Artículo 27.
En el presente ejercicio fiscal se faculta al Ejecutivo Federal para
comprometer nuevos proyectos de infraestructura productiva de largo plazo de
inversión directa y de inversión condicionada, por la cantidad señalada en el
Anexo 5.A. de este Decreto, correspondientes a
El monto autorizado correspondiente a los
proyectos de infraestructura productiva de largo plazo de inversión directa y
condicionada, aprobados en ejercicios fiscales anteriores, asciende a la
cantidad señalada en el Anexo 5.B. de este Decreto. Las variaciones en los
compromisos de cada uno de dichos proyectos se detallan en el Tomo V de este
Presupuesto de Egresos.
La suma de los montos autorizados de
proyectos aprobados en ejercicios fiscales anteriores y los montos para nuevos
proyectos se presentan en el Anexo 5.C. de este Decreto.
Los compromisos correspondientes a proyectos
de infraestructura productiva de largo plazo de inversión directa autorizados
en ejercicios fiscales anteriores, se detallan en el Anexo 5.D. de este Decreto
y comprenden exclusivamente los costos asociados a la adquisición de los
activos, excluyendo los relativos al financiamiento en el periodo de operación
de dichos proyectos.
Por lo que se refiere a los proyectos de
infraestructura productiva de largo plazo de inversión condicionada, en caso de
que conforme a lo dispuesto en el artículo 32 de
Las previsiones necesarias para cubrir las
obligaciones de inversión física por concepto de amortizaciones y costo
financiero de los proyectos de infraestructura productiva de largo plazo de
inversión directa, que tienen efectos en el gasto del presente ejercicio en los
términos de las disposiciones aplicables, se incluyen en el Anexo 5.F. de este
Decreto. Dichas previsiones se especifican a nivel de flujo en el Tomo V de
este Presupuesto de Egresos y reflejan los montos presupuestarios autorizados,
así como un desglose
por proyecto.
Los montos de cada uno de los proyectos a que
se refiere este artículo se detallan en el Tomo V de este Presupuesto de
Egresos.
En el último Informe Trimestral del
ejercicio, adicionalmente se deberá incluir la información sobre los ingresos
generados por cada uno de los proyectos de infraestructura productiva de largo
plazo en operación; los proyectos que están en construcción, su monto ejercido
y comprometido; el monto pendiente de pago de los proyectos concluidos, y la
fecha de entrega y de entrada en operación de los proyectos. Esta información
se deberá publicar en la página de Internet de
CAPÍTULO VI
De la evaluación del desempeño
Artículo 28.
Las evaluaciones del desempeño a que se refieren los artículos 6, 78, 110 y 111
de
Las evaluaciones se apegarán a los principios
de objetividad, independencia, imparcialidad y transparencia y serán
coordinadas por las Secretarías de Hacienda y Crédito Público y de
Las dependencias y entidades responsables de
los programas, deberán observar lo siguiente:
I. Mejorar de forma continua y mantener
actualizadas las matrices de indicadores para resultados de los programas.
Cada programa tendrá una matriz de
indicadores para resultados, en la cual estarán contenidos los objetivos,
indicadores y metas de los mismos. Para la mejora continua y actualización de
las matrices, se deberán considerar los avances y resultados obtenidos del
monitoreo que se haga respecto del cumplimiento de las metas de los programas,
de las evaluaciones realizadas conforme al programa anual de evaluación, y de
los criterios emitidos para tal efecto por
La mejora de las matrices de indicadores para
resultados deberá considerar la alineación de sus objetivos con los objetivos
estratégicos de las dependencias y entidades, los cuales a su vez, deberán
estar alineados con los objetivos estratégicos del Plan Nacional de Desarrollo
y los programas derivados de éste, de conformidad con las disposiciones
aplicables en la materia.
Las dependencias y entidades, en los
programas a su cargo, deberán adecuar las reglas o lineamientos de operación de
los programas sujetos a ellas, a efecto de hacerlas consistentes con la
información de las matrices de indicadores para resultados, derivada de su
mejora y actualización;
II. El seguimiento a los avances en las metas
de los indicadores se reportará en el sistema de evaluación del desempeño
establecido por
III. La evaluación externa se realizará de
acuerdo con lo establecido en el programa anual de evaluación y presentará los
resultados de las evaluaciones de acuerdo con los plazos previstos en dicho
programa, a
Las dependencias y entidades deberán
continuar y, en su caso, concluir con lo establecido en el programa de
evaluación correspondiente a 2008 y 2009, así como ejecutar lo relacionado con
las evaluaciones
para 2010;
IV. Elaborar un programa de trabajo para dar
seguimiento a los principales resultados de las evaluaciones con que cuenten e
integrar los aspectos que sean susceptibles de mejora en el diseño de las
políticas públicas y de los programas correspondientes.
Los compromisos se formalizarán mediante
instrumentos específicos, se reportarán los avances y resultados que se
alcancen mediante el sistema de evaluación del desempeño y se publicarán en los
términos de las disposiciones aplicables.
La información que se haya obtenido del
seguimiento a los compromisos de mejora y de las evaluaciones, correspondiente
a los ejercicios fiscales 2007 a 2010, se tomará en cuenta, como parte de un
proceso gradual y progresivo, durante 2010 y para los procesos presupuestarios
subsecuentes;
V. Cubrir el costo de las evaluaciones de los
programas operados o coordinados por ellas con cargo a su presupuesto y
conforme al mecanismo de pago que se determine. Las evaluaciones deberán
realizarse por instituciones académicas y de investigación, personas físicas o
morales especializadas en la materia u organismos especializados, de carácter
nacional o internacional, que cuenten con reconocimiento y experiencia en las
respectivas materias de los programas en los términos de las disposiciones
aplicables. Asimismo, podrán realizar contrataciones para que las evaluaciones
a que se refiere este artículo abarquen varios ejercicios fiscales, en los
términos de
La contratación, operación y supervisión de
la evaluación externa, objetiva, imparcial, transparente
e independiente, al interior de cada dependencia y entidad, se deberá realizar
por una unidad administrativa ajena a la operación del programa y al ejercicio
de los recursos presupuestarios, en los términos de las disposiciones
aplicables.
El total de las erogaciones que se lleven a
cabo para realizar las diferentes etapas de las evaluaciones se deberá
registrar de manera específica para su plena transparencia y rendición de
cuentas;
VI. Publicar y dar transparencia a las
evaluaciones, estudios y encuestas que contraten, así como las bases de datos
de las encuestas que se contraten para el efecto, en los términos de las
disposiciones aplicables.
Las dependencias y entidades deberán reportar
el avance en el cumplimiento de las metas de los programas establecidas en las
matrices de indicadores para resultados de cada programa, los resultados de las
evaluaciones y el grado de cumplimiento de los compromisos de mejora derivados
de las mismas, en los informes trimestrales que corresponda, de conformidad con
las disposiciones de
Por su parte,
VII.
VIII.
IX. Implantar mecanismos para innovar y
modernizar el funcionamiento organizacional y el proceso de presupuesto y gasto
público, con el objeto de que la información obtenida del seguimiento del
cumplimiento
de las metas de los indicadores de los programas, de las evaluaciones
realizadas a los programas, y del seguimiento a los resultados de éstas, se
utilice gradualmente en las decisiones presupuestarias y en la gestión de los
programas. Lo anterior será coordinado por
Asimismo, se establecerán incentivos
adecuados para impulsar el logro de los objetivos estratégicos de los
programas, de las políticas y de las instituciones responsables de llevarlos a
cabo;
X. Implementar, en su respectivo ámbito de
competencia, el Programa de Mediano Plazo, PMP, previsto en los artículos 45 y
61 de
XI. Capacitar y
coadyuvar a la especialización de los servidores públicos involucrados en las
funciones de planeación, evaluación, coordinación de las políticas y programas,
así como de programación y presupuesto, para impulsar una mayor calidad del
gasto público con base en el presupuesto basado en resultados y la evaluación
del desempeño.
TÍTULO CUARTO
DE LAS REGLAS DE OPERACIÓN PARA PROGRAMAS
CAPÍTULO I
Disposiciones generales
Artículo 29.
Los programas que deberán sujetarse a reglas de operación son aquéllos
señalados en el Anexo 18 de este Decreto. El Ejecutivo Federal por conducto de
I. Las reglas de
operación de los programas federales deberán sujetarse a los siguientes
criterios generales:
a) Deberán ser simples
y de fácil acceso para los beneficiarios;
b) Se procurará que la
ejecución de las acciones correspondientes a los programas federales que por su
naturaleza así lo permitan, sea desarrollada por los órdenes de gobierno más
cercanos a la población, debiendo reducir al mínimo indispensable los gastos
administrativos y de operación del programa respectivo;
c) Se deberán tomar en
cuenta las características de las diferentes regiones socioeconómicas del país;
d) Se deberán
considerar las características sociales, económicas y culturales de la
población objetivo;
e) Preverán que las
aportaciones acordadas se realicen oportunamente y sean ejercidas de inmediato;
f) Se promoverá una
calendarización eficiente para el ejercicio de los recursos federales
respectivos, y
g) Deberán incluir
criterios que aseguren transparencia en la distribución, aplicación y
comprobación de recursos;
II.
y transparencia.
En el contexto de la
revisión de
El Ejecutivo Federal,
por conducto de la dependencia a cargo del programa sujeto a reglas de
operación correspondiente, dará respuesta a
Las dependencias y
entidades encargadas de estos programas deberán cuidar que en las reglas de
operación de los mismos se prevea el enfoque para el logro de resultados. Para
tal efecto, deberán adecuar las reglas de operación de los programas a su cargo
a la matriz de indicadores para resultados incorporada en el Sistema de
Evaluación del Desempeño, de conformidad con las disposiciones aplicables.
Durante el primer
semestre del ejercicio fiscal 2010,
de la revisión de
III. Las dependencias
y entidades que tengan a su cargo dichos programas deberán observar las
siguientes disposiciones para fomentar la transparencia de los mismos:
a) La papelería y
documentación oficial para los programas deberán incluir la siguiente leyenda:
“Este programa es público, ajeno a cualquier partido político. Queda prohibido
el uso para fines distintos a los establecidos en el programa”. En el caso del
Programa de Desarrollo Humano Oportunidades únicamente se incluirá la leyenda
que se señala en el artículo 32 de este Decreto.
Todo el gasto en
comunicación social relacionado con la publicidad que se adquiera para estos
programas por parte de las dependencias y entidades, así como aquél relacionado
con los recursos presupuestarios federales que se transfieren a las entidades
federativas, municipios y las demarcaciones territoriales del Distrito Federal,
que se aplique a través de anuncios en medios electrónicos, impresos,
complementarios o de cualquier otra índole, deberá señalar que se realizan con
los recursos federales aprobados en este presupuesto e incluir la leyenda
señalada en el artículo 19, fracción V, de este Decreto;
b) Los programas que
contengan padrones de beneficiarios deberán publicar los mismos conforme a lo
previsto en
Las dependencias y entidades deberán enviar a
los beneficiarios;
c) Las dependencias y entidades que tengan a
su cargo la ejecución de los programas del Consejo Nacional de Fomento
Educativo, CONAFE; del Instituto Nacional para
d)
e) En el Programa Escuelas de Calidad,
f) En los programas de Caravanas de
g) En el caso de programas que no cuenten con
padrón de beneficiarios deberán manejarse invariablemente mediante convocatoria
abierta y, en ningún caso, se podrá etiquetar o predeterminar de manera
específica recursos a determinadas personas físicas o morales u otorgarles
preferencias o ventajas sobre el resto de la población objetivo;
h) Poner a disposición del público en general
un medio de contacto directo, en el cual se proporcione asesoría sobre el
llenado de los formatos y sobre el cumplimiento de los requisitos y trámite que
deben observarse para obtener los recursos o los beneficios de los programas;
i) Las reglas de operación, los formatos, las
solicitudes y demás requisitos que se establezcan para obtener los recursos o
los beneficios de los programas; los indicadores de desempeño de los programas,
y los medios de contacto de las unidades responsables de los mismos deberán
estar disponibles en las páginas de Internet de las dependencias y entidades.
De igual manera, queda estrictamente
prohibida la utilización de los programas de apoyo para promover o inducir la
afiliación de la población objetivo a determinadas asociaciones o personas
morales, y
j) En los Programas Hábitat y Rescate de
Espacios Urbanos, se preverán los mecanismos para la participación conjunta de
la federación, estados y municipios, en la programación, planeación, ejecución
y aplicación de recursos de estos programas, conforme a sus reglas de
operación.
Artículo 30. Las
dependencias y entidades que tengan a su cargo programas sujetos a reglas de
operación deberán observar las siguientes disposiciones para asegurar la aplicación
eficiente, eficaz, oportuna y equitativa de los recursos públicos asignados a
los mismos:
I. Publicar en sus páginas de Internet los
plazos de respuesta a las solicitudes que reciban. Los rechazos deberán estar
fundados y motivados;
II. Tratándose de facultades concurrentes,
cuando el Ejecutivo Federal por conducto de la dependencia competente, decida
suscribir convenios de coordinación en términos de
El Gobierno Federal y los gobiernos estatales
previa opinión de los Comités de Planeación para el Desarrollo o su equivalente
y dentro del marco del Convenio de Coordinación respectivo, decidirán a que
orden de gobierno corresponde la ejecución de los programas de acuerdo a la
naturaleza de cada uno de ellos y a las características de las zonas donde se
van a aplicar los programas, para lograr el mejor desarrollo e impacto social
de los mismos, y
III. Brindar asesoría a los municipios para
la integración de los expedientes técnicos que, en su caso, requiera el
programa, especialmente a los que se encuentran en condiciones de muy alta y
alta marginación.
CAPÍTULO II
De los criterios generales para
programas específicos sujetos a reglas de operación
Artículo 31.
Los programas de subsidios del Ramo Administrativo 20 Desarrollo Social se
destinarán, en las entidades federativas, en los términos de las disposiciones
aplicables, exclusivamente a la población
en condiciones de pobreza, de vulnerabilidad, rezago y de marginación de
acuerdo con los criterios oficiales dados a conocer por
Para estos fines, el Ramo Administrativo 20
Desarrollo Social considera los programas para el Desarrollo de Zonas
Prioritarias; Hábitat; de Empleo Temporal; de Atención a Jornaleros Agrícolas;
de Estancias Infantiles para apoyar a Madres Trabajadoras; de Rescate de
Espacios Públicos; 70 y más; 3x1 para Migrantes; de Opciones Productivas; de
Apoyo a los Avecindados en Condiciones de Pobreza Patrimonial para Regularizar
Asentamientos Humanos Irregulares; de Ahorro y Subsidio para
Los recursos considerados en el Programa
Hábitat, destinados a la conservación de las ciudades mexicanas declaradas
Patrimonio Mundial por
En los términos de los convenios de
coordinación suscritos entre el Ejecutivo Federal, a través de
Este instrumento promoverá que las acciones y
recursos dirigidos a la población en situación de pobreza se efectúen en un
marco de coordinación de esfuerzos, manteniendo en todo momento el respeto a
los órdenes de gobierno, así como el fortalecimiento del respectivo Comité de
Planeación para el Desarrollo Estatal.
Derivado de este instrumento se suscribirán
acuerdos y convenios específicos y Anexos de ejecución en los que se
establecerán: la distribución de los recursos de cada programa o región de
acuerdo con sus condiciones de rezago, marginación y pobreza, indicando en lo
posible la asignación correspondiente a cada municipio; las atribuciones y
responsabilidades de la federación, las entidades federativas y municipios, y
las asignaciones presupuestarias de los órdenes de gobierno en que concurran en
sujeción a los programas concertados.
Los convenios a que se refiere este artículo,
deberán ser publicados en el Diario Oficial de
A efecto de fortalecer la formulación,
ejecución e instrumentación de programas, acciones e inversiones en materia de
desarrollo social, se promoverá la celebración de convenios, acuerdos o bases
de coordinación interinstitucional entre las dependencias y entidades.
Con el propósito de fortalecer las
estrategias para la atención a las Zonas de Atención Prioritaria, así como para
el desarrollo integral de los municipios con los mayores rezagos en el país,
Estrategia 100x100, las dependencias y entidades que participen en ellas
identificarán las acciones que se desarrollen en este ámbito de acción e
informarán a
Desarrollo Social.
Cuando las secretarías de Hacienda y Crédito
Público, de
Para el control de los recursos que se
asignen a las entidades federativas, el Ejecutivo Federal convendrá con los
gobiernos respectivos, los programas o las actividades que permitan garantizar
el cumplimiento de las disposiciones aplicables.
Los ejecutores de los programas deberán
informar trimestralmente a las entidades federativas y a
Artículo 32.
Las reglas de operación del Programa de Desarrollo Humano Oportunidades deberán
considerar lo siguiente:
I. Los criterios para la inclusión de
localidades en el medio rural y urbano. Las localidades seleccionadas deberán
contar con acceso a servicios básicos de salud y educación que permitan operar
en forma simultánea los tres componentes del programa. Las entidades
federativas, en atención a los
recursos de las mismas destinados a los componentes de salud y educación,
podrán opinar, a través de los comités técnicos estatales, sobre dichos
criterios, debiendo
Para la sustitución de las bajas naturales
del padrón, se atenderá prioritariamente al criterio señalado en el párrafo
anterior.
A más tardar el 26 de febrero de 2010,
II. La metodología de focalización para la
identificación, inclusión y recertificación de las familias en el programa será
única para todo el país, pudiendo diferenciar entre zonas rurales y urbanas.
Esta metodología deberá considerar el levantamiento de cédulas individuales de
información socioeconómica a las familias;
III. Los criterios para atender la demanda de
incorporación de familias tanto en localidades aún no atendidas como en
localidades ya atendidas a través de un proceso de densificación;
IV. Las condiciones y mecanismos para otorgar
el incentivo para la conclusión de la educación media superior, denominado
Jóvenes con Oportunidades;
V. El esquema de operación que incluya las
condiciones de la prestación de los servicios de salud y educación básica y media
superior para la población beneficiaria; la producción y distribución de los
complementos alimenticios; los criterios para certificar la asistencia a estos
servicios de los miembros de la familia, los montos, mecanismos y medios para
la entrega de los apoyos y su periodicidad. Los apoyos del programa se
entregarán a la madre de familia o, en caso de ausencia o incapacidad por
enfermedad, a la persona miembro de la familia encargada de la preparación de
los alimentos y el cuidado de los niños;
VI. Los criterios para certificar el
cumplimiento de las obligaciones a cargo de los beneficiarios;
VII. La definición de responsabilidades de
cada una de las dependencias involucradas en el programa para la certificación
del cumplimiento de asistencia de las familias beneficiarias, tanto en el
componente de salud como en el de educación y la entrega de los apoyos a nivel
central y en las entidades federativas, así como para la ampliación y la
elevación de la calidad de los servicios.
El cumplimiento de asistencia a unidades de
salud y a planteles educativos, debidamente registrada, será indispensable para
el otorgamiento de los respectivos apoyos. La entrega de los respectivos apoyos
no podrá condicionarse al cumplimiento de otros requisitos o
contraprestaciones, por lo que las reglas de operación deberán contemplar
mecanismos para que se detecte y corrija la presencia de requerimientos
adicionales;
VIII. Los criterios de recertificación para
las familias y los criterios y mecanismos para la verificación permanente de las
condiciones socioeconómicas de las familias beneficiarias, así como para
atender el incremento demográfico en las localidades, y para la sustitución de
bajas del padrón por incumplimiento de corresponsabilidades;
IX. Los criterios y mecanismos para la actualización
permanente del padrón, así como los correspondientes a la seguridad en el
manejo de información y de los listados de liquidación;
X. Los mecanismos de detección y resolución
oportuna de problemas específicos que permitan fortalecer la operación del
Programa en sus diversos componentes: entrega y distribución de complementos,
certificación de corresponsabilidad del componente educativo, depuración del
padrón, entre otros;
XI. Los mecanismos para promover alternativas
dentro del sistema financiero para la entrega de los apoyos con oportunidad;
XII. Los mecanismos para asegurar la
complementariedad de acciones con otros programas; para aprovechar la
información y el padrón del programa para focalizar otros subsidios
complementarios y no duplicarlos, y para definir la transición de beneficiarios
de otros programas federales que otorgan subsidios con el mismo objetivo de
evitar duplicidad;
XIII. En su caso, las propuestas que, durante
el año inmediato anterior, hubiesen sido presentadas y aprobadas por el Comité
Técnico de
XIV. Se podrán otorgar apoyos a los adultos
mayores que formen parte de hogares beneficiarios, incluyendo las condiciones,
los montos, procedimientos y la corresponsabilidad en salud adecuada a
su condición.
Será responsabilidad de
Asimismo, deberá dar a conocer, en los
términos de
de entrega de apoyos por entidad federativa, municipio y localidad, posterior a
la entrega de los mismos, y el ajuste semestral que, de acuerdo a la
disponibilidad presupuestaria se actualice, de los apoyos monetarios conforme
el incremento observado en el semestre inmediato anterior en el subíndice de
los precios de la canasta básica de consumo del Índice Nacional de Precios al
Consumidor.
del programa.
El presupuesto del Programa de Desarrollo
Humano Oportunidades se distribuye conforme a lo señalado en el Anexo 19 de
este Decreto. Los recursos del Programa de Desarrollo Humano Oportunidades no
podrán ser traspasados a otros programas. Podrán realizarse traspasos no
regularizables en las asignaciones del Programa entre las secretarías de
Desarrollo Social, de Educación Pública y de Salud en los términos de las
disposiciones aplicables. De lo anterior, se informará trimestralmente a
El presupuesto para el componente de salud se
ejercerá con base en una cuota igual por familia atendida, multiplicada por el
padrón activo correspondiente, pudiendo ser ajustada, sin rebasar el
presupuesto regularizable del Programa, en función de los servicios
efectivamente prestados y la calidad provista en los mismos y será entregado a
los proveedores de los servicios de salud, tanto de los servicios estatales de
salud como del IMSS-Oportunidades y del IMSS-Régimen Ordinario u otros que
puedan resultar necesarios para cumplir con los objetivos del programa.
El Comité Técnico de
El Consejo Nacional de Evaluación de
En los términos de las reglas de operación
del Programa de Desarrollo Humano Oportunidades, en cada entidad federativa se
establecerá un comité técnico conformado por las dependencias federales y
estatales involucradas en la planeación, programación y operación del Programa
que promuevan una mejor ejecución del mismo, con estricto apego a dichas reglas
de operación. En dicho comité, a decisión del Titular del Ejecutivo de la
entidad federativa, participará, en adición a los representantes de las
dependencias estatales responsables de salud y educación, un representante de
la dependencia responsable de la política social
del Estado.
Las autoridades municipales, a través de su
Cabildo, podrán nombrar un enlace municipal con el Programa. Dicho enlace
coadyuvará a la coordinación nacional en la identificación de las zonas en que
se requiera ampliar la cobertura; podrá acompañar al personal de la
coordinación nacional en el levantamiento de la información en campo para la
selección de posibles beneficiarios, así como en la logística general del
programa en el municipio. Todo ello, rigiéndose por los principios de la
imparcialidad partidista, transparencia y honestidad; no podrán fungir como
enlace municipal, directivos ni representantes de partidos políticos y
organizaciones políticas o religiosas o que tengan parentesco consanguíneo o
político, hasta el cuarto grado, con alguno de dichos directivos o
representantes, ni podrán ser designados cuando hayan sido sentenciados por
delitos electorales.
Artículo 33.
Los programas de garantías, de reducción de costo de financiamiento, de capital
de riesgo y cualquier otro esquema que promueva el acceso al financiamiento que
las dependencias y entidades apoyen con recursos presupuestarios, deberán ser
implementados exclusivamente por conducto de la banca de desarrollo, de
Financiera Rural o de fideicomisos públicos de fomento del Gobierno Federal.
De los recursos aprobados en este presupuesto
para el programa del Fondo de Apoyo para las Micro, Pequeñas y Medianas
Empresas se destinarán al menos $2,050,000,000.00 a través del Fideicomiso
México Emprende a Programas de garantía operados por la banca de desarrollo, en
un plazo no mayor a 45 días a partir de la entrada en vigor del presente
Decreto, siempre que exista disponibilidad presupuestaria.
Adicionalmente, $1,200,000,000.00 de los
recursos del programa del Fondo de Apoyo para las Micro, Pequeñas y Medianas
Empresas, serán operados en coordinación con los Gobiernos de las Entidades
Federativas. Dichos recursos podrán emplearse en garantías de crédito siempre
que se operen a través de las instituciones señaladas en el primer párrafo de
este artículo.
Artículo 34.
En el Anexo 8 de este Decreto se prevé la asignación de recursos para
fortalecer el patrimonio de las Instituciones Agropecuarias de
I. Financiera Rural. Se asignan 1,028.5
millones de pesos para que continúen operando los siguientes programas:
Integral de Formación, Capacitación y Consultoría para Productores e
Intermediarios Financieros Rurales; de Garantías Líquidas; de Reducción de
Costos de Acceso al Crédito; y, de Constitución y Operación de Unidades de
Promoción de Crédito;
II. Fondo de Capitalización e Inversión del
Sector Rural, FOCIR. Se asignan 180.0 millones de pesos para que continúen
operando los programas: de Capital de Riesgo para Acopio, Comercialización y
Transformación; y, de Servicios de Cobertura, y
III. Fideicomisos Instituidos en Relación con
En el Anexo 8 de este Decreto, se asignan
809.6 millones de pesos para que Agroasemex, S.A., lleve a cabo el Programa de
Subsidio a
Artículo 35.
A efecto de lograr una mayor transparencia y simplificación de los programas
que operan Financiera Rural, los Fideicomisos Instituidos en Relación a
En las reglas de operación de los fondos de
garantías quedarán establecidos la temporalidad de las garantías, los
mecanismos mediante los cuales los beneficiarios e intermediarios podrán
utilizar dichos recursos, los mecanismos para la recuperación de aquellos
montos destinados a cubrir algún adeudo, así como la permanencia en el patrimonio
de dichos fondos de los recursos no utilizados y los recuperados en los fondos
de garantías para operaciones futuras.
Artículo 36.
En el ejercicio 2010 se continuará el proceso
de simplificación de los convenios y anexos técnicos para que la ejecución de
los programas sea oportuna, sencilla, vinculada a los ciclos agrícolas y
accesible para los productores rurales.
Los programas y sus componentes a través de
los cuales haya concurrencia de recursos con las entidades federativas y
aquellos que se ejecutan a nivel nacional, deberán alinear sus acciones para
obtener los mayores beneficios.
I. Continuar otorgando apoyos en el medio
rural a través de los programas siguientes:
a) Adquisición de Activos Productivos;
b) PROCAMPO Para Vivir Mejor;
c) Inducción y Desarrollo del Financiamiento
al Medio Rural;
d) Uso Sustentable de Recursos Naturales para
e) Atención a Problemas Estructurales;
f) Soporte;
g) Atención a Contingencias Climatológicas, y
h) Fortalecimiento a
ESTRATEGIAS ESPECIALES
1) Competitividad de Ramas Productivas
Básicas. Por su importancia nacional a la economía, generación de empleos,
ingresos, alimentación y cultura,
2) Desarrollo Agroindustrial e
infraestructura de acopio. Se operarán a través del Fideicomiso de Riesgo
Compartido (FIRCO) y el Proyecto de Apoyo al Valor Agregado de Agronegocios
(PROVAR) y el Proyecto estratégico para el Fortalecimiento de Infraestructura
para
3) Se destinarán $1,730,000,000.00 para dar
continuidad al Programa Especial de Seguridad Alimentaria (PESA). Se continuará
apoyando a los productores que se encuentran en zonas de alta y muy alta
marginación, a través de los componentes para el Programa de Seguridad
Alimentaria (PESA) debido a que es un instrumento eficaz en el combate a la
pobreza al incrementar las capacidades productivas y económicas de los
beneficiarios.
Los recursos deberán ser destinados a
familias de menores ingresos y se aplicarán en localidades de alta y muy alta
marginación, de acuerdo a criterios que aseguren una distribución equilibrada y
atendiendo la metodología de
Los recursos serán depositados en los
Fideicomisos de Fomento Agropecuario del Estado (FOFAE) sin la necesidad de
aportación estatal en contrapartida; para ello, deberán celebrarse convenios
específicos, acordados entre
Los recursos se distribuirán de la siguiente
manera: $630,000,000.00 para el Estado de Guerrero; $375,000,000.00 para cada
uno de los Estados de Oaxaca y Chiapas; $160,000,000.00 para el Estado de
Puebla; $75,000,000.00 para cada uno de los Estados de Hidalgo y México;
$25,000,000.00 para el Estado
de Veracruz; $15,000,000.00 para el Estado de Michoacán.
4)
5) Ganadería por Contrato. Se establece este
componente para fortalecer la producción de leche, bovinos, carne y porcinos,
dentro del programa de atención a problemas estructurales, como apoyo al
desarrollo del mercado ganadero. Atenderá de manera preferente con recursos de
coberturas y con apoyos directos específicos, los esquemas de vinculación del
eslabón primario de la cadena de producción, con los procesos de agregación de
valor, particularmente para leches, becerros, cabritos, corderos, apicultura y
porcinos, mediante asociaciones formales con el eslabón subsecuente de
transformación. Se incluirá el esquema de vinculación criador-engordador, para
rumiantes en general, a los lecheros y empresas procesadoras que tengan
contratos vinculantes de compra, a los porcicultores vinculados con programas
de aparcería para la finalización y quienes tengan contratos de porcicultura
con obradores y con procesadores de carne y a los apicultores asociados con
empresas procesadoras y comercializadoras de miel y productos y
servicios avícolas.
6) Con el componente de Soporte se destinarán
recursos para atender aquellos productos que no se encuentren considerados
dentro del artículo 179 de
Las estrategias antes mencionadas se sumarán a la perspectiva
transversal del Programa Especial Concurrente para el Desarrollo Rural
Sustentable, PEC, con el fin de incrementar la producción de alimentos de
calidad en beneficio de las familias mexicanas;
II. Ejercer los recursos a través de sus ocho
programas, observando las prioridades establecidas en el Plan Nacional de
Desarrollo 2007-2012, en su programa sectorial y los acuerdos de
III. Las entidades federativas proporcionarán
a
IV. Considerar que los subsidios federales
del Programa para
V.
Derivado de la planeación
agropecuaria y la pesquera efectuada por
Los convenios de coordinación con las
entidades federativas se celebrarán en el término establecido por
fiscales posteriores;
VI. Los programas deberán contar con el
padrón de beneficiarios correspondiente, mismo que será la base para conformar
el Padrón Único de Organizaciones y Sujetos Beneficiarios del Sector Rural y
que deberá ser publicado en la página de Internet de
Los beneficiarios, montos y apoyos recibidos
serán dados a conocer en los órganos locales oficiales de difusión en sus
páginas electrónicas de Internet o en otros medios locales de difusión de las
respectivas entidades federativas, así como en los términos de
VII. A más tardar el último
día hábil de enero,
Con la finalidad de privilegiar el gasto y
dar certidumbre a los beneficiarios, los ejecutores del gasto deberán informar,
de acuerdo a la estructura del Anexo 8, de manera trimestral a
VIII. Los apoyos de los programas de PROCAMPO
Para Vivir Mejor y de Atención a Problemas Estructurales, en su componente de
Apoyo al Ingreso Objetivo y a
El apoyo por hectárea se ajustará de
conformidad con lo establecido en las reglas de operación de PROCAMPO Para
Vivir Mejor;
IX. La entrega de los apoyos de los programas
de
Los programas que contemplen el otorgamiento
de apoyos a través de los compradores deberán prever en sus reglas de operación
la entrega oportuna de los recursos, mecanismos de transparencia, ser de
carácter general y dar prioridad a las organizaciones de productores y a la
integración de cadenas
productivas nacionales.
El límite de apoyos por productor será el
equivalente a la producción resultante de 100 hectáreas de riego o su equivalente
en temporal; 2,500 cabezas de ganado vacuno o 5,000 en porcino y 11,000 en
ovinos y caprinos para el sacrificio en Rastros TIF; 50 unidades animal para la
reposición de pie de cría; y, para el caso de campañas fitozoosanitarias y
sanidad acuícola e inocuidad agroalimentaria,
X. En los apoyos que otorgue
a) Promoverá la integración de cadenas
productivas, eliminando a los intermediarios e incrementando la competitividad
de las mismas;
b) Procurará por sí misma o como resultado de
una política concurrente con otras dependencias y entidades del gobierno
federal y, en su caso, estatales, en todo momento la asistencia técnica y
capacitación a los beneficiarios del financiamiento;
c) Promoverá el acceso a los insumos, entre
otros, semillas, fertilizantes y agroquímicos, para producción a precios competitivos
a través de financiamiento para compras consolidadas;
d) Otorgará un apoyo por cabeza de ganado
bovino, porcino, ovino y caprino sacrificado en Rastros TIF para promover la
matanza en condiciones óptimas de sanidad, previa suficiencia presupuestaria;
e) Apoyará la ganadería nacional para que
tenga acceso a la compra en condiciones competitivas de granos forrajeros y de
cosechas excedentarias, una vez que se haya cubierto la demanda
del consumo humano;
f) Apoyará la producción pecuaria sustentable
y el ordenamiento ganadero y apícola, principalmente los procesos de cría, con
recursos para mejorar los agostaderos, las praderas y la reproducción;
g) Promoverá oportunamente la reconversión de
cultivos a fin de reducir los volúmenes excedentarios con problemas de
comercialización y adecuar la producción a la aptitud de la tierra y a la
demanda regional; particularmente se apoyará la reconversión productiva e
inducción tecnológica a trigo panificable, maíz amarillo, oleaginosas (cártamo,
canola y soya) y sorgo;
h) Promoverá la
utilización de coberturas de precios por parte de los productores nacionales y
se utilizará este instrumento para incentivar la agricultura, ganadería por contrato, o ambas. Se utilizará el apoyo a la
pignoración de granos como un mecanismo para empatar la demanda y la
oferta, hacer más competitivo el grano nacional, promover la absorción de
volúmenes excedentarios y eliminar intermediarios. Asimismo se brindará apoyo a
la comercialización de frijol;
i) Otorgará apoyos al
productor que realice actividades de agricultura, ganadería por contrato, o
ambas, previa suficiencia presupuestaria, a fin de que el productor reciba un
mayor nivel de ingresos;
j) Vinculará subsidios
con apoyo financiero y acceso al crédito, como una estrategia que debe
fortalecerse para facilitar a los productores el acceso a los apoyos y al
financiamiento;
k) Apoyará la
comercialización de becerros preferentemente en beneficio de los criadores de
becerros.
XI. Los recursos
presupuestarios para actividades relacionadas con servicios financieros que se
prevén en el Programa Especial Concurrente para el Desarrollo Rural
Sustentable, PEC, tendrán el objetivo de incrementar y mejorar el acceso de los
productores del sector rural a este tipo de servicios. Para lograr que el
sistema crediticio avance de una manera sostenible y con altas tasas de
crecimiento en el medio rural, los esfuerzos que se lleven a cabo durante 2010
deberán alinearse al Fondo Nacional de Garantías de los Sectores Agropecuario,
Forestal, Pesquero y Rural, FONAGA, como herramienta de promoción del crédito
para el campo, potenciando sus recursos y ampliando su cobertura;
XII. El componente del
Fondo de Administración de Riesgos de Precios Agropecuarios (FONARPA) atenderá
los cultivos agrícolas con un presupuesto de 350 millones de pesos, debiendo
de enero a
XIII. Se destinará un
Fondo con concurrencia de recursos con las entidades federativas para apoyar la
adquisición de fertilizantes y biofertilizantes, en zonas con tierras de
temporal en localidades de alta y muy alta marginación, de acuerdo a los
criterios de CONAPO y en los términos que establezcan los convenios de
coordinación. Se incluyen fertilizantes químicos, orgánicos y mejoradores de
suelos. Las compras se realizarán bajo el esquema de compras consolidadas con
el fin de maximizar el aprovechamiento de los recursos. Deberá ser el único
programa en el Estado que entregue apoyos para la adquisición
de estos insumos.
Artículo 37. La asignación presupuestaria del Programa Especial Concurrente para el Desarrollo Rural Sustentable, PEC,
establecida en el Anexo 8 de este Decreto, se ordena en nueve vertientes:
I. Financiera;
II. Competitividad;
III. Social;
IV. Educativa;
V. Salud;
VI. Medio Ambiente;
VII. Infraestructura;
VIII. Laboral, y
IX. Agraria.
Dentro
de las mencionadas vertientes el PEC integra programas y recursos de los Ramos
Administrativos mencionados en el Programa Especial Concurrente para el
Desarrollo Rural Sustentable (PEC).
De
acuerdo a
A su
vez la asignación presupuestaria se distribuye en programas y componentes de
gasto de cada uno de los ramos administrativos o generales que participan en el
programa especial concurrente PEC, con el objeto de alinear los apoyos
gubernamentales, eliminar duplicidades, promover sinergias y su
complementariedad con el fin de facilitar el acceso de la población rural a los
programas del campo. Asimismo, las asignaciones presupuestarias establecidas en
el Anexo 8 del presente Decreto deberán integrarse en los programas
presupuestarios que les correspondan del Tomo I del Presupuesto de Egresos de
Las vertientes, programas y ramos
administrativos con su asignación de recursos se detallan
en el Anexo 8.
Con la
finalidad de complementar el componente de traspatio para la seguridad
alimentaria en las comunidades de alta y muy alta marginación en el Estado de
Guerrero, de los recursos ampliados al proyecto enviado por el ejecutivo para
PROÁRBOL que aparecen en el Anexo 8, se destinarán $270,000,000.00 a las regiones
prioritarias que determine
Artículo 38.
La ejecución de los proyectos y acciones del Programa de Empleo Temporal, PET,
deberá llevarse a cabo en las épocas de baja demanda de mano de obra no
calificada. Las dependencias, entidades y ejecutores del programa, en su caso,
se apegarán a la estacionalidad de la operación por entidad federativa que se
establezca en las reglas de operación del programa con el fin de no
distorsionar los mercados laborales locales.
Para los efectos del párrafo anterior,
continuarán operando los comités estatales con representación paritaria de los
gobiernos federal y estatal, a fin de que, con base en las reglas de operación,
se tomen en cuenta las características de cada región. De las decisiones que se
tomen en el seno de dichos comités
se mantendrá informado al Comité de Planeación y Desarrollo Estatal. El
programa se sujetará a las reglas de operación aprobadas por el Comité Técnico
del mismo.
Artículo 39.
Las reglas de operación de los programas en materia de infraestructura
hidroagrícola y de agua potable, alcantarillado y saneamiento, a cargo de
I. Hayan formalizado su adhesión a un acuerdo
de coordinación celebrado entre los gobiernos federal y estatal y, en su caso,
municipal, en el que se establezca un compromiso jurídico sancionado por sus
ayuntamientos o, en su caso, por las legislaturas locales, para implantar un programa
de corto y mediano plazo, definido en coordinación con
de la prestación de los servicios de agua potable, alcantarillado y saneamiento
a la población.
Los municipios que participaron durante los
años 2000 a 2009 en el programa a que se refiere el párrafo anterior, deberán
demostrar ante
II. Estén al corriente en el pago de sus
derechos, y
III. Informen trimestralmente a
Los apoyos otorgados por
De conformidad con los objetivos establecidos
en el “Plan Nacional Hídrico 2007-2012”, el Ejecutivo Federal deberá fomentar
el tratamiento de las aguas residuales tanto en centros de población rural como
en conglomerados urbanos. En consecuencia con lo anterior las reglas de
operación para los Programas de Infraestructura Hidroagrícola y de Agua
Potable, Alcantarillado y Saneamiento a cargo de
Para los programas de infraestructura
hidroagrícola tendrán prioridad las obras de pequeña y mediana irrigación que
mejoren la eficiencia en el uso del agua en regiones pobres, destinando un
monto no menor al 10 por ciento del presupuesto total asignado a estas
necesidades.
y Responsabilidad Hacendaria.
Asimismo es obligación de
Artículo 40. La operación del Sistema de Protección
Social en Salud deberá sujetarse a lo siguiente:
I.
II.
Adicionalmente,
III. Los recursos federales que se transfieran a las entidades
federativas por concepto de cuota social y aportación solidaria federal deberán
destinarse de la siguiente forma:
a) Hasta el 40 por ciento, por concepto de remuneraciones del personal
ya contratado directamente involucrado en la prestación de servicios de
atención a los afiliados al Sistema. En caso de que este porcentaje posibilite
nuevas contrataciones para la prestación de estos servicios, éstas deberán
efectuarse en apego a lo establecido en el Artículo Cuadragésimo Tercero
Transitorio de
b) Hasta el 30 por ciento, por concepto de adquisición de medicamentos,
material de curación y otros insumos necesarios para la prestación de servicios
a los afiliados al Sistema;
c) Al menos el 20 por ciento, para acciones de promoción, prevención y
detección oportuna de enfermedades que estén contenidas en el Catálogo
Universal de Servicios de Salud, CAUSES, así como aquellas cubiertas por el
Fondo de Protección Contra Gastos Catastróficos;
d) Hasta el 6 por ciento, para el gasto operativo y para el pago de
personal administrativo de la unidad de protección social en salud
correspondiente a cada entidad federativa, de conformidad con los criterios,
lineamientos, o ambos, establecidos por
e) Deberán destinarse recursos federales de cuota social y aportación
solidaria federal para el otorgamiento de los servicios de salud, de las
intervenciones contenidas en el Catálogo Universal de Servicios de Salud,
CAUSES, así como de las comprendidas por el Fondo de Protección contra Gastos
Catastróficos, en las localidades donde no existe infraestructura instalada de
los Servicios Estatales de Salud, con la finalidad de incrementar la afiliación
en dichas localidades y garantizar la prestación de servicios y el abasto de
medicamentos a los afiliados al Sistema, a través del Programa Caravanas de
IV. Los recursos federales que se transfieran a las entidades
federativas podrán destinarse a proyectos de inversión en infraestructura
médica. Las entidades federativas deberán presentar a la Comisión Nacional
de Protección Social en Salud, para su validación, un programa de
infraestructura que incluya
los siguientes requisitos:
a) Documento que detalle el tipo de obra, tipo de unidad, población
potencial beneficiada y monto a invertir para cada una de las obras, y en su caso,
para el equipo médico;
b) Los proyectos de obras a desarrollar deberán estar incluidos en el
Plan Maestro de Infraestructura que emita
c) Los gastos de operación asociados a su funcionamiento serán
responsabilidad de las entidades federativas, con cargo a su presupuesto, y
d) Deberá realizarse una adecuada planeación de los recursos para
garantizar que los destinados a obras nuevas o acciones de mantenimiento y
conservación de la infraestructura médica vinculadas al Sistema de Protección
Social en Salud no presenten un impacto adverso en el financiamiento del resto
de los rubros a los que debe ser destinado el gasto para garantizar las
intervenciones y medicamentos asociados al Catálogo Universal de Servicios de
Salud, CAUSES, así como al Fondo de Protección contra Gastos Catastróficos.
Las disposiciones
consideradas en las fracciones III y IV de este artículo deberán formar parte
del anexo IV del Acuerdo de Coordinación que suscriba
V. El Sistema de Protección Social en Salud continuará asignando los
recursos previstos en
VI. Las entidades federativas, a través de
los Regímenes Estatales de Protección Social en Salud, deberán informar a
en Salud.
Las entidades federativas deberán informar a
VII. Las entidades federativas deberán
informar trimestralmente a
VIII. Para efectos de la compra de
medicamentos y equipamiento, las entidades federativas deberán informar
semestralmente a
en Salud;
IX. El ejercicio de los recursos federales
que se transfieran a las entidades federativas por concepto de cuota social y
aportación solidaria federal para la adquisición de medicamentos asociados al
Catálogo Universal de Servicios de Salud, CAUSES, deberá sujetarse a los
precios de referencia que determine
Las entidades federativas podrán, de conformidad
con sus respectivas disposiciones aplicables, sumarse a una estrategia de
compras consolidadas. Para tal efecto,
X.
XI.
XII.
XIII.
Artículo 41.
I. Cumplan con
II. Informen a
III. Informen a
de operación, sobre el ejercicio de los recursos públicos federales que reciban
y los resultados obtenidos;
IV. Entreguen su programa operativo anual con
indicadores y metas, y alineado al Programa Nacional
de Cultura Física y Deporte, y contar con la aprobación de
V. Acrediten estar integradas y operando de
conformidad con las disposiciones aplicables, y
VI. Acrediten haber dado cumplimiento a sus
obligaciones estatutarias y a su objeto social.
Artículo 42.
El Fondo Regional tiene por objeto apoyar a los diez estados con menor índice
de desarrollo humano respecto del índice nacional, a través de programas y
proyectos de inversión destinados a mantener e incrementar el capital físico o
la capacidad productiva, o ambos, así como a impulsar el desarrollo regional
equilibrado mediante infraestructura pública y su equipamiento.
Para el presente ejercicio fiscal la
asignación prevista para el Fondo Regional se distribuye conforme a lo señalado
en el Anexo 12 de este Decreto. Los recursos se aplicarán y se evaluarán sus
resultados conforme a las disposiciones aplicables.
Artículo 43. Los
recursos federales que se asignan en este Presupuesto de Egresos para el Fondo
Metropolitano se distribuyen entre las zonas metropolitanas conforme a la
asignación que se presenta en el Anexo 12 de este Decreto y se deberán aplicar,
evaluar, rendir cuentas y transparentar en los términos de las disposiciones
aplicables.
Los recursos del Fondo Metropolitano se
destinarán prioritariamente a estudios, planes, evaluaciones, programas,
proyectos, acciones, obras de infraestructura y su equipamiento, en cualquiera
de sus componentes, ya sean nuevos, en proceso, o para completar el
financiamiento de aquellos que no hubiesen contado con los recursos necesarios
para su ejecución; los cuales demuestren ser viables y sustentables, orientados
a promover la adecuada planeación del desarrollo regional, urbano y del
ordenamiento del territorio para impulsar la competitividad económica, la
sustentabilidad y las capacidades productivas de las zonas metropolitanas,
coadyuvar a su viabilidad y a mitigar su vulnerabilidad o riesgos por fenómenos
naturales, ambientales y los propiciados por la dinámica demográfica y
económica, así como a la consolidación urbana y al aprovechamiento óptimo de
las ventajas competitivas de funcionamiento regional, urbano y económico del espacio
territorial de las zonas metropolitanas.
Los estudios, planes, evaluaciones,
programas, proyectos, acciones, obras de infraestructura y su equipamiento a
los que se destinen los recursos federales del Fondo Metropolitano deberán
estar relacionados directamente o ser resultado de la planeación del desarrollo
regional y urbano, así como de los programas de ordenamiento de los
asentamientos humanos en el territorio, por lo que deberán guardar congruencia
con el Plan Nacional de Desarrollo 2007-2012 y con los programas en materia de
desarrollo regional y urbano que se deriven del mismo, además de estar
alineados con los planes estatales de desarrollo urbano y de los municipios
comprendidos en la respectiva zona metropolitana.
Las decisiones sobre la asignación y
aplicación de los recursos del Fondo Metropolitano deberán sujetarse para su
financiamiento a criterios objetivos de evaluación de costo y beneficio, así
como de impacto metropolitano, económico, social y ambiental, de acuerdo con
las disposiciones del Fondo Metropolitano y las demás aplicables.
Para coadyuvar en la asignación, aplicación,
seguimiento, evaluación, rendición de cuentas y transparencia de los recursos
del Fondo Metropolitano, cada zona metropolitana deberá contar con un Consejo
para el Desarrollo Metropolitano o un órgano equivalente y un fideicomiso de
administración e inversión, en los términos que se establezcan en las
disposiciones del Fondo Metropolitano y en las
demás aplicables.
Artículo 44.
I.
II. Los recursos destinados a programas
educativos deberán ser ejercidos exclusivamente por las autoridades educativas,
tanto federales como estatales;
III. Las instituciones educativas contarán
con un listado exhaustivo que contenga el personal comisionado a actividades
sindicales.
IV. En ningún caso podrán existir nóminas o
partidas confidenciales. Los recursos públicos otorgados a las instituciones
educativas que sean usados para el pago de nóminas deberán ejercerse en el
marco de la transparencia y rendición de cuentas, por lo que los beneficiarios
de dichos programas deberán reportar a
Artículo 45.
Los programas destinados a educación media superior y superior, sujetos a
reglas de operación, deberán contener las siguientes disposiciones:
I. Las entidades federativas deberán enviar
informes trimestrales tanto a
II. Las instituciones públicas de educación
superior estarán obligadas a la práctica de auditoría externa de su matrícula,
debiendo enviar los resultados de ésta, así como un informe semestral
específico sobre la ampliación de la misma, tanto a
III. Las instituciones públicas de educación
media superior y superior pondrán a disposición de la sociedad la información
sobre la aplicación y uso de los recursos recibidos a través de este
Presupuesto de Egresos. En el marco de
IV. El subsidio para cada una de las
Universidades Públicas Estatales es el que se incluye en el Anexo 26.A de este
Decreto.
La información a que se refiere este artículo
deberá estar disponible de manera permanente y actualizada en la página de
Internet de
TÍTULO QUINTO
OTRAS DISPOSICIONES PARA EL EJERCICIO
FISCAL
CAPÍTULO ÚNICO
Artículo 46.
Los apoyos con cargo a programas de desarrollo social deberán canalizarse con
estricto apego a las disposiciones aplicables y de forma objetiva, sujetándose
a los criterios establecidos en los artículos 1 de
Para lograr el seguimiento oportuno y
transparente de los recursos públicos que se administran a través de dichos
programas se establecerá un mecanismo de consulta a través del cual las
autoridades responsables proporcionen los elementos necesarios a los distintos
órdenes de gobierno, y a los partidos políticos a través de su representación
parlamentaria en
Artículo 47.
Los fideicomisos públicos de fomento, las instituciones nacionales de seguros,
las sociedades nacionales de crédito y las demás entidades financieras,
otorgarán su financiamiento o contratarán sus seguros, a través de las
instituciones financieras privadas que asuman parcial o totalmente el riesgo de
recuperación de estos créditos o la cobertura del siniestro.
Lo dispuesto en el párrafo anterior no será
aplicable a las operaciones siguientes:
I. Los avales y demás garantías, los cuales
no podrán exceder del porcentaje del monto total por principal y accesorios del
financiamiento que determine el órgano de gobierno de la entidad respectiva,
con la conformidad de
II. Las coberturas para inversiones en capital
de riesgo y los créditos destinados a la elaboración de estudios y formulación
de proyectos de inversión accionaria. La inversión accionaria y los créditos
que se otorguen con la finalidad de constituirse como inversión accionaria,
siempre que se realicen a través de fondos privados de inversión de capital;
III. Las operaciones realizadas por el Banco
Nacional del Ejército, Fuerza Aérea y Armada, S.N.C.;
IV. Los financiamientos otorgados por
Nacional Financiera, S.N.C., por un monto total igual al porcentaje que
determine su órgano de gobierno con el consentimiento de
ejercicio fiscal;
V. Los financiamientos otorgados por el Banco
Nacional de Comercio Exterior, S.N.C., por un monto igual al porcentaje que
determine su órgano de gobierno con la conformidad de
VI. Los financiamientos otorgados por
VII. Los créditos otorgados por el Instituto
del Fondo Nacional de
y el Fondo Nacional de Apoyo a Empresas en Solidaridad;
VIII. Las operaciones que correspondan a
prestaciones de carácter laboral, otorgadas de manera general;
IX. Las operaciones realizadas con el
Gobierno Federal, las entidades, las entidades federativas y los municipios;
X. Los financiamientos a proyectos de
infraestructura y servicios públicos, que se deriven de concesiones, contratos
de prestación de servicios, de obra pública, de vivienda y de parques
industriales, permisos y autorizaciones de las autoridades federales, de las
entidades federativas y municipios, así como de sus entidades paraestatales y
paramunicipales, y
XI. Los financiamientos otorgados por el
Fideicomiso de Fomento Minero, los cuales serán hasta por un monto igual al
porcentaje que determine su órgano de gobierno en el primer bimestre del año,
mismo que no excederá del 10 por ciento del total de los financiamientos
estimados para el presente ejercicio fiscal.
Asimismo, se deberá prever que los recursos
que se otorguen se canalicen a través de políticas crediticias que previamente
hayan sido autorizadas por las instancias competentes en apoyo de los sectores
que se financien, y que en la operación global sean consistentes con la
viabilidad financiera de estas instituciones en el mediano plazo.
Artículo 48.
Los apoyos a intermediarios financieros no bancarios para sistemas informáticos
que administren sus operaciones financieras, sólo podrán otorgarse cuando se dé
cumplimiento a las disposiciones en la materia y conforme a lo siguiente:
I. Los intermediarios financieros no
bancarios que inicien operaciones o soliciten apoyos para la adquisición o
desarrollo de sistemas porque carecen de éstos, sólo podrán recibir apoyos para
utilizar
la plataforma tecnológica del Banco del Ahorro Nacional y Servicios
Financieros, S.N.C., excepto en aquellos casos en donde no sea adaptable a la
operación de dicho intermediario o exista una imposibilidad técnica para
adaptar dicho sistema, de acuerdo con lo que determine esa sociedad nacional de
crédito.
El Banco del Ahorro Nacional y Servicios
Financieros, S.N.C., establecerá los criterios con base en los cuales se podrá
determinar que la plataforma tecnológica no es adaptable a la operación de los
intermediarios financieros no bancarios o que existe una imposibilidad técnica
por parte de los solicitantes para adaptar dicho sistema;
II. Los intermediarios financieros no
bancarios que ya cuenten con sistemas podrán recibir apoyos para mantener y
mejorar dichos sistemas o para migrar sus sistemas actuales hacia la plataforma
tecnológica del Banco del Ahorro Nacional y Servicios Financieros, S.N.C. El monto
del apoyo para mantener y mejorar sistemas existentes será de hasta la mitad
del apoyo máximo que otorgue el Banco del Ahorro Nacional y Servicios
Financieros, S.N.C. para la implantación de su Plataforma Tecnológica. Dichos
montos deberán estar publicados en la página de Internet de dicha Institución,
y
III. Podrán otorgarse recursos adicionales
para disminuir los costos transaccionales de operar la plataforma tecnológica
del Banco del Ahorro Nacional y Servicios Financieros, S.N.C., siempre que
dichos costos disminuyan gradualmente y no excedan de un año.
Las dependencias o entidades que otorguen
subsidios para la apertura de sucursales de intermediarios financieros no
bancarios deberán notificarlo a la unidad administrativa competente en materia
de banca de desarrollo de
Artículo 49.
Con el objeto de impulsar la cultura del pago por suministro de agua en bloque
en los Distritos de Riego y mejorar la infraestructura de riego, el Ejecutivo
Federal, a través de
a las cuotas que se generen en el presente ejercicio fiscal, los cuales se
destinarán en un 65 por ciento a la conservación y mantenimiento de los canales
y drenes menores; 25 por ciento a la conservación de la red mayor, canales y
drenes principales; 8 por ciento al mantenimiento de las obras de cabeza; y, 2
por ciento a la supervisión y gasto de operación.
Artículo 50.
Los Programas de
Los recursos federales que reciban las
universidades e instituciones públicas de educación media superior y superior,
incluyendo subsidios, estarán sujetos a la fiscalización que realice
I. Los programas a los que se destinen los
recursos y el cumplimiento de las metas correspondientes;
II. El costo de su plantilla de personal
docente, no docente, administrativo y manual, identificando las distintas
categorías y los tabuladores de sueldos por puesto, responsabilidad laboral y
su lugar de ubicación, y
III. Desglose del gasto corriente destinado a
su operación.
Las universidades e instituciones públicas de
educación media superior y superior a que se refiere este artículo entregarán a
Los resultados de las auditorías que realice
Las autoridades correspondientes para aplicar
dichos recursos verificarán que el personal de cada una de las universidades e
instituciones de educación media superior y superior públicas, cumplan con sus
obligaciones en términos de los contratos laborales correspondientes
realizándose, en su caso, la compulsa entre las nóminas y los registros de
asistencia.
Artículo 51.
Las sanciones económicas que, en su caso, aplique el Instituto Federal
Electoral derivado del régimen disciplinario de los partidos políticos durante
2010, serán reintegradas a
Artículo 52.
El Ejecutivo Federal, por conducto del Instituto Mexicano de
Las dependencias y entidades procurarán que
en el diseño de sus programas y en sus reglas de operación se considere
específicamente la atención a los jóvenes, tomando en consideración sus
características y necesidades.
Artículo 53.
El programa 70 y más dispondrá de recursos por $13,205,270,000.00 con los cuales deberá cubrir las
localidades de hasta 30,000 habitantes y alrededor de 2,105,305 adultos mayores
de 70 años. En caso de así permitirlo la disponibilidad presupuestaria, podrá
aumentar gradualmente su cobertura en términos del tamaño de la localidad.
En los Informes Trimestrales que se remitan a
Artículo 54.
Para la ejecución de las líneas de acción establecidas en el Programa Nacional
de Derechos Humanos 2008-2012, cada dependencia competente deberá realizar las
actividades pertinentes para implementar las líneas de acción establecidas en
dicho programa.
TRANSITORIOS
PRIMERO. El
presente Decreto entrará en vigor el primero de enero del año 2010.
SEGUNDO. Las
dependencias y entidades que en los años 2007, 2008 y 2009, hayan aplicado las
medidas establecidas en los artículos 5 fracción II, de los Decretos de
Presupuesto de Egresos de
TERCERO. Los
recursos para las entidades federativas relativos al Fondo de Aportaciones para
CUARTO.
QUINTO. Las
dependencias y entidades deberán remitir a
Las dependencias y entidades contarán con
bases de datos, las cuales contendrán registros con la información propia de
los siniestros realizados sobre los bienes a su cargo, con independencia
de la información proveída por las aseguradoras obligadas al amparo del
contrato de seguro respectivo celebrado con aquellas. La forma de actualizar
las bases de datos a que se refiere este párrafo se determinará de conformidad
con los manuales y formatos a que se refiere el párrafo anterior.
Lo anterior, a efecto de que
de asesorar a las dependencias y entidades en la elaboración de sus programas
de aseguramiento, de sus manuales de procedimientos sobre la contratación de
seguros y soporte de siniestros, en la determinación de sus niveles de
retención máximos y en la prevención y disminución de los riesgos inherentes a
los bienes con que cuenten, así como para asesorar en el proceso de siniestros
realizados y reportados a las compañías
de seguros con los que dichas dependencias y entidades mantengan celebrados
contratos de seguros sobre bienes.
Las dependencias y entidades deberán
comunicar a sus comités de adquisiciones o equivalentes, las razones por las
que no solicitaron la asesoría sobre alguno de los aspectos señalados en el
párrafo anterior o por las que no atendieron las recomendaciones que con motivo
de la misma se hubiesen formulado. Dicha comunicación se enviará a
SEXTO. Los recursos
del fondo de reserva constituido por el Instituto Mexicano del Seguro Social
para garantizar el cumplimiento de las obligaciones derivadas del pago de los
subsidios correspondientes al Programa Primer Empleo, aportados por el
Ejecutivo Federal en términos del artículo 8 del Decreto de Presupuesto de
Egresos de
SÉPTIMO. El
pasivo debidamente documentado a cargo del Gobierno Federal y a favor del Banco
Nacional de Comercio Exterior, S.N.C., derivado de operaciones activas de
financiamiento externo, respaldadas por el Gobierno Federal en apoyo a empresas
para la construcción o adquisición de medios de transporte marítimo, se pagará
con cargo al Ramo Administrativo 06 Hacienda y Crédito Público y al Ramo
General 24 Deuda Pública, según corresponda, a que se refieren los Anexos 1.B.
y 1.C., respectivamente, de este Decreto.
El Gobierno Federal, por conducto de
OCTAVO. Para
tener acceso a los recursos crediticios que otorga el Banco Nacional de Obras y
Servicios Públicos, S.N.C., a los prestadores de los servicios, a través de las
Comisiones Estatales de Agua o directamente a los mismos, para acciones de
infraestructura de agua potable, alcantarillado y saneamiento, así como de
mejoramiento de la eficiencia, éstos deberán:
I. Realizar un estudio de diagnóstico y
planeación integral;
II. En el caso de proyectos de saneamiento y
abastecimiento, podrán sustituir el estudio de diagnóstico por una lista de
indicadores que refleje su situación operativa, administrativa y financiera.
Los organismos operadores podrán acceder a
apoyos para proyectos de abastecimiento, siempre y cuando demuestren que tiene
una eficiencia global mayor o igual a 42 por ciento. En caso de no contar con
la eficiencia mínima requerida para acceder al apoyo, el organismo operador
deberá instrumentar un proyecto de mejora integral de la gestión de manera
previa o en forma simultánea al proyecto de abastecimiento.
Tanto la lista de indicadores como, en su
caso, el proyecto de mejora integral de la gestión deberán ser validados por
III. Estar al corriente en el pago de
derechos.
NOVENO.- Las
erogaciones previstas en el presente Decreto, incluyen los recursos para el
Instituto Federal de Acceso a
Para efectos de este Decreto, el Instituto
Federal de Acceso a
DÉCIMO.- En
el caso de que durante el ejercicio fiscal de 2010, se concrete la desaparición
de secretarías de Estado, los recursos asignados en el presente Decreto, se
reasignarán a las Dependencias que asuman las facultades y atribuciones y de
resultar economías en dicho proceso, deberán aplicarse a programas sociales y a
proyectos productivos, en los términos del Decreto que al efecto se expida.
DÉCIMO PRIMERO.- Los lineamientos del Programa Enciclomedia deberán considerar lo
siguiente:
I. Propiciar que el Programa Enciclomedia
transite paulatinamente, a las Entidades Federativas; conforme al vencimiento
de los contratos respectivos, debiendo corresponder a
II. Los recursos destinados al Programa
Enciclomedia deberán ser ejercidos con eficiencia, eficacia, economía, honradez
y transparencia, y exclusivamente para el cumplimiento de las funciones
sustantivas del mismo;
III. El diseño y desarrollo de indicadores
para medir el desempeño académico del Programa tomará en consideración su
impacto en los procesos de enseñanza-aprendizaje, con especial énfasis en las
asignaturas de matemáticas, la lectura y escritura y las ciencias;
IV. La implementación y funcionamiento del
Programa en comunidades marginadas impulsará la disminución de la brecha
educativa y digital y favorecerá políticas orientadas a fomentar la equidad;
V. La incorporación de recursos didácticos y
tecnológicos que impulsen el uso efectivo y adecuado de Internet en el
Programa, así como otras herramientas de conectividad;
VI. La promoción de mecanismos que
posibiliten a los docentes el desarrollo de su creatividad e iniciativa en el
uso de las tecnologías de la información y las comunicaciones (TIC´S), y en el
diseño de estrategias de enseñanza que optimicen el manejo de los contenidos
educativos incorporando estas herramientas;
VII. Promover acuerdos con las instituciones
formadoras de docentes, con las universidades públicas del país, así como con
los subsistemas tecnológicos y otros instituciones educativas, para desarrollar
programas de capacitación docente en el uso de las tecnologías, así como para
enriquecer y actualizar de manera permanente el programa de Enciclomedia;
VIII. Se procurará que el programa
Enciclomedia sea implementado y utilizado en las escuelas normales públicas del
país, y desarrollar incentivos para que las escuelas normales privadas lo
adopten; así también, que pueda ser adquirido por el público general,
IX. Garantizar la rectoría de
DÉCIMO SEGUNDO. Se autorizan $4,500,000,000.00 para el Sistema Nacional de
Seguridad Nacional y de Conectividad México, los cuales se
destinarán a proyectos para mantener la plataforma de comunicaciones de
seguridad nacional y para garantizar el control y acceso a la banda de
frecuencia “L”.
El Ejecutivo Federal, a través de
El destino y ejercicio de los recursos del
Fideicomiso del Fondo de Cobertura Social de Telecomunicaciones que, hasta el
30 de septiembre de 2009 asciende a $991.1 millones de pesos, deberá reportarse
por
DÉCIMO TERCERO. El presente Presupuesto incluye la cantidad de $13,500,000,000.00, la
cual se distribuirá a las entidades federativas, con base en el coeficiente
derivado de la distribución del Fondo General de Participaciones publicada en
Las entidades federativas deberán ajustarse
en la solicitud, aplicación y rendición de cuentas de este subsidio, a las
disposiciones aplicables al Fideicomiso para
DÉCIMO CUARTO. Con
el propósito de fortalecer el desarrollo y la inversión en infraestructura
urbana que permita apoyar la reactivación económica en distintas regiones del
país,
DÉCIMO QUINTO. Los
proyectos del Programa de Infraestructura Económica de Carreteras Alimentadoras
y Caminos Rurales del Ramo 09 que no cuentan con registro en la cartera de
inversión señalados en el anexo respectivo de este Decreto, se sujetarán a lo
siguiente:
I. Las entidades federativas podrán, a partir
del inicio del ejercicio fiscal y hasta el último día hábil de febrero,
presentar dichos proyectos para su registro en la cartera de programas y
proyectos de inversión.
II. Una vez que dicho proyecto cuente con
registro en la cartera de programas y proyectos de inversión, se realizarán los
trámites conducentes para efectos de la suscripción del convenio de
reasignación correspondiente en términos de las disposiciones aplicables;
III. El recurso reasignado a la entidad
federativa estará sujeto al cumplimiento de la normatividad federal aplicable
en materia de obras públicas y servicios relacionados con las mismas, su
Reglamento, en las demás disposiciones aplicables y, en lo conducente, a la
normatividad de
IV. Los recursos reasignados a las Entidades
Federativas a que se hace referencia en este artículo, sólo podrán aplicarse a
los proyectos para los que son autorizados, los cuales se detallan en el Anexo
respectivo de este Decreto; en consecuencia, queda prohibido transferir o
traspasar dichos recursos a cualquier otro programa o proyecto. Los recursos
que no sean utilizados u observan subejercicios se sujetarán a lo dispuesto por
el artículo 14 de este Decreto.
DÉCIMO SEXTO. Se
destinarán recursos hasta por un monto de 250 millones de pesos para el Fondo
para
DÉCIMO SÉPTIMO. Se crea el Fondo del Sureste, dentro del Ramo 23 “Provisiones
Salariales y Económicas” conforme al anexo correspondiente, con el propósito de
impulsar el desarrollo nacional del sureste para beneficiar a los estados de
Yucatán, Tabasco, Campeche y Quintana Roo, que se distribuirá de manera
proporcional a cada una de las entidades tomando en cuenta el índice de
Desarrollo Humano, la población, entre otros. Los recursos se podrán destinar a
estudios y ejecución de programas y proyectos, acciones enfocadas a desarrollo
regional.
DÉCIMO OCTAVO. Se
destinarán recursos adicionales a la cuota social y aportación solidaria
federal a las entidades federativas que, en su caso, observen reducciones con
motivo de las modificaciones que eventualmente se aprueben a
La asignación compensatoria ascenderá hasta
$1,033,200,000.00 en total, los cuales se ubicarán en el Ramo 12 y deberán ser
aplicados exclusivamente en los mismo rubros de gasto definidos en el Seguro
Popular para la prestación de los servicios de salud a los beneficiarios del
sistema.
La asignación compensatoria se compondrá de
las siguientes previsiones: Aguascalientes ($7,700,000.00), Baja California
($182,300,000.00), Baja California Sur ($3,300,000.00), Campeche
($4,400,000.00), Colima ($11,300,000.00), Chihuahua ($95,400,000.00),
Guanajuato ($60,600,000.00), Morelos ($72,900,000.00), Nayarit
($69,500,000.00), Oaxaca ($122,000,000.00), Tabasco ($236,400,000.00),
Tamaulipas ($146,500,000.00) y Zacatecas ($20,900,000.00).
DÉCIMO NOVENO. Los
poderes Legislativo, Ejecutivo y Judicial, así como los entes con autonomía
derivada de
VIGÉSIMO. Las
secretarías de Comunicaciones y Transportes y de Hacienda y Crédito Público
podrán realizar las adecuaciones presupuestarias que soliciten las entidades
federativas cuando exista la necesidad de reasignar recursos entre proyectos de
inversión en una misma entidad federativa.
VIGÉSIMO PRIMERO. Una vez que se modifique el régimen de financiamiento público de los
partidos políticos para efectos de reducir la ministración anual prevista en el
gasto programable del Instituto Federal Electoral, el presupuesto del ramo
autónomo se ajustará en exacta proporción a la reducción aprobada y aplicará
únicamente para las ministraciones no devengadas. En ningún caso, la reducción
del financiamiento público de los partidos políticos podrá destinarse a otros
programas o partidas de ese ramo autónomo. El Instituto Federal Electoral
informará a
VIGÉSIMO SEGUNDO. En caso de que se aprueben reformas que modifiquen las estructuras del
Gobierno Federal que ejercen facultades administrativas y de gasto en las
entidades federativas, estas, ajustarán sus estructuras a fin de que los
ahorros de gasto corriente que eventualmente se generen, se destinarán a
proyectos de inversión que cuenten con registro en la cartera de proyectos de
inversión de
VIGÉSIMO TERCERO. Las dependencias y entidades deberán reducir las estructuras orgánicas
y ocupacionales de sus respectivos órganos internos de control, a cuyo efecto
tomarán en cuenta las disposiciones jurídicas aplicables y los criterios que
emitan las secretarías de Hacienda y Crédito Público y de
VIGÉSIMO CUARTO. Las plazas que sean creadas con cargo a los recursos establecidos en el
rubro de previsiones salariales y económicas del Ramo 25 Previsiones y
Aportaciones para los Sistemas de Educación Básica, Normal, Tecnológica y de
Adultos, para su aplicación a través del Ramo 33 Aportaciones Federales para
Entidades Federativas y Municipios, sólo podrán ser creadas con base en las
disposiciones establecidas al respecto en
VIGÉSIMO QUINTO. Del presupuesto total asignado al Instituto Federal Electoral para el
ejercicio fiscal 2010, podrá destinar recursos para iniciar investigaciones o
estudios técnicos que permitan determinar, en el mediano plazo, la viabilidad o
no, de utilizar instrumentos electrónicos de votación en los procesos
electorales federales, que garanticen la efectividad y autenticidad del
sufragio, así como el posible recuento de la votación, sin afectar el principio
del secreto al voto.
VIGÉSIMO SEXTO: Los recursos previstos en el Ramo 36 de este presupuesto para el
otorgamiento de subsidios a los municipios y el Gobierno del Distrito Federal
para la seguridad pública en sus demarcaciones territoriales a que se refiere
el artículo 10 de este Decreto y los correspondientes para el Secretariado
Ejecutivo del Sistema Nacional de Seguridad Pública en términos de sus nuevas
atribuciones, serán transferidos por
VIGÉSIMO SÉPTIMO.
El Corredor Biológico Mesoamericano - México que
actualmente administra
VIGÉSIMO OCTAVO. Los recursos previstos en el Ramo 04 de este presupuesto como
subsidios para la implementación de
l. Definir los lineamientos generales aplicables a la asignación de recursos destinados a la implementación del Sistema de Justicia Penal a favor de las Entidades Federativas y el Distrito Federal.
II. Establecer criterios de selección de estudios, planes, evaluaciones, programas, proyectos, acciones, obras de infraestructura y equipamiento de tal forma que sea garantizada la implementación gradual del Sistema de Justicia Penal.
III. Definir los requisitos que los programas y proyectos presentados por los Tribunales Superiores de Justicia de los estados y del Distrito Federal deben reunir a efecto de que les sean asignados recursos aplicables a la implementación del Sistema de Justicia Penal.
IV. Fijar parámetros de costos que permita crear un catálogo único de precios que homologue los presupuestos requeridos por los Tribunales Superiores de las Entidades Federativas y del Distrito Federal aplicables a gasto de inversión, y
V. Evaluar los avances de la implementación del Sistema de Justicia Penal, a efecto de que el resultado de la misma sea utilizado como referencia para la asignación de recursos en el siguiente ejercicio fiscal.
VIGÉSIMO NOVENO. Para efectos de la aplicación de los programas y de la orientación de
los recursos que conforman el PEC, se considerarán las propuestas elaboradas y
remitidas a
|
ANEXO 1. GASTO NETO TOTAL (pesos) |
|
|
|
|
|
|
|||
|
|
|
|
|
|
|
|
|
|
|
|
|
Monto |
||||||||
|
A: RAMOS AUTÓNOMOS |
53,094,842,078 |
||||||||
|
Gasto Programable |
|
|
|
|
|
|
|
||
|
|
01 |
Poder Legislativo |
|
9,549,963,905 |
|||||
|
|
|
Cámara de Senadores |
|
3,569,947,913 |
|||||
|
|
|
Cámara de Diputados |
|
4,753,515,992 |
|||||
|
|
|
Auditoría Superior de la
Federación |
|
1,226,500,000 |
|||||
|
|
03 |
Poder Judicial |
|
34,023,540,217 |
|||||
|
|
|
Suprema Corte de Justicia de
la Nación |
|
4,476,176,131 |
|||||
|
|
|
Consejo de la Judicatura
Federal |
|
27,637,455,886 |
|||||
|
|
|
Tribunal Electoral del Poder
Judicial de la Federación |
|
1,909,908,200 |
|||||
|
|
22 |
Instituto Federal Electoral |
|
8,631,759,587 |
|||||
|
|
35 |
Comisión Nacional de los Derechos Humanos |
|
889,578,369 |
|||||
|
RAMO: 40 INFORMACIÓN NACIONAL ESTADÍSTICA Y
GEOGRÁFICA |
|
|
|
|
|||||
|
|
40 |
Instituto Nacional de Estadística y Geografía |
|
8,765,687,413 |
|||||
|
B: RAMOS ADMINISTRATIVOS |
787,505,784,508 |
||||||||
|
Gasto Programable |
|
|
|
|
|
|
|
||
|
|
02 |
Presidencia de la República |
1,677,840,660 |
||||||
|
|
04 |
Gobernación |
8,370,632,682 |
||||||
|
|
05 |
Relaciones Exteriores |
5,945,357,102 |
||||||
|
|
06 |
Hacienda y Crédito Público |
36,456,348,781 |
||||||
|
|
07 |
Defensa Nacional |
43,632,410,311 |
||||||
|
|
08 |
Agricultura, Ganadería, Desarrollo Rural,
Pesca y Alimentación |
73,368,451,917 |
||||||
|
|
09 |
Comunicaciones y Transportes |
80,262,786,695 |
||||||
|
|
10 |
Economía |
14,354,738,067 |
||||||
|
|
11 |
Educación Pública |
211,186,159,110 |
||||||
|
|
12 |
Salud |
89,892,930,927 |
||||||
|
|
13 |
Marina |
15,991,869,193 |
||||||
|
|
14 |
Trabajo y Previsión Social |
3,677,865,914 |
||||||
|
|
15 |
Reforma Agraria |
5,195,123,145 |
||||||
|
|
16 |
Medio Ambiente y Recursos Naturales |
46,236,202,437 |
||||||
|
|
17 |
Procuraduría General de la República |
11,781,474,057 |
||||||
|
|
18 |
Energía |
3,163,622,338 |
||||||
|
|
20 |
Desarrollo Social |
80,176,891,338 |
||||||
|
|
21 |
Turismo |
3,935,758,535 |
||||||
|
|
27 |
Función Pública |
1,248,758,954 |
||||||
|
|
31 |
Tribunales Agrarios |
750,666,996 |
||||||
|
|
32 |
Tribunal Federal de Justicia Fiscal y
Administrativa |
1,719,423,175 |
||||||
|
|
36 |
Seguridad Pública |
32,437,776,662 |
||||||
|
|
37 |
Consejería Jurídica del Ejecutivo Federal |
96,103,099 |
||||||
|
|
38 |
Consejo Nacional de Ciencia y Tecnología |
15,946,592,413 |
||||||
|
C: RAMOS GENERALES |
1,527,548,719,294 |
||||||||
|
Gasto Programable |
|
|
|
|
|
|
|
||
|
|
19 |
Aportaciones a Seguridad Social |
296,997,690,878 |
||||||
|
|
23 |
Provisiones Salariales y Económicas |
65,822,743,278 |
||||||
|
|
25 |
Previsiones y Aportaciones para los Sistemas
de Educación Básica, Normal, Tecnológica y de Adultos |
43,844,058,803 |
||||||
|
|
33 |
Aportaciones Federales para Entidades
Federativas y Municipios |
419,308,044,004 |
||||||
|
Gasto No
Programable |
|
|
|
|
|
|
|
||
|
|
24 |
Deuda Pública |
232,910,980,862 |
||||||
|
|
28 |
Participaciones a Entidades Federativas y
Municipios |
441,579,154,109 |
||||||
|
|
29 |
Erogaciones para las Operaciones y Programas
de Saneamiento Financiero |
0 |
||||||
|
|
30 |
Adeudos de Ejercicios Fiscales Anteriores |
13,323,600,000 |
||||||
|
|
34 |
Erogaciones para los Programas de Apoyo a
Ahorradores y Deudores de la Banca |
|
|
13,762,447,360 |
||||
|
D: ENTIDADES SUJETAS A CONTROL PRESUPUESTARIO
DIRECTO |
1,063,041,759,733 |
||||||||
|
Gasto Programable |
|
|
|
|
|
|
|
||
|
|
GYN |
Instituto de Seguridad y
Servicios Sociales de los Trabajadores del Estado |
107,065,628,933 |
||||||
|
|
GYR |
Instituto Mexicano del Seguro Social |
320,379,600,000 |
||||||
|
|
TOQ |
Comisión Federal de Electricidad |
210,459,375,659 |
||||||
|
|
TZZ |
Petróleos Mexicanos (Consolidado) |
375,934,008,664 |
||||||
|
Gasto No
Programable |
|
|
|
|
|
|
|
||
|
|
|
Costo Financiero, que se distribuye para
erogaciones de: |
49,203,146,477 |
||||||
|
|
TOQ |
Comisión Federal de Electricidad |
8,904,710,828 |
||||||
|
|
TZZ |
Petróleos Mexicanos (Consolidado) |
40,298,435,649 |
||||||
|
Neteo: Resta de: a) aportaciones ISSSTE del Gobierno Federal
y de los Poderes y Ramos Autónomos; b) transferencias a las entidades de
control directo en |
263,624,793,026 |
||||||||
|
GASTO NETO TOTAL |
|
3,176,332,000,000 |
|||||||
|
ANEXO 2. GASTOS OBLIGATORIOS (millones de
pesos) |
|
|
|
|
|
|||
|
|
|
|
|
|
|
|
|
|
|
Previsiones para Gastos Obligatorios |
2,089,370.7 |
|||||||
|
ANEXO 3. EROGACIONES PLURIANUALES PARA
PROYECTOS DE INFRAESTRUCTURA (millones de pesos) |
|||||||||
|
|
|
|
|
|
|
|
|
|
|
|
Proyecto |
|
2010 |
Posteriores |
||||||
|
INFRAESTRUCTURA CARRETERA |
|
2,323.0 |
5,502.0 |
||||||
|
REGIÓN NOROESTE |
|
620.0 |
2,450.1 |
||||||
|
Puertecitos-Laguna de Chapala
y Libramiento de Ensenada |
130.0 |
1,230.1 |
|||||||
|
San Luis Río
Colorado-Sonoyta-Caborca |
|
490.0 |
1,220.0 |
||||||
|
REGIÓN SUR SURESTE |
|
635.0 |
959.8 |
||||||
|
Villahermosa-Escárcega-Xpujil |
|
350.0 |
509.8 |
||||||
|
Cafetal-Tulúm-Playa del Carmen |
|
285.0 |
450.0 |
||||||
|
REGIÓN OCCIDENTE-NORESTE |
|
1,018.0 |
910.1 |
||||||
|
Durango-Fresnillo |
|
550.0 |
440.6 |
||||||
|
Zacatecas-Saltillo |
|
468.0 |
469.5 |
||||||
|
REGIÓN SUR SURESTE |
|
50.0 |
1,182.0 |
||||||
|
Acapulco-Zihuatanejo |
|
50.0 |
1,182.0 |
||||||
|
INFRAESTRUCTURA HIDRÁULICA |
|
2,325.5 |
2,314.2 |
||||||
|
Túnel Emisor Oriente (TEO) |
|
1,370.8 |
1,403.5 |
||||||
|
Presa El Zapotillo |
|
954.7 |
910.7 |
||||||
|
INFRAESTRUCTURA TURÍSTICA |
|
256.1 |
3,206.1 |
||||||
|
CIP Costa del Pacífico |
|
256.1 |
3,206.1 |
||||||
|
TOTAL |
|
|
|
|
4,904.6 |
11,022.3 |
|||
|
ANEXO 4. COMPROMISOS PLURIANUALES (millones
de pesos) |
||||||||
|
|
|
|
|
|
|
|
|
|
|
Previsiones para compromisos plurianuales |
|
|
|
|
|
74,615.0 |
||
|
ANEXO 5. PROYECTOS DE INFRAESTRUCTURA
PRODUCTIVA DE LARGO PLAZO (pesos) |
||||||||
|
|
|
|
|
|||||
|
5.A. Monto autorizado para nuevos proyectos |
|
|
|
|
|
|
||
|
|
Inversión Directa |
Inversión Condicionada |
Suma |
|||||
|
Comisión Federal de Electricidad |
8,778,120,090 |
0 |
8,778,120,090 |
|||||
|
|
|
|
|
|||||
|
5.B. Monto autorizado para proyectos
aprobados en ejercicios fiscales anteriores de inversión directa e inversión
condicionada |
||||||||
|
|
Inversión Directa |
Inversión Condicionada |
Suma |
|||||
|
Comisión Federal de Electricidad |
359,130,005,526 |
141,169,087,350 |
500,299,092,876 |
|||||
|
|
|
|
|
|||||
|
5.C. Monto autorizado para proyectos
aprobados para ejercicios fiscales anteriores y para nuevos proyectos |
||||||||
|
|
Inversión Directa |
Inversión Condicionada |
Suma |
|||||
|
Comisión Federal de Electricidad |
367,908,125,616 |
141,169,087,350 |
509,077,212,966 |
|||||
|
|
|
|
|
|||||
|
5.D. Monto comprometido de proyectos de
inversión directa autorizados en ejercicios fiscales anteriores |
||||||||
|
|
Monto Autorizado |
Monto Contratado |
Monto Comprometido |
|||||
|
Comisión Federal de Electricidad |
204,540,800,505 |
180,175,384,705 |
143,547,719,449 |
|||||
|
|
|
|
|
|||||
|
5.E. Monto máximo de compromiso de proyectos
de inversión condicionada autorizados en ejercicios fiscales anteriores |
||||||||
|
|
Monto Autorizado |
Monto Contratado |
Máximo Comprometido |
|||||
|
Comisión Federal de Electricidad |
104,186,494,643 |
103,255,647,518 |
82,537,489,207 |
|||||
|
|
|
|
|
|||||
|
5.F. Previsiones para pago de amortizaciones y costo
financiero de proyectos de inversión directa |
||||||||
|
|
Inversión Física (Amortizaciones) |
Costo Financiero |
Suma |
|||||
|
Comisión Federal de Electricidad |
11,938,038,937 |
6,325,689,808 |
18,263,728,745 |
|||||
|
ANEXO 6. PREVISIONES SALARIALES Y ECONÓMICAS (pesos) |
||||||||||
|
|
|
|
|
|
|
|
|
|
||
|
|
|
Incremento a las
percepciones |
Creación de
plazas |
Otras medidas de
carácter económico, laboral y contingente |
Total |
|||||
|
|
|
I |
II |
III |
|
|||||
|
02 |
Presidencia de la República |
27,349,000 |
0 |
1,269,962 |
28,618,962 |
|||||
|
04 |
Gobernación |
196,652,900 |
0 |
8,114,485 |
204,767,385 |
|||||
|
05 |
Relaciones Exteriores |
33,553,300 |
0 |
3,463,680 |
37,016,980 |
|||||
|
06 |
Hacienda y Crédito Público |
626,613,000 |
0 |
39,114,210 |
665,727,210 |
|||||
|
07 |
Defensa Nacional |
863,186,000 |
0 |
23,167 |
863,209,167 |
|||||
|
08 |
Agricultura, Ganadería, Desarrollo Rural,
Pesca y Alimentación |
274,744,500 |
0 |
209,545,635 |
484,290,135 |
|||||
|
09 |
Comunicaciones y Transportes |
230,985,100 |
0 |
38,919,368 |
269,904,468 |
|||||
|
10 |
Economía |
106,877,400 |
0 |
10,919,822 |
117,797,222 |
|||||
|
11 |
Educación Pública |
2,384,030,800 |
0 |
1,272,259,996 |
3,656,290,796 |
|||||
|
12 |
Salud |
734,859,700 |
0 |
38,676,758 |
773,536,458 |
|||||
|
13 |
Marina |
339,138,700 |
0 |
68,796,594 |
407,935,294 |
|||||
|
14 |
Trabajo y Previsión Social |
66,503,400 |
0 |
6,033,722 |
72,537,122 |
|||||
|
15 |
Reforma Agraria |
54,655,600 |
0 |
6,119,880 |
60,775,480 |
|||||
|
16 |
Medio Ambiente y Recursos Naturales |
257,108,700 |
0 |
34,071,413 |
291,180,113 |
|||||
|
17 |
Procuraduría General de la República |
394,603,700 |
0 |
9,921,445 |
404,525,145 |
|||||
|
18 |
Energía |
56,923,500 |
0 |
1,922,722 |
58,846,222 |
|||||
|
20 |
Desarrollo Social |
76,611,300 |
0 |
7,746,459 |
84,357,759 |
|||||
|
21 |
Turismo |
22,059,600 |
0 |
2,594,147 |
24,653,747 |
|||||
|
23 |
Provisiones Salariales y Económicas |
0 |
0 |
14,331,011,574 |
14,331,011,574 |
|||||
|
27 |
Función Pública |
52,374,900 |
0 |
1,190,218 |
53,565,118 |
|||||
|
31 |
Tribunales Agrarios |
23,237,800 |
0 |
1,603,148 |
24,840,948 |
|||||
|
32 |
Tribunal Federal de Justicia Fiscal y
Administrativa |
38,927,500 |
0 |
1,629,408 |
40,556,908 |
|||||
|
36 |
Seguridad Pública |
649,681,900 |
0 |
65,745,941 |
715,427,841 |
|||||
|
37 |
Consejería Jurídica del Ejecutivo Federal |
3,834,600 |
0 |
32,109 |
3,866,709 |
|||||
|
38 |
Consejo Nacional de Ciencia y Tecnología |
131,940,600 |
0 |
22,933,915 |
154,874,515 |
|||||
|
ANEXO 6.1. RAMO 40 INFORMACIÓN NACIONAL ESTADÍSTICA Y
GEOGRÁFICA (pesos) |
|||||||||||
|
|
|
|
|
|
|
|
|
|
|||
|
|
Incremento a las
percepciones |
Creación de
plazas |
Otras medidas de
carácter económico, laboral y contingente |
Total |
|||||||
|
40 |
Instituto Nacional de
Estadística y Geografía |
122,335,230 |
0 |
0 |
122,335,230 |
||||||
|
ANEXO
7. EROGACIONES PARA EL DESARROLLO INTEGRAL DE |
||||||||
|
|
|
|
|
|||||
|
Ramo |
Denominación |
Monto |
||||||
|
TOTAL |
|
|
|
|
|
|
|
44,368.3 |
|
06 Hacienda y Crédito Público (CDI) |
|
|
|
|
|
7,815.7 |
||
|
|
|
Acciones para
Igualdad de Género con Población Indígena |
51.8 |
|||||
|
|
|
Comunicación Intercultural |
91.9 |
|||||
|
|
|
Fortalecimiento de Capacidades Indígenas |
68.2 |
|||||
|
|
|
Proyectos de inmuebles (oficinas
administrativas) |
18.1 |
|||||
|
|
|
Mantenimiento de infraestructura |
18.0 |
|||||
|
|
|
Actividades de Apoyo Administrativo |
193.5 |
|||||
|
|
|
Actividades de Apoyo a |
14.6 |
|||||
|
|
|
Instrumentación de Políticas Transversales
con Población Indígena |
380.9 |
|||||
|
|
|
Planeación y Participación Indígena |
57.4 |
|||||
|
|
|
Acciones de control de las unidades centrales
y foráneas |
422.6 |
|||||
|
|
|
Programas Albergues Escolares Indígenas
(PAEI) |
813.4 |
|||||
|
|
|
Programa de Infraestructura Básica para |
4,738.9 |
|||||
|
|
|
Programa Fondos Regionales Indígenas (PFRI) |
254.1 |
|||||
|
|
|
Programa Organización Productiva para Mujeres
Indígenas (POPMI) |
255.0 |
|||||
|
|
|
Programa Promoción de Convenios en Materia de
Justicia (PPCMJ) |
37.0 |
|||||
|
|
|
Programa de Fomento y Desarrollo de las
Culturas Indígenas (PFDCI) |
23.7 |
|||||
|
|
|
Programa Turismo Alternativo en Zonas
Indígenas (PTAZI) |
170.0 |
|||||
|
|
|
Programa de Coordinación para el Apoyo a |
|
|||||
|
|
|
Proyectos para |
|
|||||
|
|
|
Apoyo a proyectos de comunicación indígena |
4.0 |
|||||
|
|
|
Atención a Tercer Nivel |
17.1 |
|||||
|
|
|
Manejo y Conservación de Recursos Naturales
en Zonas Indígenas |
10.0 |
|||||
|
|
|
Excarcelación de Presos Indígenas |
10.5 |
|||||
|
08 Agricultura, Ganadería, Desarrollo Rural,
Pesca y Alimentación |
2,288.3 |
|||||||
|
|
|
PROCAMPO para Vivir Mejor |
1,750.5 |
|||||
|
|
|
Programa para |
150.0 |
|||||
|
|
|
Programa de Apoyo a Contingencias
Climatológicas |
160.0 |
|||||
|
|
|
Programa de Uso Sustentable de Recursos
Naturales para |
|
|||||
|
|
|
Programa de Soporte |
191.6 |
|||||
|
09 Comunicaciones y Transportes |
|
|
|
|
|
971.4 |
||
|
|
|
Proyectos de infraestructura económica de
carreteras alimentadoras y caminos rurales |
|
|||||
|
|
|
Programa de Empleo Temporal (PET) |
425.1 |
|||||
|
10 Economía |
|
|
|
|
|
|
|
28.5 |
|
|
|
Fondo de Microfinanciamiento a Mujeres
Rurales (FOMMUR) |
13.5 |
|||||
|
|
|
Programa Nacional de Financiamiento al
Microempresario |
15.0 |
|||||
|
11 Educación Pública |
|
|
|
|
|
|
6,127.0 |
|
|
|
|
Impulso al desarrollo de la cultura |
6.4 |
|||||
|
|
|
Normar los servicios educativos |
66.3 |
|||||
|
|
|
Proyectos de infraestructura social de
educación |
30.3 |
|||||
|
|
|
Diseño y aplicación de la política educativa |
46.8 |
|||||
|
|
|
Fortalecimiento a la educación y la cultura
indígena |
83.4 |
|||||
|
|
|
Programa de Educación inicial y básica para
la población rural e indígena |
|
|
|
|||
|
|
|
Programa de Desarrollo Humano Oportunidades |
5,039.9 |
|||||
|
|
|
Acciones Compensatorias para Abatir el Rezago
Educativo en Educación Inicial y Básica (CONAFE) |
300.5 |
|||||
|
|
|
Programa de Educación Básica para Niños y
Niñas de Familias Jornaleras Agrícolas Migrantes |
|
|||||
|
|
|
Programa Asesor Técnico Pedagógico |
100.8 |
|||||
|
|
|
Programa para el Fortalecimiento del Servicio
de la Educación Telesecundaria |
28.6 |
|||||
|
|
|
Fortalecimiento a las acciones asociadas a la
educación indígena |
250.0 |
|||||
|
12 Salud |
|
|
|
|
|
|
|
2,626.5 |
|
|
|
Atención de |
2.2 |
|||||
|
|
|
Cooperación internacional en salud |
6.0 |
|||||
|
|
|
Programa Comunidades Saludables |
10.2 |
|||||
|
|
|
Programa de Desarrollo Humano Oportunidades |
845.7 |
|||||
|
|
|
Caravanas de la Salud |
74.1 |
|||||
|
|
|
Seguro Popular |
1,688.4 |
|||||
|
15 Reforma Agraria |
|
|
|
|
|
|
276.9 |
|
|
|
|
Programa de |
137.1 |
|||||
|
|
|
Fondo de Apoyo para Proyectos Productivos
(FAPPA) |
139.9 |
|||||
|
16 Medio Ambiente y Recursos Naturales |
|
|
|
|
|
456.5 |
||
|
|
|
Definición de la normatividad para la
política ambiental e identificación y diseño de instrumentos de fomento en
apoyo al desarrollo sustentable. |
|
|||||
|
|
|
Proárbol-Programa de Desarrollo Forestal (PRODEFOR) |
62.8 |
|||||
|
|
|
Programa de Conservación para el Desarrollo
Sostenible (PROCODES) |
35.0 |
|||||
|
|
|
Programa de Empleo Temporal (PET) |
85.9 |
|||||
|
|
|
ProÁrbol-Programa de Conservación y
Restauración de Ecosistemas Forestales (PROCOREF) |
|
|||||
|
|
|
ProÁrbol-Proyectos de Conservación y
Restauración |
70.4 |
|||||
|
|
|
ProÁrbol-Promoción de la producción y la
productividad de los ecosistemas forestales de manera sustentable |
|
|||||
|
Comisión Nacional del Agua |
|
|
|
|
|
|
157.5 |
|
|
|
|
Infraestructura para |
|
|||||
|
|
|
Infraestructura de Temporal |
1.7 |
|||||
|
|
|
Infraestructura de Riego |
9.0 |
|||||
|
|
|
Programa para |
|
|||||
|
19 Aportaciones a Seguridad Social |
|
|
|
|
|
1,846.9 |
||
|
|
|
Programa IMSS-Oportunidades |
1,846.9 |
|||||
|
20 Desarrollo Social |
|
|
|
|
|
|
16,205.5 |
|
|
|
|
Programa de Abasto Social de Leche a cargo de
Liconsa, S.A. de C.V. |
16.2 |
|||||
|
|
|
Programa de Abasto Rural a cargo de Diconsa,
S.A. de C.V. (DICONSA) |
903.2 |
|||||
|
|
|
Programa de Opciones Productivas |
98.4 |
|||||
|
|
|
Programas del Fondo Nacional de Fomento a las
Artesanías (FONART) |
27.0 |
|||||
|
|
|
Programa de Ahorro y Subsidio para |
464.4 |
|||||
|
|
|
Programa 3 x 1 para Migrantes |
9.3 |
|||||
|
|
|
Programa de Atención a Jornaleros
Agrícolas |
117.8 |
|||||
|
|
|
Programa de Coinversión Social |
15.4 |
|||||
|
|
|
Programa de Empleo Temporal (PET) |
297.5 |
|||||
|
|
|
Programa de Desarrollo Humano Oportunidades |
7,551.9 |
|||||
|
|
|
Programa de Vivienda Rural |
24.5 |
|||||
|
|
|
Programa de Apoyo Alimentario |
1,057.4 |
|||||
|
|
|
Programa de estancias infantiles para apoyar
a madres trabajadoras |
132.2 |
|||||
|
|
|
Programa 70 y más |
4,764.0 |
|||||
|
|
|
Programa para el Desarrollo de Zonas
Prioritarias |
726.3 |
|||||
|
33 Aportaciones Federales para Entidades
Federativas y Municipios |
5,560.2 |
|||||||
|
35 Comisión Nacional de Derechos Humanos |
|
|
|
|
|
7.3 |
||
|
|
|
Gestionar asuntos sobre beneficios de
libertad anticipada para indígenas |
1.7 |
|||||
|
|
|
Promover los Derechos Humanos de los pueblos
y las comunidades indígenas |
5.6 |
|||||
|
ANEXO 8. PROGRAMA
ESPECIAL CONCURRENTE PARA EL DESARROLLO RURAL SUSTENTABLE (millones de pesos) |
||||||||
|
|
|
|
|
|
|
|
|
|
|
Vertiente |
Descripción |
Monto |
||||||
|
|
|
|
TOTAL |
|
|
|
|
269,078.6 |
|
|
|
|
1. Programa de financiamiento y aseguramiento al
medio rural |
2,968.1 |
||||
|
Financiera |
Ramo 06 Hacienda y Crédito Público |
2,968.1 |
||||||
|
|
|
|
AGROASEMEX |
809.6 |
||||
|
|
|
|
FINANCIERA RURAL |
1,028.5 |
||||
|
|
|
|
BANSEFI |
|
|
|
|
150.0 |
|
|
|
|
Fondo de Capitalización e Inversión del Sector Rural
(FOCIR) |
180.0 |
||||
|
|
|
|
FIRA (Fideicomisos Instituidos en Relación con |
800.0 |
||||
|
|
|
|
2. Programa para la adquisición de activos
productivos |
15,358.4 |
||||
|
Competitividad |
Ramo 08 Agricultura, Ganadería, Desarrollo Rural,
Pesca y Alimentación |
12,647.0 |
||||||
|
|
|
|
Activos productivos tradicional |
9,477.0 |
||||
|
|
|
|
Agrícola Tradicional |
4,519.4 |
||||
|
|
|
|
Competitividad ramas estratégicas agrícola |
1,290.0 |
||||
|
|
|
|
Maíz |
700.0 |
||||
|
|
|
|
Frijol |
120.0 |
||||
|
|
|
|
Trigo |
70.0 |
||||
|
|
|
|
Sorgo |
80.0 |
||||
|
|
|
|
Arroz |
30.0 |
||||
|
|
|
|
Caña de Azúcar |
170.0 |
||||
|
|
|
|
Café |
120.0 |
||||
|
|
|
|
Competitividad de ramas no stratégicas |
662.0 |
||||
|
|
|
|
Oleaginosas |
35.0 |
||||
|
|
|
|
Nuez |
12.0 |
||||
|
|
|
|
Cártamo |
6.0 |
||||
|
|
|
|
Palma de Aceite |
5.0 |
||||
|
|
|
|
Soya |
5.0 |
||||
|
|
|
|
Otros |
7.0 |
||||
|
|
|
|
Cultivos y Plantaciones Industriales |
29.0 |
||||
|
|
|
|
Cebada |
15.0 |
||||
|
|
|
|
Vainillas |
4.0 |
||||
|
|
|
|
Hule |
7.0 |
||||
|
|
|
|
Tabaco |
2.0 |
||||
|
|
|
|
Henequén |
1.0 |
||||
|
|
|
|
Frutas Tropicales |
133.0 |
||||
|
|
|
|
Mango |
18.0 |
||||
|
|
|
|
Coco |
7.0 |
||||
|
|
|
|
Cítricos |
55.0 |
||||
|
|
|
|
Plátano |
10.0 |
||||
|
|
|
|
Papaya |
10.0 |
||||
|
|
|
|
Melón |
6.0 |
||||
|
|
|
|
Piña |
8.0 |
||||
|
|
|
|
Guayaba |
4.0 |
||||
|
|
|
|
Otros |
15.0 |
||||
|
|
|
|
Frutas Templadas |
70.0 |
||||
|
|
|
|
Durazno |
15.0 |
||||
|
|
|
|
Manzana |
15.0 |
||||
|
|
|
|
Aguacate |
15.0 |
||||
|
|
|
|
Fresa |
10.0 |
||||
|
|
|
|
Otros |
15.0 |
||||
|
|
|
|
Productos de Semidesierto |
125.0 |
||||
|
|
|
|
Nopal y Maguey |
25.0 |
||||
|
|
|
|
Agaves |
100.0 |
||||
|
|
|
|
Otros |
270.0 |
||||
|
|
|
|
Diversos |
250.0 |
||||
|
|
|
|
Ornamentales |
20.0 |
||||
|
|
|
|
Ganadero Tradicional |
2,553.1 |
||||
|
|
|
|
Apicultura |
60.0 |
||||
|
|
|
|
Carne de Ovinos y Caprinos |
250.0 |
||||
|
|
|
|
Infraestructura a ovinos y caprinos |
30.0 |
||||
|
|
|
|
Leche de Caprinos |
25.0 |
||||
|
|
|
|
Otros |
70.0 |
||||
|
|
|
|
Competitividad de ramas estratégicas |
1,055.0 |
||||
|
|
|
|
Huevo |
10.0 |
||||
|
|
|
|
Leche |
300.0 |
||||
|
|
|
|
Cárnicos |
745.0 |
||||
|
|
|
|
Bovinos |
600.0 |
||||
|
|
|
|
Porcinos |
120.0 |
||||
|
|
|
|
Aves |
25.0 |
||||
|
|
|
|
Pesca Tradicional |
819.5 |
||||
|
|
|
|
Programa Normal |
200.0 |
||||
|
|
|
|
Acuacultura y otros |
35.0 |
||||
|
|
|
|
Competitividad de ramas estratégicas |
150.0 |
||||
|
|
|
|
Pescado |
150.0 |
||||
|
|
|
|
Desarrollo Rural |
1,585.0 |
||||
|
|
|
|
Programas Estratégicos |
3,170.0 |
||||
|
|
|
|
Recría Pecuaria |
380.0 |
||||
|
|
|
|
Programa Normal |
100.0 |
||||
|
|
|
|
Semen Sexado |
80.0 |
||||
|
|
|
|
Fomento Productivo de Café |
500.0 |
||||
|
|
|
|
Acuacultura, sustitución de motores y otros |
440.0 |
||||
|
|
|
|
PROMAF |
750.0 |
||||
|
|
|
|
Programa Especial para |
1,100.0 |
||||
|
|
|
|
Programa Especial Integral de Competitividad de Ramas
Productivas Basicas y Abasto del Mercado Interno |
0.0 |
||||
|
Competitividad |
Ramo 10 Economía |
1,023.4 |
||||||
|
|
|
|
Fondo de Microfinanciamiento a Mujeres Rurales
(FOMMUR) |
198.4 |
||||
|
|
|
|
Fondo Nacional de Apoyos para Empresas en Solidaridad
(FONAES) |
770.0 |
||||
|
|
|
|
Programa Nacional de Financiamiento al
Microempresario (PRONAFIM) |
55.0 |
||||
|
Competitividad |
Ramo 15 Reforma Agraria |
1,553.0 |
||||||
|
|
|
|
Fondo de Apoyo para Proyectos Productivos
(FAPPA) |
773.0 |
||||
|
|
|
|
Programa de |
780.0 |
||||
|
Competitividad |
Ramo 21 Turismo |
135.0 |
||||||
|
|
|
|
Ecoturismo y Turismo Rural |
135.0 |
||||
|
|
|
|
3. Programa de Apoyos Directos al Campo (PROCAMPO
para Vivir Mejor) |
16,150.0 |
||||
|
Competitividad |
Ramo 08 Agricultura, Ganadería, Desarrollo Rural,
Pesca y Alimentación |
16,150.0 |
||||||
|
|
|
|
PROCAMPO para Vivir Mejor |
16,150.0 |
||||
|
|
|
|
4. Programa de inducción y desarrollo del
financiamiento al medio rural |
6,139.2 |
||||
|
Competitividad |
Ramo 08 Agricultura, Ganadería, Desarrollo Rural,
Pesca y Alimentación |
5,654.0 |
||||||
|
|
|
|
Garantías y Otros Apoyos |
1,550.0 |
||||
|
|
|
|
Riesgo Compartido |
1,954.0 |
||||
|
|
|
|
PROVAR |
400.0 |
||||
|
|
|
|
FIMAGO (esquema de activos productivos) |
700.0 |
||||
|
|
|
|
Apoyo a intermediarios financieros |
0.0 |
||||
|
|
|
|
Fondo para |
350.0 |
||||
|
|
|
|
Trópico Húmedo |
|
|
|
|
800.0 |
|
|
|
|
Apoyo a |
1,000.0 |
||||
|
Competitividad |
Ramo 15 Reforma Agraria |
458.3 |
||||||
|
|
|
|
Joven Emprendedor Rural y Fondo de Tierras |
458.3 |
||||
|
Competitividad |
Ramo 20 Desarrollo Social |
26.9 |
||||||
|
|
|
|
Fondo Nacional de Fomento a las Artesanías
(FONART) |
26.9 |
||||
|
|
|
|
5. Programa de atención a problemas
estructurales |
12,400.1 |
||||
|
Competitividad |
Ramo 08 Agricultura, Ganadería, Desarrollo Rural,
Pesca y Alimentación |
12,400.1 |
||||||
|
|
|
|
Diesel agropecuario |
1,687.6 |
||||
|
|
|
|
Diesel marino |
|
|
|
|
651.2 |
|
|
|
|
Gasolina ribereña |
|
|
|
|
111.3 |
|
|
|
|
Apoyo al ingreso objetivo y a la
comercialización |
9,950.0 |
||||
|
|
|
|
Ingreso Objetivo |
600.0 |
||||
|
|
|
|
Comercialización |
4,600.0 |
||||
|
|
|
|
Ganadería por Contrato |
250.0 |
||||
|
|
|
|
6. Programa soporte |
7,321.1 |
||||
|
Competitividad |
Ramo 08 Agricultura, Ganadería, Desarrollo Rural,
Pesca y Alimentación |
6,284.0 |
||||||
|
|
|
|
Sanidades e inocuidad |
3,953.9 |
||||
|
|
|
|
Sistema Nacional de Información para el Desarrollo
Rural Sustentable |
200.0 |
||||
|
|
|
|
Asistencia técnica y capacitación (incluye 150 mdp
PESA + 240 mdp de Ampliación = 390 mdp) |
1,177.1 |
||||
|
|
|
|
Planeación y prospectiva |
45.0 |
||||
|
|
|
|
Promoción de exportaciones y ferias |
120.0 |
||||
|
|
|
|
Desarrollo de Mercados |
40.0 |
||||
|
|
|
|
Innovación, transferencia de tecnología e
información |
300.0 |
||||
|
|
|
|
Programa de inspección y vigilancia pesquera |
80.0 |
||||
|
|
|
|
Competitividad de ramas no estratégicas |
368.0 |
||||
|
|
|
|
Oleaginosas |
45.0 |
||||
|
|
|
|
Nuez |
15.0 |
||||
|
|
|
|
Cártamo |
10.0 |
||||
|
|
|
|
Palma de Aceite |
10.0 |
||||
|
|
|
|
Soya |
5.0 |
||||
|
|
|
|
Otros |
5.0 |
||||
|
|
|
|
Cultivos y Plantaciones Industriales |
44.0 |
||||
|
|
|
|
Cebada |
20.0 |
||||
|
|
|
|
Vainillas |
5.0 |
||||
|
|
|
|
Hule |
10.0 |
||||
|
|
|
|
Tabaco |
3.0 |
||||
|
|
|
|
Henequén |
3.0 |
||||
|
|
|
|
Otros |
3.0 |
||||
|
|
|
|
Frutas Tropicales |
133.0 |
||||
|
|
|
|
Mango |
18.0 |
||||
|
|
|
|
Coco |
10.0 |
||||
|
|
|
|
Cítricos |
50.0 |
||||
|
|
|
|
Plátano |
10.0 |
||||
|
|
|
|
Papaya |
15.0 |
||||
|
|
|
|
Melón |
9.0 |
||||
|
|
|
|
Piña |
8.0 |
||||
|
|
|
|
Guayaba |
8.0 |
||||
|
|
|
|
Otros |
5.0 |
||||
|
|
|
|
Frutas Templados |
33.0 |
||||
|
|
|
|
Durazno |
7.0 |
||||
|
|
|
|
Manzana |
10.0 |
||||
|
|
|
|
Aguacate |
10.0 |
||||
|
|
|
|
Fresa |
3.0 |
||||
|
|
|
|
Otros |
3.0 |
||||
|
|
|
|
Productos de Semidesierto |
55.0 |
||||
|
|
|
|
Nopal y Maguey |
5.0 |
||||
|
|
|
|
Agaves |
50.0 |
||||
|
|
|
|
Otros |
58.0 |
||||
|
|
|
|
Diversos |
50.0 |
||||
|
|
|
|
Ornamentales |
8.0 |
||||
|
Competitividad |
Ramo 40 INEG |
|
|
|
|
1,037.1 |
||
|
|
|
|
Censo General de Población y Vivienda 2010 |
964.3 |
||||
|
|
|
|
Censos Económicos |
72.8 |
||||
|
|
|
|
7. Programa de atención a contingencias
climatológicas |
900.0 |
||||
|
Competitividad |
Ramo 08 Agricultura, Ganadería, Desarrollo Rural,
Pesca y Alimentación |
900.0 |
||||||
|
|
|
|
Atención a Contingencias Climatológicas |
900.0 |
||||
|
|
|
|
8. Programas de fortalecimiento a la organización
rural |
848.4 |
||||
|
Competitividad |
Ramo 08 Agricultura, Ganadería, Desarrollo Rural,
Pesca y Alimentación |
570.8 |
||||||
|
|
|
|
Apoyo a organizaciones sociales |
400.0 |
||||
|
|
|
|
Sistemas Producto |
170.8 |
||||
|
Competitividad |
Ramo 15 Reforma Agraria |
178.1 |
||||||
|
|
|
|
Apoyo a organizaciones sociales |
178.1 |
||||
|
|
|
|
Junta de Pobladores |
0.0 |
||||
|
Competitividad |
Ramo 20 Desarrollo Social |
99.5 |
||||||
|
|
|
|
Coinversión Social Ramo 20 |
99.5 |
||||
|
|
|
|
9. Programas de educación |
30,896.3 |
||||
|
Educativa |
Ramo 08 Agricultura, Ganadería, Desarrollo Rural,
Pesca y Alimentación |
2,569.0 |
||||||
|
|
|
|
CSAEGRO |
|
|
|
|
56.6 |
|
|
|
|
Colegio de Postgraduados |
843.2 |
||||
|
|
|
|
Universidad Autónoma Chapingo |
1,669.2 |
||||
|
Educativa |
Ramo 11 Educación Pública |
28,327.3 |
||||||
|
|
|
|
Educación Agropecuaria |
4,850.2 |
||||
|
|
|
|
Programa Educativo Rural |
205.0 |
||||
|
|
|
|
Universidad Autónoma Agraria Antonio Narro |
682.3 |
||||
|
|
|
|
Oportunidades |
|
|
|
|
17,773.6 |
|
|
|
|
Desarrollo de Capacidades |
4,816.2 |
||||
|
|
|
|
10. Programa de uso sustentable de recursos naturales
para la producción primaria |
16,706.6 |
||||
|
Medio Ambiente |
Ramo 08 Agricultura, Ganadería, Desarrollo Rural,
Pesca y Alimentación |
9,182.1 |
||||||
|
|
|
|
Conservación y uso sustentable de suelo y agua
(incluye 150 mdp PESA + 90 mdp de ampliación = 240 mdp) |
2,070.9 |
||||
|
|
|
|
Programa Ganadero (PROGAN) |
3,950.0 |
||||
|
|
|
|
Recursos biogenéticos y biodiversidad |
150.0 |
||||
|
|
|
|
Bioenergía y fuentes alternativas |
1,100.0 |
||||
|
|
|
|
Pesca |
|
|
|
|
61.2 |
|
|
|
|
Reconversión productiva |
600.0 |
||||
|
|
|
|
Tecnificación de riego |
1,250.0 |
||||
|
Medio Ambiente |
Ramo 16 Medio Ambiente y Recursos Naturales |
7,524.5 |
||||||
|
|
|
|
Protección al medio ambiente en el medio rural |
2,190.0 |
||||
|
|
|
|
Áreas Naturales Protegidas |
721.2 |
||||
|
|
|
|
PROFEPA |
186.8 |
||||
|
|
|
|
Vida Silvestre |
115.1 |
||||
|
|
|
|
Desarrollo Regional Sustentable |
160.0 |
||||
|
|
|
|
PET (Incendios Forestales) |
380.0 |
||||
|
|
|
|
Otros de Medio Ambiente |
626.9 |
||||
|
|
|
|
Forestal (Incluye Proárbol con 270 mdp para Macizo
Boscoso) |
5,334.5 |
||||
|
|
|
|
11. Programa de mejoramiento de condiciones laborales
en el medio rural |
2,485.5 |
||||
|
Laboral |
Ramo 04 Gobernación |
300.0 |
||||||
|
|
|
|
Fondo para Pago de Adeudos a Braceros Rurales del 42
al 64 |
300.0 |
||||
|
Laboral |
Ramo 09 Comunicaciones y Transportes |
1,700.0 |
||||||
|
|
|
|
PET |
1,700.0 |
||||
|
Laboral |
Ramo 14 Trabajo y Previsión Social |
157.7 |
||||||
|
|
|
|
Trabajadores Agrícolas Temporales |
157.7 |
||||
|
Laboral |
Ramo 20 Desarrollo Social |
327.8 |
||||||
|
|
|
|
PET |
|
|
|
|
327.8 |
|
|
|
|
12. Programa de atención a la pobreza en el medio
rural |
55,914.8 |
||||
|
Social |
Ramo 05 Relaciones Exteriores |
75.0 |
||||||
|
|
|
|
Atención a migrantes |
75.0 |
||||
|
Social |
Ramo 06 Hacienda y Crédito Público |
7,815.7 |
||||||
|
|
|
|
Atención a Indígenas (CDI) |
7,815.7 |
||||
|
Social |
Ramo 20 Desarrollo Social |
48,024.1 |
||||||
|
|
|
|
Atención a la población |
48,024.1 |
||||
|
|
|
|
Programa 70 y más |
11,551.1 |
||||
|
|
|
|
Programa para el Desarrollo de Zonas
Prioritarias |
1,446.7 |
||||
|
|
|
|
Jornaleros Agrícolas |
173.7 |
||||
|
|
|
|
Vivienda Rural (Incluye "tu casa"
-rural-) |
958.2 |
||||
|
|
|
|
Programa de Apoyo Alimentario |
3,224.3 |
||||
|
|
|
|
Programa de Abasto Rural a cargo de Diconsa S. A. de
C. V |
1,806.5 |
||||
|
|
|
|
Reserva Estrategica de Alimentos |
0.0 |
||||
|
|
|
|
Programa de Desarrollo Humano Oportunidades |
28,863.6 |
||||
|
|
|
|
13. Programa de infraestructura en el medio
rural |
62,026.4 |
||||
|
Infraestructura |
Ramo 09 Comunicaciones y Transportes |
17,598.8 |
||||||
|
|
|
|
Infraestructura |
17,598.8 |
||||
|
|
|
|
Caminos Rurales |
17,598.8 |
||||
|
Infraestructura |
Ramo 16 Medio Ambiente y Recursos Naturales |
13,567.2 |
||||||
|
|
|
|
Infraestructura Hidroagrícola |
7,369.6 |
||||
|
|
|
|
IMTA |
|
|
|
|
236.9 |
|
|
|
|
Programas Hidráulicos |
5,960.7 |
||||
|
Infraestructura |
Ramo 23 Provisiones Salariales y Económicas |
420.0 |
||||||
|
|
|
|
Fondo de apoyo para el desarrollo rural
sustentable |
420.0 |
||||
|
Infraestructura |
Ramo 33 Aportaciones Federales para Entidades
Federativas y Municipios |
30,440.4 |
||||||
|
|
|
|
14. Programa de atención a las condiciones de salud
en el medio rural |
27,387.3 |
||||
|
Salud |
Ramo 12 Salud |
|
|
|
|
19,787.3 |
||
|
|
|
|
Salud en población rural |
19,787.3 |
||||
|
|
|
|
Programa de Desarrollo Humano Oportunidades |
3,570.0 |
||||
|
|
|
|
Desarrollo de Capacidades |
316.3 |
||||
|
|
|
|
Sistema de Protección Social en Salud (SPSS) |
15,901.0 |
||||
|
Salud |
Ramo 19 Aportaciones a Seguridad Social |
7,600.0 |
||||||
|
|
|
|
IMSS-Oportunidades |
7,300.0 |
||||
|
|
|
|
Seguridad Social Jornaleros Cañeros |
0.0 |
||||
|
|
|
|
Seguridad Social Cañeros |
300.0 |
||||
|
|
|
|
15. Programa para la atención de aspectos
agrarios |
1,341.3 |
||||
|
Agraria |
Ramo 15 Reforma Agraria |
1,341.3 |
||||||
|
|
|
|
Atención de aspectos agrarios |
1,341.3 |
||||
|
|
|
|
Conflictos Agrarios y Obligaciones Jurídicas |
1,085.0 |
||||
|
|
|
|
Fondo de Apoyo para los Núcleos Agrarios sin
Regularizar (FANAR) |
17.0 |
||||
|
|
|
|
Archivo General Agrario |
239.3 |
||||
|
|
|
|
16. Gasto administrativo |
10,235.1 |
||||
|
Administrativa |
Ramo 08 Agricultura, Ganadería, Desarrollo Rural,
Pesca y Alimentación |
7,683.1 |
||||||
|
|
|
|
Dependencia |
|
|
|
|
3,998.8 |
|
|
|
|
CONAZA |
|
|
|
|
50.3 |
|
|
|
|
FEESA |
|
|
|
|
9.5 |
|
|
|
|
FIRCO |
|
|
|
|
262.4 |
|
|
|
|
INIFAP |
|
|
|
|
1,132.1 |
|
|
|
|
INCA RURAL |
|
|
|
|
34.7 |
|
|
|
|
SENASICA (incluye obra pública de
inspección) |
629.3 |
||||
|
|
|
|
SIAP |
|
|
|
|
113.8 |
|
|
|
|
SNICS |
|
|
|
|
12.5 |
|
|
|
|
ASERCA |
|
|
|
|
326.5 |
|
|
|
|
INPESCA |
|
|
|
|
237.6 |
|
|
|
|
CONAPESCA |
|
|
|
|
867.3 |
|
|
|
|
Comité Nacional para el Desarrollo
Sustentable de |
8.3 |
||||
|
Administrativa |
Ramo 15 Reforma Agraria |
1,776.9 |
||||||
|
|
|
|
Dependencia |
|
|
|
|
568.5 |
|
|
|
|
Procuraduría Agraria |
727.0 |
||||
|
|
|
|
Registro Agrario Nacional |
481.4 |
||||
|
Administrativa |
Ramo 31 Tribunales Agrarios |
775.1 |
||||||
|
|
|
|
|
|
|
|
|
|
|
Las sumas parciales pueden no coincidir con los
subtotales debido a que estos incluyen ampliaciones. |
||||||||
|
ANEXO 9. PROGRAMA DE CIENCIA, TECNOLOGÍA E INNOVACIÓN
(pesos) |
||||||||
|
|
|
|
|
|
|
|
|
|
|
Erogaciones de las dependencias y entidades
destinadas al Programa de Ciencia, Tecnología e Innovación |
44,407,970,779.0 |
|||||||
|
ANEXO 10. EROGACIONES PARA |
||||||||
|
|
|
|
|
|
|
|
|
|
|
Ramo |
Programa
Presupuestario |
Monto |
||||||
|
TOTAL |
|
|
|
|
|
|
|
10,920.7 |
|
03 Poder Judicial |
|
|
|
|
|
|
68.0 |
|
|
|
|
Otras Actividades |
68.0 |
|||||
|
04 Gobernación |
|
|
|
|
|
|
|
135.7 |
|
|
|
Promover |
|
|||||
|
|
|
Operación del Sistema Nacional de
Protección Civil |
5.0 |
|||||
|
|
|
Divulgación de las acciones en
materia de derechos humanos |
2.0 |
|||||
|
|
|
Conducción de la política de
comunicación social |
5.0 |
|||||
|
05 Relaciones Exteriores |
|
|
|
|
|
|
5.0 |
|
|
|
|
Protección y asistencia consular |
5.0 |
|||||
|
06 Hacienda y Crédito Público |
|
|
|
|
|
|
2,164.0 |
|
|
|
|
Acciones para Igualdad de Género con
Población Indígena |
51.8 |
|||||
|
|
|
Fortalecimiento de capacidades
indígenas |
25.0 |
|||||
|
|
|
Actividades de apoyo
administrativo |
25.7 |
|||||
|
|
|
Actividades de apoyo a la función
pública y buen gobierno |
7.3 |
|||||
|
|
|
Promoción y coordinación de las
acciones para la equidad de género |
361.6 |
|||||
|
|
|
Fortalecimiento a la transversalidad
de la perspectiva de género |
200.0 |
|||||
|
|
|
Programa de esquema de financiamiento
y subsidio federal para vivienda |
1,237.5 |
|||||
|
|
|
Programa Organización Productiva para
Mujeres Indígenas (POPMI) |
255.0 |
|||||
|
07 Defensa Nacional |
|
|
|
|
|
|
100.0 |
|
|
|
|
Capacitación y sensibilización para
efectivos en perspectiva de género |
100.0 |
|||||
|
08 Agricultura, Ganadería, Desarrollo
Rural, Pesca y Alimentación |
3.0 |
|||||||
|
|
|
Registro, Control y Seguimiento de
los Programas Presupuestarios |
3.0 |
|||||
|
10 Economía |
|
|
|
|
|
|
|
518.1 |
|
|
|
Fondo de Microfinanciamiento a
Mujeres Rurales (FOMMUR) |
198.4 |
|||||
|
|
|
Fondo Nacional de Apoyos para
Empresas en Solidaridad (FONAES) |
174.7 |
|||||
|
|
|
Programa Nacional de Financiamiento
al Microempresario (PRONAFIM) |
145.0 |
|||||
|
11 Educación |
|
|
|
|
|
|
|
267.3 |
|
|
|
Diseño y aplicación de políticas de
equidad de género |
63.8 |
|||||
|
|
|
Diseño y aplicación de la política
educativa |
35.0 |
|||||
|
|
|
Programa Fondo de Modernización para |
14.5 |
|||||
|
|
|
Programa Becas de apoyo a |
|
|||||
|
|
|
Programa de Educación Básica para
Niños y Niñas de Familias Jornaleras Agrícolas Migrantes |
|
|||||
|
|
|
Programa del Sistema Nacional de
Formación Continua y Superación Profesional de Maestros de Educación Básica
en Servicio |
|
|||||
|
12 Salud |
|
|
|
|
|
|
|
2,635.7 |
|
|
|
Formación de recursos humanos
especializados para la salud (Hospitales) |
12.2 |
|||||
|
|
|
Investigación y desarrollo
tecnológico en salud |
63.7 |
|||||
|
|
|
Prestación de servicios en los
diferentes niveles de atención a la salud |
542.2 |
|||||
|
|
|
Prevención y atención contra las
adicciones |
20.0 |
|||||
|
|
|
Calidad en Salud e Innovación |
11.5 |
|||||
|
|
|
Promoción de la salud, prevención y
control de enfermedades crónico degenerativas |
|
|||||
|
|
|
Prevención y atención de VIH/SIDA y
otras ITS |
56.6 |
|||||
|
|
|
Atención a |
692.4 |
|||||
|
|
|
Reducción de |
259.5 |
|||||
|
|
|
Prevención contra la obesidad |
162.4 |
|||||
|
|
|
Programas de Atención a Familias y
Población Vulnerable |
382.0 |
|||||
|
|
|
Programa de estancias infantiles para
apoyar a madres trabajadoras |
124.3 |
|||||
|
|
|
Programa para prevención y atención
del cancer cérvico-uterino |
300.0 |
|||||
|
14 Trabajo y Previsión Social |
|
|
|
|
|
|
39.2 |
|
|
|
|
Procuración de Justicia Laboral |
20.6 |
|||||
|
|
|
Fomento de la equidad de género y la no
discriminación en el mercado laboral |
|
|||||
|
15 Reforma Agraria |
|
|
|
|
|
|
785.0 |
|
|
|
|
Implementación de políticas enfocadas
al medio agrario |
5.0 |
|||||
|
|
|
Programa de |
780.0 |
|||||
|
16 Medio Ambiente y Recursos Naturales |
|
|
|
|
|
147.7 |
||
|
|
|
Definición de la normatividad para la
política ambiental e identificación y diseño de instrumentos de fomento en
apoyo al desarrollo sustentable |
|
|||||
|
|
|
Programa de Conservación para el
Desarrollo Sostenible (PROCODES) |
52.0 |
|||||
|
|
|
Programa de Empleo Temporal
(PET) |
86.3 |
|||||
|
17 Procuraduría General de la
República |
|
|
|
|
|
113.7 |
||
|
|
|
Combate a delitos del fuero
federal |
88.8 |
|||||
|
|
|
Combate a la delincuencia
organizada |
10.0 |
|||||
|
|
|
Promoción del respeto a los derechos
humanos |
14.9 |
|||||
|
19 Aportaciones a Seguridad Social |
|
|
|
|
|
1.8 |
||
|
|
|
Apoyo Económico a Viudas de Veteranos
de |
1.8 |
|||||
|
20 Desarrollo Social |
|
|
|
|
|
|
3,827.2 |
|
|
|
|
Programa Hábitat |
212.8 |
|||||
|
|
|
Programa de Ahorro y Subsidio para |
647.9 |
|||||
|
|
|
Programa de Coinversión Social |
62.9 |
|||||
|
|
|
Programa de Vivienda Rural |
17.3 |
|||||
|
|
|
Programa de Apoyo a las Instancias de
Mujeres en las Entidades Federativas, para Implementar y Ejecutar Programas
de Prevención de |
|
|||||
|
|
|
Programa de estancias infantiles para
apoyar a madres trabajadoras |
2,643.1 |
|||||
|
|
|
Rescate de espacios públicos |
46.3 |
|||||
|
21 Turismo |
|
|
|
|
|
|
|
7.3 |
|
|
|
Establecer y conducir la política de
turismo |
7.3 |
|||||
|
22 Instituto Federal Electoral |
|
|
|
|
|
|
5.5 |
|
|
|
|
Capacitar y educar para el ejercicio
democrático de la ciudadanía |
5.5 |
|||||
|
35 Comisión Nacional de los Derechos
Humanos |
|
|
|
|
|
17.2 |
||
|
|
|
Atender asuntos de la mujer, la niñez
y la familia |
4.2 |
|||||
|
|
|
Promover, divulgar, dar seguimiento,
evaluar y monitorear la política nacional en materia de igualdad entre
mujeres y hombres |
|
|||||
|
36 Seguridad Pública |
|
|
|
|
|
|
25.3 |
|
|
|
|
Fomento de la cultura de la
participación ciudadana en la prevención del delito en el marco de |
|
|||||
|
38 CONACYT |
|
|
|
|
|
|
|
20.0 |
|
|
|
Apoyos institucionales para
actividades científicas, tecnológicas y de innovación |
|
|||||
|
40 INEG |
|
|
|
|
|
|
|
34.1 |
|
|
|
Producción y difusión de información
estadística y geográfica de interés nacional |
|
|||||
|
GYR IMSS 1/ |
|
|
|
|
|
|
|
8,809.4 |
|
|
|
Servicios de guardería |
8,270.5 |
|||||
|
|
|
Atención a la salud
reproductiva |
538.9 |
|||||
|
GYN ISSSTE 1/ |
|
|
|
|
|
|
|
205.1 |
|
|
|
Control del Estado de Salud de |
197.0 |
|||||
|
|
|
Equidad de Género |
8.1 |
|||||
|
|
|
|
|
|
|
|
|
|
|
1/
El presupuesto no suma en el total por ser recursos propios. |
|
|
|
|
|
|||
|
ANEXO
11. COSTO FINANCIERO DE |
||||||||
|
|
|
|
|
|
|
|
|
|
|
TOTAL |
295,876,574,699 |
|||||||
|
Costo
financiero de la deuda del Gobierno Federal incluido en el Ramo General 24
Deuda Pública |
232,910,980,862 |
|||||||
|
Costo
financiero de la deuda de las entidades incluidas en el Anexo 1.D de este
Decreto |
49,203,146,477 |
|||||||
|
Erogaciones
incluidas en el Ramo General 29 Erogaciones para las Operaciones y Programas
de Saneamiento Financiero |
|
|||||||
|
Erogaciones
incluidas en el Ramo General 34 Erogaciones para los Programas de Apoyo a
Ahorradores y Deudores de la Banca |
|
|||||||
|
Obligaciones
incurridas a través de los programas de apoyo a deudores |
2,434,947,360 |
|||||||
|
Obligaciones
surgidas de los programas de apoyo a ahorradores |
11,327,500,000 |
|||||||
|
ANEXO
12. PROGRAMAS DEL RAMO 23 PROVISIONES SALARIALES Y ECONÓMICAS (pesos) |
||||||||
|
|
|
|
|
|
|
|
|
|
|
|
|
|
|
|
|
|
|
Monto |
|
Programa
Salarial |
|
|
26,330,113,278 |
|||||
|
Provisiones
Económicas |
|
|
902,000,000 |
|||||
|
Fondo de
Desastres Naturales (FONDEN) |
|
|
150,000,000 |
|||||
|
Fondo para |
|
|
300,000,000 |
|||||
|
Comisiones y
pago a CECOBAN |
|
|
452,000,000 |
|||||
|
Otras
Provisiones Económicas |
|
|
32,290,030,000 |
|||||
|
Programas
Regionales |
|
|
550,000,000 |
|||||
|
Fondo de
Apoyo para el Desarrollo Rural Sustentable |
|
|
420,000,000 |
|||||
|
Fondo
Regional |
|
|
5,500,000,000 |
|||||
|
|
|
Chiapas,
Guerrero y Oaxaca |
|
|
2,750,000,000 |
|||
|
|
|
7 Estados
restantes |
|
|
2,750,000,000 |
|||
|
Fondo de
Modernización de los Municipios |
|
|
500,000,000 |
|||||
|
Fondo de
Pavimentación a Municipios |
|
|
2,085,030,000 |
|||||
|
Fondo de
Inversión para Entidades Federativas |
|
|
13,500,000,000 |
|||||
|
Fondos
Metropolitanos: |
|
|
7,455,000,000 |
|||||
|
|
|
Zona
Metropolitana del Valle de México |
3,195,228,779 |
|||||
|
|
|
Zona
Metropolitana de |
919,839,183 |
|||||
|
|
|
Zona
Metropolitana de |
775,231,066 |
|||||
|
|
|
Zona
Metropolitana de |
342,920,126 |
|||||
|
|
|
Zona
Metropolitana de Puebla-Tlaxcala |
315,623,081 |
|||||
|
|
|
Zona
Metropolitana de |
169,150,530 |
|||||
|
|
|
Zona
Metropolitana de la Laguna |
391,178,122 |
|||||
|
|
|
Zona
Metropolitana de |
66,805,061 |
|||||
|
|
|
Zona
Metropolitana de |
95,860,989 |
|||||
|
|
|
Zona
Metropolitana de |
95,860,989 |
|||||
|
|
|
Zona
Metropolitana de |
67,777,521 |
|||||
|
|
|
Zona
Metropolitana de |
56,157,114 |
|||||
|
|
|
Zona
Metropolitana de |
86,157,114 |
|||||
|
|
|
Zona
Metropolitana de |
56,157,114 |
|||||
|
|
|
Zona Metropolitana
de Veracruz |
49,379,362 |
|||||
|
|
|
Zona
Metropolitana de |
44,536,707 |
|||||
|
|
|
Zona
Metropolitana de Juárez |
41,953,663 |
|||||
|
|
|
Zona
Metropolitana de Saltillo |
49,379,362 |
|||||
|
|
|
Zona
Metropolitana de Colima-Villa de Álvarez |
31,953,663 |
|||||
|
|
|
Zona
Metropolitana de Pachuca |
60,999,769 |
|||||
|
|
|
Zona
Metropolitana de Tula |
49,379,362 |
|||||
|
|
|
Zona
Metropolitana de Puerto Vallarta |
49,379,362 |
|||||
|
|
|
Zona
Metropolitana de Tepic |
31,953,663 |
|||||
|
|
|
Zona
Metropolitana de San Luis Potosí-Soledad de G.S. |
31,953,663 |
|||||
|
|
|
Zona
Metropolitana de Tampico |
40,666,512 |
|||||
|
|
|
Zona
Metropolitana de Reynosa-Río Bravo |
31,953,663 |
|||||
|
|
|
Zona
Metropolitana de Tlaxcala-Apizaco |
18,398,159 |
|||||
|
|
|
Zona
Metropolitana de Xalapa |
31,953,663 |
|||||
|
|
|
Zona
Metropolitana de Toluca |
111,351,590 |
|||||
|
|
|
Zona
Metropolitana de Hermosillo |
51,953,683 |
|||||
|
|
|
Zona
Metropolitana de Chihuahua |
41,953,683 |
|||||
|
|
|
Zona
Metropolitana de Mexicali |
51,953,683 |
|||||
|
Apoyo Presa
Francisco J. Múgica |
|
|
300,000,000 |
|||||
|
Programa de
Fiscalización Gasto Federalizado (PROFIS) |
|
|
330,000,000 |
|||||
|
Fondo de
Apoyo a Migrantes |
|
|
100,000,000 |
|||||
|
Seguridad y
Logística |
|
|
950,000,000 |
|||||
|
Presupuesto
Basado en Resultados-Sistema de Evaluación del Desempeño |
|
|
600,000,000 |
|||||
|
Gastos
Asociados a Ingresos Petroleros |
|
|
6,300,600,000 |
|||||
|
TOTAL |
|
|
65,822,743,278 |
|||||
|
ANEXO
13. RAMO 25 PREVISIONES Y APORTACIONES PARA LOS SISTEMAS DE EDUCACIÓN BÁSICA,
NORMAL, TECNOLÓGICA Y DE ADULTOS (pesos) |
||||||||
|
|
|
|
|
|
|
|
|
|
|
|
|
|
|
|
|
|
|
Monto |
|
Previsiones
para servicios personales para los servicios de educación básica en el
Distrito Federal, para el Fondo de Aportaciones para |
12,001,614,400 |
|||||||
|
Aportaciones
para los servicios de educación básica y normal en el Distrito Federal |
31,842,444,403 |
|||||||
|
TOTAL |
|
|
43,844,058,803 |
|||||
|
ANEXO 14.
RAMO 33 APORTACIONES FEDERALES PARA ENTIDADES FEDERATIVAS Y MUNICIPIOS
(pesos) |
||||||||
|
|
|
|
|
|
|
|
|
|
|
|
|
|
|
|
|
|
|
Monto |
|
Fondo de
Aportaciones para |
234,357,706,491 |
|||||||
|
Fondo de
Aportaciones para los Servicios de Salud |
53,100,077,838 |
|||||||
|
Fondo de
Aportaciones para |
41,386,542,500 |
|||||||
|
Estatal |
5,016,048,951 |
|||||||
|
Municipal |
36,370,493,549 |
|||||||
|
Fondo de Aportaciones para el Fortalecimiento de los Municipios y de
las Demarcaciones Territoriales del Distrito Federal |
42,417,895,139 |
|||||||
|
Fondo de
Aportaciones Múltiples, que se distribuye para erogaciones de: |
13,475,458,238 |
|||||||
|
Asistencia
Social |
6,146,227,311 |
|||||||
|
Infraestructura
Educativa |
7,329,230,927 |
|||||||
|
Fondo de
Aportaciones para |
4,477,099,998 |
|||||||
|
Educación
Tecnológica |
2,662,608,819 |
|||||||
|
Educación de
Adultos |
1,814,491,179 |
|||||||
|
Fondo de
Aportaciones para |
6,916,800,000 |
|||||||
|
Fondo
de Aportaciones para el Fortalecimiento de las Entidades Federativas |
23,176,463,800 |
|||||||
|
TOTAL |
419,308,044,004 |
|||||||
|
ANEXO 15.
PREVISIONES SALARIALES Y ECONÓMICAS DE LOS RAMOS 25 Y 33 (pesos) |
|||||||||||||
|
|
|
|
|
|
|
|
|
|
|||||
|
|
Incremento a las percepciones |
Creación de plazas |
Otras medidas de carácter económico,
laboral y contingente |
Total |
|||||||||
|
25 |
Previsiones
y Aportaciones para los Sistemas de Educación Básica, Normal, Tecnológica y
de Adultos |
7,189,066,800 |
750,000,000 |
4,062,547,600 |
12,001,614,400 |
||||||||
|
|
Ramo |
700,645,000 |
0 |
713,705,900 |
1,414,350,900 |
||||||||
|
|
Fondo de
Aportaciones para |
6,348,729,200 |
750,000,000 |
3,316,813,500 |
10,415,542,700 |
||||||||
|
|
Fondo de
Aportaciones para |
139,692,600 |
0 |
32,028,200 |
171,720,800 |
||||||||
|
33 |
Aportaciones
Federales para Entidades Federativas y Municipios |
1,166,672,500 |
0 |
107,805,338 |
1,274,477,838 |
||||||||
|
|
Fondo de
Aportaciones para los Servicios de Salud |
1,166,672,500 |
0 |
107,805,338 |
1,274,477,838 |
||||||||
|
|
|
|
|
|
|
|
|
|
|||||
|
La creación
de plazas prevista en este anexo se sujetará a lo establecido en |
|||||||||||||
|
ANEXO 16. REMUNERACIONES DE LOS SERVIDORES PÚBLICOS DE
LA FEDERACIÓN |
|||||||||
|
|
|
|
|
|
|
|
|
|
|
|
ANEXO 16.1. ADMINISTRACIÓN PÚBLICA FEDERAL |
|
|
|
|
|
||||
|
|
|
|
|
|
|
|
|
|
|
|
ANEXO 16.1.1. LÍMITES DE PERCEPCIÓN
ORDINARIA TOTAL EN |
|||||||||
|
|
|
|
|
|
|
|
|
|
|
|
Tipos de personal |
Sueldos y salarios |
Prestaciones |
Percepción ordinaria
total 1/ |
||||||
|
(En efectivo y en
especie) |
|||||||||
|
Mínimo |
Máximo |
Mínimo |
Máximo |
Mínimo |
Máximo |
||||
|
Personal de Mando: |
|||||||||
|
Presidente de la República |
|
152,305 |
|
51,594 |
|
203,899 |
|||
|
Secretaría de Estado |
|
149,820 |
|
51,021 |
|
200,841 |
|||
|
Subsecretaría de Estado |
107,314 |
149,569 |
37,973 |
51,020 |
145,287 |
200,589 |
|||
|
Oficialía Mayor |
107,314 |
145,838 |
37,973 |
49,875 |
145,287 |
195,713 |
|||
|
Jefatura de Unidad |
88,657 |
145,444 |
32,305 |
49,780 |
120,962 |
195,224 |
|||
|
Dirección General y Coordinación General |
74,514 |
140,753 |
27,964 |
48,359 |
102,478 |
189,112 |
|||
|
Dirección General Adjunta |
55,567 |
113,943 |
21,748 |
40,031 |
77,315 |
153,974 |
|||
|
Dirección de Área |
32,824 |
85,703 |
13,180 |
31,298 |
46,004 |
117,001 |
|||
|
Subdirección de Área |
17,097 |
36,621 |
8,184 |
14,340 |
25,281 |
50,961 |
|||
|
Jefatura de Departamento |
12,570 |
23,620 |
6,641 |
10,100 |
19,211 |
33,720 |
|||
|
Personal de enlace |
7,035 |
14,917 |
4,798 |
7,112 |
11,833 |
22,029 |
|||
|
Personal operativo |
3,938 |
7,111 |
4,240 |
5,124 |
8,178 |
12,235 |
|||
|
Personal de Categorías: |
|||||||||
|
Servicio Exterior Mexicano |
7,035 |
74,514 |
4,798 |
27,964 |
11,833 |
102,478 |
|||
|
Educación |
419 |
43,854 |
810 |
38,878 |
1,229 |
82,732 |
|||
|
Rama Médica, Paramédica y Grupos Afines |
5,834 |
34,589 |
6,007 |
18,151 |
11,841 |
52,740 |
|||
|
Investigación Científica y Desarrollo Tecnológico |
5,524 |
22,012 |
8,359 |
28,735 |
13,883 |
50,747 |
|||
|
Seguridad Pública |
6,583 |
23,238 |
5,181 |
49,102 |
11,764 |
72,340 |
|||
|
Procuración de Justicia |
9,694 |
76,815 |
4,013 |
7,883 |
13,707 |
84,698 |
|||
|
Gobierno |
11,359 |
15,077 |
5,605 |
7,313 |
16,964 |
22,390 |
|||
|
Fuerzas Armadas |
4,876 |
141,991 |
3,596 |
41,671 |
8,472 |
183,662 |
|||
|
|
|
|
|
|
|
|
|
|
|
|
1/ Incluye los importes que se cubren
una o dos veces al año, divididos entre doce, por concepto de: aguinaldo,
gratificación de fin de año y prima vacacional. La remuneración neta
corresponde a la cantidad que perciben los servidores públicos de |
|||||||||
|
Estos montos no incluyen la
potenciación del seguro de vida institucional y el pago extraordinario por
riesgo que solamente se otorga a los servidores públicos cuyo desempeño pone
en riesgo la seguridad o salud de los mismos. |
|||||||||
|
ANEXO
16.1.2. LÍMITES DE PERCEPCIÓN EXTRAORDINARIA TOTAL EN |
||||||||||||
|
|
|
|
|
|
|
|
|
|
||||
|
Personal
que recibe potenciación del seguro de vida institucional y pago
extraordinario por riesgo |
||||||||||||
|
|
|
|
|
|
|
|
|
|
||||
|
Denominación |
|
Importe mensual total unitario |
||||||||||
|
Plazas |
Mínimo |
Máximo |
||||||||||
|
TOTAL |
|
|
|
|
|
871 |
|
|
||||
|
Personal
civil |
|
|
|
|
394 |
|
|
|||||
|
|
Presidente
de la República |
1 |
41,884 */ |
|||||||||
|
|
Secretario
de Estado |
9 |
11,260 |
41,201 |
||||||||
|
|
Subsecretario
de Estado u homólogo |
29 |
8,049 |
41,131 |
||||||||
|
|
Oficial
Mayor u homólogo |
11 |
8,049 |
40,105 |
||||||||
|
|
Jefe de
Unidad u homólogo |
57 |
6,649 |
39,997 |
||||||||
|
|
Director
General u homólogo |
119 |
5,589 |
38,707 |
||||||||
|
|
Director
General Adjunto u homólogo |
58 |
4,167 |
31,335 |
||||||||
|
|
Director de
Área u homólogo |
34 |
2,462 |
23,569 |
||||||||
|
|
Subdirector
de Área u homólogo |
71 |
1,282 |
10,071 |
||||||||
|
|
Jefe de
Departamento u homólogo |
5 |
942 |
6,496 |
||||||||
|
Personal
militar |
|
|
|
|
477 |
942 |
41,201 |
|||||
|
|
|
|
|
|
|
|
|
|
||||
|
*/
Corresponde a la potenciación del seguro vida institucional y al pago
extraordinario por riesgo, el cual equivale al 25% de la percepción ordinaria
mensual, por concepto de sueldos y salarios, en los términos del artículo 22,
fracción II, inciso b), de este Decreto, conforme al cual el límite máximo es
el equivalente al 30 por ciento de la referida percepción. |
||||||||||||
|
ANEXO 16.1.3. REMUNERACIÓN TOTAL ANUAL DEL PRESIDENTE
DE |
||||||||
|
|
|
|
|
|
|
|
|
|
|
|
Remuneración |
|||||||
|
recibida |
||||||||
|
REMUNERACIÓN TOTAL ANUAL NETA (RTA) |
|
|
|
|
|
2,949,392 |
||
|
Impuesto sobre la renta retenido (28%) */ |
|
|
|
|
|
1,063,710 |
||
|
Percepción bruta anual |
|
|
|
|
|
|
|
4,013,103 |
|
I. Percepciones ordinarias: |
|
|
|
|
|
3,324,819 |
||
|
a) Sueldos y salarios: |
|
|
|
|
|
2,502,851 |
||
|
i) Sueldo base |
|
|
|
|
|
|
489,192 |
|
|
ii) Compensación garantizada |
|
|
|
|
|
2,013,659 |
||
|
b) Prestaciones: |
|
|
|
|
|
|
821,968 |
|
|
i) Aportaciones a seguridad social |
|
|
|
|
|
43,880 |
||
|
ii) Ahorro solidario (Artículo 100 de |
|
|
|
12,823 |
||||
|
iii) Prima vacacional |
|
|
|
|
|
13,589 |
||
|
iv) Aguinaldo (sueldo base) |
|
|
|
|
|
54,355 |
||
|
v) Gratificación de fin de año (compensación
garantizada) |
|
|
|
306,397 |
||||
|
vi) Prima quinquenal (antigüedad) |
|
|
|
|
|
N/A |
||
|
vii) Ayuda para despensa 2/ |
|
|
|
|
|
0 |
||
|
viii) Seguro de vida institucional |
|
|
|
|
|
34,790 |
||
|
ix) Seguro colectivo de retiro 2/ |
|
|
|
|
|
0 |
||
|
x) Seguro de gastos médicos mayores |
|
|
|
|
13,386 |
|||
|
xi) Seguro de separación individualizado |
|
|
|
|
342,749 |
|||
|
xii) Apoyo económico para adquisición de vehículo 3/ |
|
|
|
0 |
||||
|
II. Percepciones extraordinarias: |
|
|
|
|
|
688,284 |
||
|
a) Potenciación del seguro de vida institucional y pago
extraordinario por riesgo 4/ |
|
688,284 |
||||||
|
|
|
|
|
|
|
|
|
|
|
*/ Cálculo obtenido conforme a lo
dispuesto en el artículo 113 de |
||||||||
|
1/ Conforme a la nueva Ley del ISSSTE
se incluye esta prestación a partir de 2010. |
||||||||
|
2/ El Presidente de |
||||||||
|
3/ El Presidente de |
||||||||
|
4/ Corresponde a la potenciación del
seguro vida institucional y al pago extraordinario por riesgo, el cual
equivale al 25% de la percepción ordinaria mensual, por concepto de sueldos y
salarios, en los términos del artículo 22, fracción II, inciso b), de este
Decreto, conforme al cual el límite máximo es el equivalente al 30 por ciento
de la referida percepción. |
||||||||
|
ANEXO 16.2. CÁMARA DE SENADORES |
|
|
|
|
|
|
|||||
|
|
|
|
|
|
|
|
|
|
|||
|
ANEXO 16.2.1. LÍMITES DE |
|||||||||||
|
|
|
|
|
|
|
|
|
|
|||
|
Tipos de personal |
Sueldos y salarios |
Prestaciones |
Percepción ordinaria
total 1/ |
||||||||
|
(En efectivo y en
especie) |
|||||||||||
|
Mínimo |
Máximo |
Mínimo |
Máximo |
Mínimo |
Máximo |
||||||
|
Personal
de mando: |
|||||||||||
|
Secretario General |
|
125,835 |
|
53,333 |
|
179,169 |
|||||
|
Coordinador / Contralor / Tesorero / Secretario/
Técnico Organo de Gobierno |
104,136 |
124,161 |
45,119 |
52,688 |
149,255 |
176,849 |
|||||
|
Director General |
81,588 |
98,098 |
36,569 |
42,790 |
118,157 |
140,888 |
|||||
|
Jefe de Unidad |
66,102 |
74,251 |
30,529 |
33,582 |
96,631 |
107,833 |
|||||
|
Director de Área |
42,421 |
64,784 |
21,460 |
29,799 |
63,881 |
94,583 |
|||||
|
Subdirector de Área |
30,446 |
41,430 |
16,309 |
20,308 |
46,756 |
61,738 |
|||||
|
Jefe de Departamento |
21,161 |
29,086 |
12,328 |
15,413 |
33,488 |
44,498 |
|||||
|
Personal operativo de confianza |
15,851 |
17,628 |
7,500 |
7,961 |
23,352 |
25,589 |
|||||
|
Personal operativo de base |
4,752 |
6,175 |
16,211 |
16,668 |
20,963 |
22,843 |
|||||
|
|
|
|
|
|
|
|
|
|
|||
|
Refleja los límites mínimos y máximos
de percepciones ordinarias netas mensuales aplicables a los servidores
públicos durante 2009, en función del puesto que ocupen. |
|||||||||||
|
1/ Incluyen los importes que se
cubren una o dos veces al año, divididos entre doce, por concepto de:
aguinaldo, gratificación de fin de año y prima vacacional. La remuneración
neta corresponde a la cantidad que perciben los servidores públicos de |
|||||||||||
|
ANEXO
16.2.2. LÍMITES DE PAGO POR RIESGOS EXTRAORDINARIOS ANUALES NETOS (pesos) |
||||||||||
|
|
|
|
|
|
|
|
|
|
||
|
Denominación |
Plazas |
Pago extraordinario anual unitario 1/ |
||||||||
|
Mínimo |
Máximo |
|||||||||
|
Total
Puestos |
|
|
|
|
|
324 |
|
|
||
|
|
Secretario
General |
|
|
|
2 |
|
199,197 |
|||
|
|
Coordinador
/ Contralor / Tesorero |
|
|
10 |
163,956 |
196,280 |
||||
|
|
Director
General |
|
|
|
|
19 |
127,425 |
154,242 |
||
|
|
Jefe de
Unidad |
|
|
|
|
17 |
102,145 |
115,502 |
||
|
|
Director de
Área |
|
|
|
|
68 |
63,860 |
100,108 |
||
|
|
Subdirector
de Área |
|
|
|
100 |
44,125 |
62,207 |
|||
|
|
Jefe de Departamento |
|
|
|
108 |
29,672 |
42,153 |
|||
|
|
|
|
|
|
|
|
|
|
||
|
1/
Corresponde al Estímulo de cumplimiento de metas de acuerdo con la
normatividad establecida autorizada por los Órganos de Gobierno. |
||||||||||
|
ANEXO
16.2.3. REMUNERACIÓN TOTAL ANUAL DEL PUESTO DE ELECCION SENADOR DE |
|||||||||
|
|
|
|
|
|
|
|
|
|
|
|
|
Remuneración Recibida 1/ |
||||||||
|
REMUNERACIÓN
TOTAL ANUAL NETA (RTA) |
|
|
|
|
|
2,019,116 |
|||
|
Impuesto
sobre la renta retenido (28%) */ |
|
|
|
|
|
680,527 |
|||
|
Percepción
bruta anual |
|
|
|
|
|
|
2,699,643 |
||
|
I.
Percepciones ordinarias: |
|
|
|
|
|
2,699,643 |
|||
|
a) Sueldos y
salarios: |
|
|
|
|
|
2,057,328 |
|||
|
i) Sueldo
base 2/ |
|
|
|
|
|
2,057,328 |
|||
|
ii)
Compensación garantizada |
|
|
N/A |
||||||
|
b)
Prestaciones: |
|
|
|
|
|
|
642,315 |
||
|
i)
Aportaciones a seguridad social |
|
|
|
|
39,742 |
||||
|
ii) Ahorro
solidario (Artículo 100 de |
|
|
|
N/A |
|||||
|
iii) Prima
vacacional |
|
|
|
|
|
N/A |
|||
|
iv)
Aguinaldo (sueldo base) |
|
|
|
|
|
233,802 |
|||
|
v)
Gratificación de fin de año (compensación garantizada) |
|
N/A |
|||||||
|
vi) Prima
quinquenal (antigüedad) |
|
|
|
|
N/A |
||||
|
vii) Ayuda
para despensa |
|
|
|
|
|
N/A |
|||
|
viii) Seguro
de vida institucional |
|
|
|
|
58,840 |
||||
|
ix) Seguro
colectivo de retiro |
|
|
|
|
|
N/A |
|||
|
x) Seguro de
gastos médicos mayores 3/ |
|
|
|
|
24,191 |
||||
|
xi) Seguro
de separación individualizado |
|
|
|
|
285,740 |
||||
|
xii) Apoyo
económico para adquisición de vehículo |
|
|
|
N/A |
|||||
|
II.
Percepciones extraordinarias: |
|
|
|
|
|
|
|||
|
a) Pago por
riesgo y potenciación de seguro de vida |
|
|
N/A |
||||||
|
|
|
|
|
|
|
|
|
|
|
|
*/
Cálculo obtenido conforme a lo dispuesto en el artículo 113 de |
|||||||||
|
1/
Corresponde a las percepciones para 2009 |
|
|
|
|
|
|
|||
|
2/
Dieta |
|
|
|
|
|
|
|
|
|
|
3/
Corresponde a la prima anual individual para un promedio de edad ubicado en
el rango de 50-54 años. |
|||||||||
|
ANEXO
16.2.4 REMUNERACIÓN TOTAL ANUAL DEL PUESTO DE ESTRUCTURA ÓRGANICA DE
SECRETARIO GENERAL (pesos) |
|||||||||
|
|
|
|
|
|
|
|
|
|
|
|
|
Remuneración Recibida 1/ |
||||||||
|
REMUNERACIÓN
TOTAL ANUAL NETA (RTA) |
|
|
|
|
|
2,349,219 |
|||
|
Impuesto
sobre la renta retenido (26.3%) */ |
|
|
|
838,324 |
|||||
|
Percepción
bruta anual |
|
|
|
|
|
|
3,187,543 |
||
|
I.
Percepciones ordinarias: |
|
|
|
|
|
2,917,263 |
|||
|
a) Sueldos y
salarios: |
|
|
|
|
|
2,048,880 |
|||
|
i) Sueldo
base |
|
|
|
|
|
207,818 |
|||
|
ii)
Compensación garantizada |
|
|
|
1,841,062 |
|||||
|
b)
Prestaciones: |
|
|
|
|
|
|
868,383 |
||
|
i)
Aportaciones a seguridad social |
|
|
|
|
35,796 |
||||
|
ii) Prima
vacacional |
|
|
|
|
|
6,927 |
|||
|
iii)
Aguinaldo (sueldo base) |
|
|
|
|
|
23,091 |
|||
|
iv)
Gratificación de fin de año |
|
|
|
|
|
432,216 |
|||
|
v) Vales de
fin de año |
|
|
|
|
|
8,000 |
|||
|
vi) Vales de
despensa mensuales |
|
|
|
|
12,000 |
||||
|
vii) Seguro
de vida institucional |
|
|
|
|
36,880 |
||||
|
viii) Seguro
colectivo de retiro |
|
|
|
162 |
|||||
|
ix) Seguro
de gastos médicos mayores |
|
|
|
|
24,798 |
||||
|
x) Seguro de
separación individualizado |
|
|
|
|
284,567 |
||||
|
xi) Sistema
de ahorro para el retiro |
|
|
|
|
3,946 |
||||
|
II.
Percepciones extraordinarias: |
|
|
|
|
|
270,280 |
|||
|
a) Estímulo
por cumplimiento de metas |
|
|
|
|
270,280 |
||||
|
|
|
|
|
|
|
|
|
|
|
|
*/
Cálculo obtenido conforme a lo dispuesto en el artículo 113 de |
|||||||||
|
1/
Corresponde a las percepciones para 2009 |
|
|
|
|
|
|
|||
|
ANEXO 16.3. CÁMARA DE DIPUTADOS |
|
|
|
|
|
|
||||||||
|
|
|
|
|
|
|
|
|
|
||||||
|
ANEXO 16.3.1.A. LÍMITES DE |
||||||||||||||
|
|
|
|
|
|
|
|
|
|
||||||
|
Tipos de personal |
Sueldos y salarios |
Prestaciones |
Percepción ordinaria
total |
|||||||||||
|
(En efectivo y en
especie) |
||||||||||||||
|
Mínimo |
Máximo |
Mínimo |
Máximo |
Mínimo |
Máximo |
|||||||||
|
Personal operativo de base: |
||||||||||||||
|
2 |
|
4,680 |
|
5,171 |
|
9,851 |
||||||||
|
3 |
|
4,965 |
|
5,187 |
|
10,152 |
||||||||
|
4 |
|
5,126 |
|
5,196 |
|
10,322 |
||||||||
|
5 |
|
5,292 |
|
5,206 |
|
10,497 |
||||||||
|
6 |
|
5,661 |
|
5,227 |
|
10,888 |
||||||||
|
7 |
|
6,326 |
|
5,264 |
|
11,591 |
||||||||
|
8 |
|
6,814 |
|
5,293 |
|
12,107 |
||||||||
|
9 |
|
7,322 |
|
5,355 |
|
12,677 |
||||||||
|
10 |
|
7,859 |
|
5,421 |
|
13,280 |
||||||||
|
14 |
|
13,083 |
|
6,268 |
|
19,351 |
||||||||
|
Personal de base sindicalizado: |
||||||||||||||
|
2 |
|
4,680 |
|
7,896 |
|
12,576 |
||||||||
|
3 |
|
4,965 |
|
8,033 |
|
12,998 |
||||||||
|
4 |
|
5,126 |
|
8,111 |
|
13,237 |
||||||||
|
5 |
|
5,292 |
|
8,191 |
|
13,483 |
||||||||
|
6 |
|
5,661 |
|
8,284 |
|
13,946 |
||||||||
|
7 |
|
6,326 |
|
8,437 |
|
14,763 |
||||||||
|
8 |
|
6,814 |
|
8,518 |
|
15,332 |
||||||||
|
9 |
|
7,322 |
|
8,681 |
|
16,003 |
||||||||
|
10 |
|
7,859 |
|
8,946 |
|
16,805 |
||||||||
|
11 |
|
9,611 |
|
9,386 |
|
18,997 |
||||||||
|
12 |
|
10,775 |
|
9,698 |
|
20,473 |
||||||||
|
13 |
|
12,654 |
|
10,192 |
|
22,846 |
||||||||
|
15 |
|
13,481 |
|
10,436 |
|
23,917 |
||||||||
|
16 |
|
15,408 |
|
10,942 |
|
26,350 |
||||||||
|
17 |
|
16,370 |
|
11,153 |
|
27,522 |
||||||||
|
18 |
|
18,279 |
|
11,490 |
|
29,768 |
||||||||
|
19 |
|
20,157 |
|
11,863 |
|
32,020 |
||||||||
|
Personal operativo de confianza: |
||||||||||||||
|
2 |
|
4,680 |
|
5,166 |
|
9,846 |
||||||||
|
3 |
|
4,965 |
|
5,181 |
|
10,146 |
||||||||
|
4 |
|
5,126 |
|
5,190 |
|
10,316 |
||||||||
|
5 |
|
5,292 |
|
5,199 |
|
10,491 |
||||||||
|
6 |
|
5,661 |
|
5,219 |
|
10,881 |
||||||||
|
6-R |
|
5,866 |
|
5,230 |
|
11,096 |
||||||||
|
7 |
|
6,326 |
|
5,256 |
|
11,582 |
||||||||
|
8 |
|
6,814 |
|
5,283 |
|
12,097 |
||||||||
|
9 |
|
7,322 |
|
5,344 |
|
12,666 |
||||||||
|
10 |
|
7,859 |
|
5,409 |
|
13,267 |
||||||||
|
11 |
|
9,611 |
|
5,675 |
|
15,286 |
||||||||
|
12 |
|
10,775 |
|
5,878 |
|
16,653 |
||||||||
|
13 |
|
12,654 |
|
6,173 |
|
18,827 |
||||||||
|
14 |
|
13,083 |
|
6,235 |
|
19,319 |
||||||||
|
|
|
|
|
|
|
|
|
|
||||||
|
Refleja los límites de percepciones
ordinarias netas mensuales aplicables a los servidores públicos, en función
del puesto que ocupen. |
||||||||||||||
|
A fin de cumplir con el desglose de
remuneraciones que establece el artículo 75 constitucional, se presentan los
límites mínimos y máximos en terminos netos por concepto de sueldos y salarios
y de prestaciones, diferenciados por el tipo de servidores públicos a los que
aplican los límites correspondientes. |
||||||||||||||
|
Para efectos de los límites que se
incluyen, se consideran los importes netos de los componentes sueldos y
salarios y prestaciones y se dividen entre doce para obtener los límites
máximos de los sueldos y salarios netos mensuales, así como las prestaciones
y se dividen entre doce para obtener los límites máximos de los sueldos y
salarios netos mensuales, así como las prestaciones netas mensuales. |
||||||||||||||
|
ANEXO 16.3.1.B. LÍMITES DE |
|||||||||||
|
|
|
|
|
|
|
|
|
|
|||
|
Tipos de personal |
Sueldos y salarios |
Prestaciones |
Percepción ordinaria
total |
||||||||
|
(En efectivo y en
especie) |
|||||||||||
|
Mínimo |
Máximo |
Mínimo |
Máximo |
Mínimo |
Máximo |
||||||
|
Personal de mando: |
|||||||||||
|
Secretario General |
0 |
155,708 |
0 |
28,298 |
0 |
184,006 |
|||||
|
Secretario de Servicios |
0 |
138,199 |
0 |
25,415 |
0 |
163,614 |
|||||
|
Contralor Interno/Coord- Comunicación Social |
120,939 |
128,675 |
22,409 |
23,756 |
143,348 |
152,431 |
|||||
|
Director General |
92,570 |
120,587 |
17,468 |
22,347 |
110,038 |
142,934 |
|||||
|
Secretario de Enlace |
0 |
109,920 |
0 |
20,490 |
0 |
130,410 |
|||||
|
Homólogos a Director General |
92,570 |
106,150 |
17,468 |
19,833 |
110,038 |
125,983 |
|||||
|
Director de Área y Homólogos |
54,427 |
85,156 |
10,825 |
16,177 |
65,252 |
101,333 |
|||||
|
Subdirector de Área y Homólogos |
32,803 |
52,901 |
7,058 |
10,559 |
39,861 |
63,460 |
|||||
|
Jefe de Departamento y Homólogos |
19,362 |
32,254 |
5,225 |
6,963 |
24,587 |
39,217 |
|||||
|
|
|
|
|
|
|
|
|
|
|||
|
Refleja los límites de percepciones
ordinarias netas mensuales aplicables a los servidores públicos, en función
del puesto que ocupen. |
|||||||||||
|
A fin de cumplir con el desglose de
remuneraciones que establece el artículo 75 constitucional, se presentan los
límites mínimos y máximos en terminos netos por concepto de sueldos y
salarios y de prestaciones, diferenciados por el tipo de servidores públicos
a los que aplican los límites correspondientes. |
|||||||||||
|
Para efectos de los límites que se
incluyen, se consideran los importes netos de los componentes sueldos y
salarios y prestaciones y se dividen entre doce para obtener los límites
máximos de los sueldos y salarios netos mensuales, así como las prestaciones
y se dividen entre doce para obtener los límites máximos de los sueldos y
salarios netos mensuales, así como las prestaciones netas mensuales. |
|||||||||||
|
ANEXO 16.3.2.A. LÍMITES DE |
|||||||||||
|
|
|
|
|
|
|
|
|
|
|||
|
Tipos de personal |
Sueldos y salarios |
Prestaciones |
Percepción ordinaria
total |
||||||||
|
(En Efectivo y en
especie) |
|||||||||||
|
Mínimo |
Máximo |
Mínimo |
Máximo |
Mínimo |
Máximo |
||||||
|
Personal de operativo: |
|
|
|
|
|
|
|||||
|
8 |
0 |
6,734 |
|
5,278 |
0 |
12,012 |
|||||
|
9 |
0 |
8,061 |
|
5,438 |
0 |
13,499 |
|||||
|
10 |
0 |
10,212 |
|
5,780 |
0 |
15,992 |
|||||
|
12 |
0 |
15,159 |
|
6,536 |
0 |
21,695 |
|||||
|
13 |
0 |
14,443 |
|
6,432 |
0 |
20,875 |
|||||
|
14 |
0 |
18,043 |
|
6,966 |
0 |
25,009 |
|||||
|
15 |
0 |
26,703 |
|
7,835 |
0 |
34,538 |
|||||
|
Refleja los límites de percepciones
ordinarias netas mensuales aplicables a los servidores públicos, en función
del puesto que ocupen. |
|||||||||||
|
A fin de cumplir con el desglose de
remuneraciones que establece el artículo 75 constitucional, se presentan los
límites mínimos y máximos en terminos netos por concepto de sueldos y
salarios y de prestaciones, diferenciados por el tipo de servidores públicos
a los que aplican los límites correspondientes. |
|||||||||||
|
Para efectos de los límites que se
incluyen, se consideran los importes netos de los componentes sueldos y
salarios y prestaciones y se dividen entre doce para obtener los límites
máximos de los sueldos y salarios netos mensuales, así como las prestaciones
netas mensuales. |
|||||||||||
|
ANEXO 16.3.2.B. LÍMITES DE |
||||||||||||
|
|
|
|
|
|
|
|
|
|
||||
|
Tipos de personal |
Sueldos y salarios |
Prestaciones |
Percepción ordinaria
total |
|||||||||
|
(En efectivo y en
especie) |
||||||||||||
|
Mínimo |
Máximo |
Mínimo |
Máximo |
Mínimo |
Máximo |
|||||||
|
Personal de mando: |
||||||||||||
|
Jefe de la Unidad |
0 |
142,209 |
|
26,699 |
0 |
168,908 |
||||||
|
Director de Área |
0 |
115,900 |
|
21,531 |
0 |
137,431 |
||||||
|
Secretario Técnico |
0 |
106,572 |
|
19,907 |
0 |
126,479 |
||||||
|
Coordinador de Asesores |
|
84,133 |
|
15,998 |
0 |
100,131 |
||||||
|
Secretario Particular |
0 |
77,856 |
|
14,905 |
0 |
92,761 |
||||||
|
Subdirector |
0 |
77,856 |
|
14,905 |
0 |
92,761 |
||||||
|
Coordinador Administrativo |
0 |
48,454 |
0 |
9,784 |
0 |
58,238 |
||||||
|
Asesor |
0 |
48,454 |
0 |
9,784 |
0 |
58,238 |
||||||
|
Especialista |
0 |
33,120 |
0 |
7,114 |
0 |
40,234 |
||||||
|
|
|
|
|
|
|
|
|
|
||||
|
Refleja los límites de percepciones
ordinarias netas mensuales aplicables a los servidores públicos, en función
del puesto que ocupen. |
||||||||||||
|
A fin de cumplir con el desglose de
remuneraciones que establece el artículo 75 constitucional, se presentan los
límites mínimos y máximos en terminos netos por concepto de sueldos y
salarios y de prestaciones, diferenciados por el tipo de servidores públicos
a los que aplican los límites correspondientes. |
||||||||||||
|
Para efectos de los límites que se
incluyen, se consideran los importes netos de los componentes sueldos y
salarios y prestaciones y se dividen entre doce para obtener los límites
máximos de los sueldos y salarios netos mensuales, así como las prestaciones
netas mensuales, no incluye el seguro de separación individualizado que se
otorga al personal de mando. |
||||||||||||
|
ANEXO 16.3.3. REMUNERACIÓN TOTAL ANUAL DEL PUESTO DE
ELECCIÓN DIPUTADO FEDERAL (pesos) |
|||||||||
|
|
|
|
|
|
|
|
|
|
|
|
|
Remuneración
Recibida |
||||||||
|
REMUNERACIÓN TOTAL ANUAL NETA (RTA) 1/ |
|
|
|
|
|
1,541,478.5 |
|||
|
Impuesto sobre la renta retenido (28%) 2/ |
|
|
|
|
|
400,204.5 |
|||
|
Percepción bruta anual |
|
|
|
|
|
|
1,941,683.0 |
||
|
I. Percepciones ordinarias: |
|
|
|
|
|
|
|||
|
a) Sueldos y salarios: |
|
|
|
|
|
|
|||
|
i) Sueldo base 3/ |
|
|
|
|
|
1,264,536.0 |
|||
|
ii) Compensación garantizada |
|
|
|
|
|
N/A |
|||
|
b) Prestaciones: |
|
|
|
|
|
|
|
||
|
i) Aportaciones a seguridad social |
|
|
|
|
|
19,668.8 |
|||
|
ii) Ahorro solidario (Artículo 100 de |
|
|
|
N/A |
|||||
|
iii) Prima vacacional |
|
|
|
|
|
N/A |
|||
|
iv) Aguinaldo |
|
|
|
|
|
|
184,484.7 |
||
|
v) Gratificación de fin de año |
|
|
|
|
|
N/A |
|||
|
vi) Prima quinquenal |
|
|
|
|
|
N/A |
|||
|
vii) Ayuda para despensa |
|
|
|
|
|
38,045.0 |
|||
|
viii) Seguro de vida institucional 4/ |
|
|
|
|
37,071.7 |
||||
|
ix) Seguro colectivo de retiro |
|
|
|
|
|
N/A |
|||
|
x) Seguro de gastos médicos mayores y menores 4/ |
|
|
|
203,649.5 |
|||||
|
xi) Seguro de separación individualizado |
|
|
|
|
194,227.2 |
||||
|
xii) Apoyo económico para adquisición de vehículo |
|
|
|
N/A |
|||||
|
II. Percepciones extraordinarias: |
|
|
|
|
|
|
|||
|
a) Pago por riesgo y potencialización de seguro de vida |
|
|
|
N/A |
|||||
|
|
|
|
|
|
|
|
|
|
|
|
1/ Corresponde a las Percepciones
2009. |
|||||||||
|
2/ Cálculo obtenido conforme a lo
dispuesto en el artículo 113 de |
|||||||||
|
3/ Dieta. |
|
|
|
|
|
|
|
|
|
|
4/ Prima anual individual promedio. |
|||||||||
|
ANEXO 16.3.4. REMUNERACIÓN TOTAL ANUAL DEL SECRETARIO
GENERAL (pesos) |
||||||||
|
|
|
|
|
|
|
|
|
|
|
|
Remuneración
Recibida |
|||||||
|
REMUNERACIÓN TOTAL ANUAL NETA (RTA) |
|
|
|
|
|
2,645,390 |
||
|
Impuesto sobre la renta retenido (28%) 1/ |
|
|
|
|
|
858,693 |
||
|
Percepción bruta anual |
|
|
|
|
|
|
3,504,083 |
|
|
I. Percepciones ordinarias: |
|
|
|
|
|
3,494,926 |
||
|
a) Sueldos y salarios: |
|
|
|
|
|
2,595,132 |
||
|
i) Sueldo base |
|
|
|
|
|
|
499,104 |
|
|
ii) Compensación garantizada |
|
|
|
|
|
2,096,028 |
||
|
b) Prestaciones: |
|
|
|
|
|
|
899,794 |
|
|
i) Aportaciones a seguridad social |
|
|
|
|
|
43,880 |
||
|
ii) Ahorro solidario (Artículo 100 de |
|
|
|
0 |
||||
|
iii) Prima vacacional |
|
|
|
|
|
72,087 |
||
|
iv) Aguinaldo (sueldo base) |
|
|
|
|
|
55,456 |
||
|
v) Gratificación de fin de año (compensación
garantizada) |
|
|
|
313,629 |
||||
|
vi) Prima quinquenal (antigüedad) |
|
|
|
|
|
660 |
||
|
vii) Ayuda para despensa |
|
|
|
|
|
20,640 |
||
|
viii) Seguro de vida institucional |
|
|
|
|
|
42,820 |
||
|
ix) Seguro colectivo de retiro |
|
|
|
|
|
0 |
||
|
x) Seguro de gastos médicos mayores |
|
|
|
|
13,255 |
|||
|
xi) Seguro de separación individualizado |
|
|
|
|
337,367 |
|||
|
xii) Apoyo económico para adquisición de vehículo |
|
|
|
0 |
||||
|
II. Percepciones extraordinarias: |
|
|
|
|
|
9,157 |
||
|
a) Vale Pavo, Acuerdo FSTSE |
|
|
|
|
|
9,157 |
||
|
|
|
|
|
|
|
|
|
|
|
1/ Cálculo obtenido conforme a lo
dispuesto en el artículo 113 de |
||||||||
|
ANEXO 16.4. AUDITORÍA SUPERIOR DE LA FEDERACIÓN |
|
|
|
|
|
||||
|
|
|
|
|
|
|
|
|
|
|
|
ANEXO 16.4.1. LÍMITES DE PERCEPCION
ORDINARIA TOTAL EN |
|||||||||
|
|
|
|
|
|
|
|
|
|
|
|
Tipos de personal |
Sueldos y salarios |
Prestaciones |
Percepción ordinaria
total |
||||||
|
Mínimo |
Máximo |
Mínimo |
Máximo |
Mínimo |
Máximo |
||||
|
PERSONAL DE MANDO |
|||||||||
|
AUDITOR SUPERIOR DE LA FEDERACIÓN |
144,613 |
144,613 |
58,494 |
58,494 |
203,107 |
203,107 |
|||
|
AUDITOR ESPECIAL |
143,157 |
143,157 |
56,393 |
56,393 |
199,550 |
199,550 |
|||
|
TITULAR DE UNIDAD |
141,863 |
141,863 |
55,622 |
55,622 |
197,485 |
197,485 |
|||
|
COORDINADORES, SECRETARIO TÉCNICO DEL A.S.F. DIRECTOR
GENERAL |
121,371 |
129,253 |
48,799 |
51,257 |
170,171 |
180,511 |
|||
|
DIRECTOR DE ÁREA Y HOMÓLOGOS |
82,555 |
82,555 |
36,247 |
36,247 |
118,801 |
118,801 |
|||
|
SUBDIRECTOR DE ÁREA Y HOMÓLOGOS |
43,266 |
43,266 |
22,340 |
22,340 |
65,606 |
65,606 |
|||
|
JEFE DE DEPARTAMENTO Y HOMÓLOGOS |
26,870 |
26,870 |
16,156 |
16,156 |
43,026 |
43,026 |
|||
|
PERSONAL OPERATIVO DE CONFIANZA |
|||||||||
|
COORDINADOR DE AUDITORES DE FISCALIZACIÓN |
19,058 |
19,058 |
5,922 |
5,922 |
24,980 |
24,980 |
|||
|
COORDINADOR DE AUDITORES JURÍDICOS |
19,058 |
19,058 |
5,922 |
5,922 |
24,980 |
24,980 |
|||
|
COORDINADOR DE AUDITORES ADMINISTRATIVOS |
19,058 |
19,058 |
5,922 |
5,922 |
24,980 |
24,980 |
|||
|
AUDITOR DE FISCALIZACIÓN "A" |
16,767 |
16,767 |
5,978 |
5,978 |
22,745 |
22,745 |
|||
|
AUDITOR JURÍDICO "A" |
16,767 |
16,767 |
5,978 |
5,978 |
22,745 |
22,745 |
|||
|
AUDITOR ADMINISTRATIVO "A" |
16,767 |
16,767 |
5,978 |
5,978 |
22,745 |
22,745 |
|||
|
AUDITOR DE FISCALIZACIÓN "B" |
14,980 |
14,980 |
5,864 |
5,864 |
20,844 |
20,844 |
|||
|
AUDITOR JURÍDICO "B" |
14,980 |
14,980 |
5,864 |
5,864 |
20,844 |
20,844 |
|||
|
AUDITOR ADMINISTRATIVO "B" |
14,980 |
14,980 |
5,864 |
5,864 |
20,844 |
20,844 |
|||
|
SUBJEFE DE ANALISTAS |
15,434 |
15,434 |
6,013 |
6,013 |
21,447 |
21,447 |
|||
|
COORDINADOR DE ANALISTAS "A" |
14,153 |
14,153 |
5,885 |
5,885 |
20,038 |
20,038 |
|||
|
SECRETARIA PARTICULAR "A" |
18,609 |
18,609 |
7,454 |
7,454 |
26,062 |
26,062 |
|||
|
OPERADOR SUPERVISOR "A" |
20,449 |
20,449 |
7,814 |
7,814 |
28,263 |
28,263 |
|||
|
SECRETARIA PARTICULAR "B" |
14,805 |
14,805 |
7,567 |
7,567 |
22,372 |
22,372 |
|||
|
OPERADOR SUPERVISOR "B" |
13,135 |
13,135 |
8,008 |
8,008 |
21,143 |
21,143 |
|||
|
OPERADOR SUPERVISOR "C" |
12,177 |
12,177 |
8,041 |
8,041 |
20,218 |
20,218 |
|||
|
SUPERVISOR DE ÁREA ADMINISTRATIVA |
11,216 |
11,216 |
8,200 |
8,200 |
19,416 |
19,416 |
|||
|
SUPERVISOR DE ÁREA TÉCNICA |
11,217 |
11,217 |
8,039 |
8,039 |
19,256 |
19,256 |
|||
|
OPERADOR SUPERVISOR "D" |
11,218 |
11,218 |
7,780 |
7,780 |
18,998 |
18,998 |
|||
|
VIGILANTE DE LA ASF |
11,218 |
11,218 |
7,780 |
7,780 |
18,998 |
18,998 |
|||
|
SECRETARIA DE DIRECTOR DE ÁREA |
9,759 |
9,759 |
8,141 |
8,141 |
17,900 |
17,900 |
|||
|
ANALISTA ADMINISTRATIVO |
8,567 |
8,567 |
7,901 |
7,901 |
16,468 |
16,468 |
|||
|
CHOFER DE SERVICIOS GENERALES ; |
6,987 |
6,987 |
7,622 |
7,622 |
14,609 |
14,609 |
|||
|
PERSONAL OPERATIVO DE BASE |
|||||||||
|
TÉCNICO SUPERIOR |
6,020 |
6,020 |
12,842 |
12,842 |
18,863 |
18,863 |
|||
|
COORDINADOR DE PROYECTOS
ESPECIALES |
5,411 |
5,411 |
12,789 |
12,789 |
18,200 |
18,200 |
|||
|
JEFE DE SECCION DE ESPECIALISTAS HACENDARIOS |
5,224 |
5,224 |
12,770 |
12,770 |
17,994 |
17,994 |
|||
|
ANALISTA ESPECIALIZADO EN PROYECTOS |
5,016 |
5,016 |
12,640 |
12,640 |
17,657 |
17,657 |
|||
|
ESPECIALISTA TÉCNICO |
4,817 |
4,817 |
12,516 |
12,516 |
17,334 |
17,334 |
|||
|
ESPECIALISTA EN PROYECTOS TÉCNICOS |
4,641 |
4,641 |
12,408 |
12,408 |
17,049 |
17,049 |
|||
|
ESPECIALISTA HACENDARIO |
4,591 |
4,591 |
12,376 |
12,376 |
16,967 |
16,967 |
|||
|
TÉCNICO MEDIO |
4,389 |
4,389 |
12,252 |
12,252 |
16,641 |
16,641 |
|||
|
ANALISTA CONTABLE |
4,245 |
4,245 |
12,164 |
12,164 |
16,409 |
16,409 |
|||
|
TÉCNICO CONTABLE |
4,105 |
4,105 |
12,080 |
12,080 |
16,185 |
16,185 |
|||
|
TÉCNICO MEDIO CONTABLE |
4,097 |
4,097 |
12,075 |
12,075 |
16,172 |
16,172 |
|||
|
AUXILIAR TECNICO CONTABLE |
4,085 |
4,085 |
12,068 |
12,068 |
16,153 |
16,153 |
|||
|
INTENDENTE |
4,022 |
4,022 |
12,030 |
12,030 |
16,052 |
16,052 |
|||
|
|
|
|
|
|
|
|
|
|
|
|
Los límites de percepción ordinaria
neta mensual no consideran efectos inflacionarios, ni la aplicación de
disposiciones de carácter fiscal y de seguridad social. |
|||||||||
|
No se considera
el incremento salarial anual al personal de apoyo técnico, administrativo y
base, el cual será dado a conocer por la SHCP. |
|||||||||
|
No se considera el incremento de la
compensación de fin de año, el cual será dado a conocer por la SHCP. |
|||||||||
|
Los premios de antigüedad, se
otorgarán de acuerdo a las Condiciones Generales del Trabajo. |
|||||||||
|
ANEXO 16.4.2. LÍMITES DE PERCEPCIÓN EXTRAORDINARIA
TOTAL EN |
||||||||
|
|
|
|
|
|
|
|
|
|
|
Tipos de Personal |
Plazas |
Pago extraordinario
anual unitario |
||||||
|
Mínimo |
Máximo |
|||||||
|
PERSONAL DE MANDO |
||||||||
|
|
AUDITOR
SUPERIOR DE LA FEDERACIÓN |
1 |
507,718 |
507,718 |
||||
|
|
AUDITOR
ESPECIAL |
|
|
|
3 |
403,151 |
403,151 |
|
|
|
TITULAR
DE UNIDAD |
|
|
|
2 |
398,481 |
398,481 |
|
|
|
COORDINADORES, SECRETARIO TÉCNICO DEL
A.S.F. DIRECTOR GENERAL |
23 |
336,040 |
351,847 |
||||
|
|
DIRECTOR
DE ÁREA Y HOMÓLOGOS |
|
|
79 |
170,254 |
170,254 |
||
|
|
|
|
|
|
|
0 |
118,456 |
118,456 |
|
|
|
|
|
|
|
0 |
118,456 |
118,456 |
|
|
|
|
|
|
|
0 |
81,659 |
81,659 |
|
|
SUBDIRECTOR
DE ÁREA Y HOMÓLOGOS |
|
163 |
91,678 |
91,678 |
|||
|
|
|
|
|
|
|
0 |
73,869 |
73,869 |
|
|
|
|
|
|
|
0 |
70,433 |
70,433 |
|
|
JEFE
DE DEPARTAMENTO Y HOMÓLOGOS |
287 |
58,884 |
58,884 |
||||
|
PERSONAL OPERATIVO DE CONFIANZA |
||||||||
|
|
|
|
|
|
|
0 |
0 |
0 |
|
|
COORDINADOR
DE AUDITORES DE FISCALIZACIÓN |
|
116 |
43,130 |
43,130 |
|||
|
|
COORDINADOR
DE AUDITORES JURÍDICOS |
5 |
43,130 |
43,130 |
||||
|
|
COORDINADOR
DE AUDITORES ADMINISTRATIVOS |
|
36 |
43,130 |
43,130 |
|||
|
|
AUDITOR
DE FISCALIZACIÓN "A" |
|
|
218 |
38,595 |
38,595 |
||
|
|
AUDITOR
JURÍDICO "A" |
|
|
|
61 |
38,595 |
38,595 |
|
|
|
AUDITOR
ADMINISTRATIVO "A" |
55 |
38,595 |
38,595 |
||||
|
|
AUDITOR
DE FISCALIZACIÓN "B" |
|
|
152 |
35,043 |
35,043 |
||
|
|
AUDITOR
JURÍDICO "B" |
|
|
|
2 |
35,043 |
35,043 |
|
|
|
AUDITOR
ADMINISTRATIVO "B" |
42 |
35,043 |
35,043 |
||||
|
|
|
|
|
|
|
0 |
41,651 |
41,651 |
|
|
|
|
|
|
|
0 |
40,134 |
40,134 |
|
|
|
|
|
|
|
0 |
37,296 |
37,296 |
|
|
SUBJEFE
DE ANALISTAS |
|
|
|
1 |
35,958 |
35,958 |
|
|
|
|
|
|
|
|
0 |
34,638 |
34,638 |
|
|
|
|
|
|
|
0 |
33,407 |
33,407 |
|
|
COORDINADOR
DE ANALISTAS "A" |
|
|
1 |
33,407 |
33,407 |
||
|
|
|
|
|
|
|
0 |
19,662 |
19,662 |
|
|
|
|
|
|
|
0 |
18,627 |
18,627 |
|
|
|
|
|
|
|
0 |
18,626 |
18,626 |
|
|
|
|
|
|
|
0 |
18,207 |
18,207 |
|
|
SECRETARIA
PARTICULAR "A" |
4 |
42,236 |
42,236 |
||||
|
|
OPERADOR
SUPERVISOR "A" |
1 |
28,415 |
28,415 |
||||
|
|
SECRETARIA
PARTICULAR "B" |
31 |
34,704 |
34,704 |
||||
|
|
OPERADOR
SUPERVISOR "B" |
5 |
21,324 |
21,324 |
||||
|
|
OPERADOR
SUPERVISOR "C" |
23 |
20,400 |
20,400 |
||||
|
|
SUPERVISOR
DE ÁREA ADMINISTRATIVA |
92 |
19,480 |
19,480 |
||||
|
|
SUPERVISOR
DE ÁREA TECNICA |
|
|
11 |
19,476 |
19,476 |
||
|
|
OPERADOR
SUPERVISOR "D" |
5 |
19,470 |
19,470 |
||||
|
|
VIGILANTE
DE LA ASF |
|
|
|
17 |
19,470 |
19,470 |
|
|
|
SECRETARIA
DE DIRECTOR DE ÁREA |
|
|
1 |
18,085 |
18,085 |
||
|
|
|
|
|
|
|
0 |
17,686 |
17,686 |
|
|
ANALISTA
ADMINISTRATIVO |
|
1 |
16,947 |
16,947 |
|||
|
|
|
|
|
|
|
0 |
16,598 |
16,598 |
|
|
CHOFER DE SERVICIOS GENERALES TÉCNICO EN
MANTENIMIENTO |
3 |
15,458 |
15,458 |
||||
|
PERSONAL OPERATIVO DE BASE |
||||||||
|
|
TÉCNICO
SUPERIOR |
|
|
|
8 |
15,935 |
15,935 |
|
|
|
COORDINADOR
DE PROYECTOS ESPECIALES |
7 |
15,354 |
15,354 |
||||
|
|
JEFE
DE SECCION DE ESPECIALISTAS HACENDARIOS |
7 |
15,176 |
15,176 |
||||
|
|
ANALISTA
ESPECIALIZADO EN PROYECTOS |
6 |
14,971 |
14,971 |
||||
|
|
ESPECIALISTA
TÉCNICO |
|
|
|
7 |
14,775 |
14,775 |
|
|
|
ESPECIALISTA
EN PROYECTOS TÉCNICOS |
8 |
14,602 |
14,602 |
||||
|
|
ESPECIALISTA
HACENDARIO |
4 |
14,552 |
14,552 |
||||
|
|
TÉCNICO
MEDIO |
|
|
|
12 |
14,355 |
14,355 |
|
|
|
ANALISTA
CONTABLE |
|
|
|
27 |
14,215 |
14,215 |
|
|
|
TÉCNICO
CONTABLE |
|
|
|
40 |
14,079 |
14,079 |
|
|
|
TÉCNICO
MEDIO CONTABLE |
41 |
14,071 |
14,071 |
||||
|
|
AUXILIAR
TÉCNICO CONTABLE |
24 |
14,060 |
14,060 |
||||
|
|
INTENDENTE |
|
|
|
|
16 |
13,999 |
13,999 |
|
|
|
|
|
|
|
|
|
|
|
Los límites de percepción ordinaria neta
mensual no consideran efectos inflacionarios , ni la aplicación de disposiciones
de carácter fiscal y de seguridad social. |
||||||||
|
No se considera el
incremento salarial anual al personal de apoyo técnico, administrativo y
base, el cual será dado a conocer por la SHCP. |
||||||||
|
No se considera el incremento de la
compensación de fin de año, el cual será dado a conocer por la SHCP. |
||||||||
|
Los premios de antigüedad, se otorgarán de
acuerdo a las Condiciones Generales del Trabajo. |
||||||||
|
ANEXO 16.4.3 REMUNERACIÓN TOTAL ANUAL
DE |
||||||||
|
|
|
|
|
|
|
|
|
|
|
|
Remuneración
Recibida |
|||||||
|
REMUNERACIÓN TOTAL ANUAL NETA (RTA) 1/ |
|
|
|
|
|
2,945,000 |
||
|
Impuesto sobre la renta retenido 2/ |
|
|
|
|
|
1,029,388 |
||
|
Percepción bruta anual |
|
|
|
|
|
|
3,974,388 |
|
|
I. Percepciones ordinarias: |
|
|
|
|
|
3,289,203 |
||
|
a) Sueldos y salarios: |
|
|
|
|
|
2,341,930 |
||
|
i) Sueldo base |
|
|
|
|
|
|
436,056 |
|
|
ii) Compensación garantizada |
|
|
|
|
|
1,905,874 |
||
|
b) Prestaciones: |
|
|
|
|
|
|
947,273 |
|
|
i) Aportaciones a seguridad social |
|
|
|
|
|
39,871 |
||
|
ii) Prima vacacional |
|
|
|
|
|
12,113 |
||
|
iii) Aguinaldo (sueldo base) |
|
|
|
|
|
67,293 |
||
|
iv) Gratificación de fin de año (compensación
garantizada) |
|
|
|
293,477 |
||||
|
v) Seguro de separación individualizado |
|
|
|
|
325,268 |
|||
|
vi) Vales de Despensa |
|
|
|
|
|
167,097 |
||
|
vii) Seguro de vida institucional |
|
|
|
|
|
42,155 |
||
|
II. Percepciones extraordinarias: |
|
|
|
|
|
685,185 |
||
|
a) Estímulo por Cumplimiento de Metas y Pago de Riesgo |
|
685,185 |
||||||
|
|
|
|
|
|
|
|
|
|
|
1/ Los límites de percepción
ordinaria neta mensual no consideran efectos inflacionarios, ni la aplicación
de disposiciones de carácter fiscal y de seguridad social. |
||||||||
|
2/ Cálculo obtenido conforme a lo
dispuesto en el artículo 113 de |
||||||||
|
ANEXO 16.5. SUPREMA CORTE DE JUSTICIA
DE LA NACIÓN |
||||||||
|
|
|
|
|
|
|
|
|
|
|
ANEXO 16.5.1. REMUNERACIÓN NOMINAL
ANUAL DEL MINISTRO PRESIDENTE EN ACTIVO, DE CONFORMIDAD CON EL ARTÍCULO
TERCERO TRANSITORIO DEL DECRETO POR EL QUE SE REFORMAN Y ADICIONAN LOS
ARTÍCULOS 75, 115, 116, 122, 123 Y 127 DE |
||||||||
|
|
|
|
|
|
|
|
|
|
|
|
Remuneración
Recibida |
|||||||
|
REMUNERACIÓN NOMINAL ANUAL NETA |
|
|
|
|
|
4,380,852 |
||
|
Impuesto sobre la renta 1/ |
|
|
|
|
|
|
1,608,637 |
|
|
Percepción bruta anual |
|
|
|
|
|
|
5,989,489 |
|
|
I. Percepciones ordinarias: |
|
|
|
|
|
5,297,205 |
||
|
a) Sueldos y salarios: |
|
|
|
|
|
4,223,685 |
||
|
i) Sueldo base |
|
|
|
|
|
|
615,411 |
|
|
ii) Compensación garantizada |
|
|
|
|
|
2,411,292 |
||
|
iii) Prestaciones nominales |
|
|
|
|
|
1,196,982 |
||
|
b) Prestaciones: |
|
|
|
|
|
|
1,073,520 |
|
|
i) Aportaciones a seguridad social |
|
|
|
|
|
- |
||
|
ii) Ahorro solidario (Art. 100 Ley del ISSSTE) |
|
|
|
|
- |
|||
|
iii) Prima vacacional |
|
|
|
|
|
84,075 |
||
|
iv) Aguinaldo (sueldo base y compensación garantizada) |
|
|
|
466,445 |
||||
|
v) Gratificación de fin de año (comp. garantizada) |
|
|
- |
|||||
|
vi) Prima quinquenal (antigüedad) |
|
|
|
|
|
- |
||
|
vii) Ayuda para despensa |
|
|
|
|
|
- |
||
|
viii) Seguro de vida institucional |
|
|
|
|
|
49,941 |
||
|
ix) Seguro colectivo de retiro |
|
|
|
|
|
- |
||
|
x) Seguro de gastos médicos mayores |
|
|
|
|
24,907 |
|||
|
xi) Seguro de separación individualizado |
|
|
|
|
420,376 |
|||
|
xii) Apoyo económico para adquisición de vehículo |
|
|
- |
|||||
|
xiii) Otras prestaciones |
|
|
|
|
|
27,777 |
||
|
II. Percepciones extraordinarias: |
|
|
|
|
|
688,284 |
||
|
a) Pago por riesgo |
|
|
|
|
|
|
688,284 |
|
|
|
|
|
|
|
|
|
|
|
|
1/ Cálculo obtenido conforme a lo
dispuesto en el artículo 113 de |
||||||||
|
ANEXO 16.5.2. REMUNERACIÓN NOMINAL
ANUAL DE MINISTROS EN ACTIVO, DE CONFORMIDAD CON EL ARTÍCULO TERCERO
TRANSITORIO DEL DECRETO POR EL QUE SE REFORMAN Y ADICIONAN LOS ARTÍCULOS 75,
115, 116, 122, 123 Y 127 DE |
|||||||||
|
|
|
|
|
|
|
|
|
|
|
|
|
Remuneración
Recibida |
||||||||
|
REMUNERACIÓN NOMINAL ANUAL NETA |
|
|
|
|
|
4,316,542 |
|||
|
Impuesto sobre la renta 1/ |
|
|
|
|
|
|
1,576,236 |
||
|
Percepción bruta anual |
|
|
|
|
|
|
5,892,778 |
||
|
I. Percepciones ordinarias: |
|
|
|
|
|
5,204,494 |
|||
|
a) Sueldos y salarios: |
|
|
|
|
|
4,126,458 |
|||
|
i) Sueldo base |
|
|
|
|
|
|
562,567 |
||
|
ii) Compensación garantizada |
|
|
|
|
|
2,406,517 |
|||
|
iii) Prestaciones nominales |
|
|
|
|
|
1,157,374 |
|||
|
b) Prestaciones: |
|
|
|
|
|
|
1,078,036 |
||
|
i) Aportaciones a seguridad social |
|
|
|
|
|
- |
|||
|
ii) Ahorro solidario (Art. 100 Ley del ISSSTE) |
|
|
|
|
- |
||||
|
iii) Prima vacacional |
|
|
|
|
|
82,474 |
|||
|
iv) Aguinaldo (sueldo base y compensación garantizada) |
|
|
|
457,553 |
|||||
|
v) Gratificación de fin de año (comp. garantizada) |
|
- |
|||||||
|
vi) Prima quinquenal (antigüedad) |
|
|
|
|
|
- |
|||
|
vii) Ayuda para despensa |
|
|
|
|
|
- |
|||
|
viii) Seguro de vida institucional |
|
|
|
|
|
48,990 |
|||
|
ix) Seguro colectivo de retiro |
|
|
|
|
|
- |
|||
|
x) Seguro de gastos médicos mayores |
|
|
|
|
44,869 |
||||
|
xi) Seguro de separación individualizado |
|
|
|
|
412,373 |
||||
|
xii) Apoyo económico para adquisición de vehículo |
|
|
- |
||||||
|
xiii) Otras prestaciones |
|
|
|
|
|
27,777 |
|||
|
|
xiv) Ayuda de anteojos |
|
|
|
|
|
3,000 |
||
|
|
xv) Estímulo del día de la madre |
|
|
|
|
|
1,000 |
||
|
II. Percepciones extraordinarias: |
|
|
|
|
|
688,284 |
|||
|
a) Pago por riesgo |
|
|
|
|
|
|
688,284 |
||
|
|
|
|
|
|
|
|
|
|
|
|
1/ Cálculo obtenido conforme a lo
dispuesto en el artículo 113 de |
|||||||||
|
ANEXO 16.5.3. REMUNERACIÓN TOTAL
ANUAL DEL MINISTRO DE |
||||||||
|
|
|
|
|
|
|
|
|
|
|
|
Remuneración
Recibida |
|||||||
|
REMUNERACIÓN TOTAL ANUAL NETA (RTA) |
|
|
|
|
|
2,949,390 |
||
|
Impuesto sobre la renta 1/ |
|
|
|
|
|
|
1,050,023 |
|
|
Percepción bruta anual |
|
|
|
|
|
|
3,999,413 |
|
|
I. Percepciones ordinarias: |
|
|
|
|
|
3,287,005 |
||
|
a) Sueldos y salarios: |
|
|
|
|
|
2,496,000 |
||
|
i) Sueldo base |
|
|
|
|
|
|
495,248 |
|
|
ii) Compensación garantizada |
|
|
|
|
|
1,623,341 |
||
|
iii) Prestaciones nominales |
|
|
|
|
|
377,411 |
||
|
b) Prestaciones: |
|
|
|
|
|
|
791,005 |
|
|
i) Aportaciones a seguridad social |
|
|
|
|
|
0 |
||
|
ii) Ahorro solidario (Art. 100 Ley del ISSSTE) |
|
|
|
|
0 |
|||
|
iii) Prima vacacional |
|
|
|
|
|
58,850 |
||
|
iv) Aguinaldo (sueldo base y compensación garantizada) |
|
|
|
326,303 |
||||
|
v) Gratificación de fin de año (comp. garantizada) |
|
|
|
0 |
||||
|
vi) Prima quinquenal (antigüedad) |
|
|
|
|
|
0 |
||
|
vii) Ayuda para despensa |
|
|
|
|
|
0 |
||
|
viii) Seguro de vida institucional |
|
|
|
|
|
34,957 |
||
|
ix) Seguro colectivo de retiro |
|
|
|
|
|
0 |
||
|
x) Seguro de gastos médicos mayores |
|
|
|
|
44,869 |
|||
|
xi) Seguro de separación individualizado |
|
|
|
|
294,248 |
|||
|
xii) Apoyo económico para adquisición de vehículo |
|
|
|
0 |
||||
|
xiii) Otras prestaciones |
|
|
|
|
|
31,778 |
||
|
II. Percepciones extraordinarias: |
|
|
|
|
|
712,408 |
||
|
a) Pago por riesgo |
|
|
|
|
|
|
712,408 |
|
|
|
|
|
|
|
|
|
|
|
|
Las percepciones de los nuevos
Ministros de |
||||||||
|
Los Ministros en activo se sujetarán
a las disposiciones contenidas en |
||||||||
|
1/ Cálculo obtenido conforme a lo
dispuesto en el artículo 113 de |
||||||||
|
ANEXO 16.6. CONSEJO DE LA JUDICATURA
FEDERAL |
|
|
|
|
|
|||
|
|
|
|
|
|
|
|
|
|
|
ANEXO 16.6.1. REMUNERACIÓN NOMINAL
ANUAL DE CONSEJEROS DE |
||||||||
|
|
|
|
|
|
|
|
|
|
|
|
Remuneración
Recibida |
|||||||
|
REMUNERACIÓN TOTAL ANUAL NETA (RTA) |
|
|
|
|
|
4,316,542 |
||
|
Impuesto sobre la renta retenido 2/ |
|
|
|
|
|
1,576,236 |
||
|
Percepción bruta anual |
|
|
|
|
|
|
5,892,778 |
|
|
I. Percepciones ordinarias: |
|
|
|
|
|
5,204,494 |
||
|
a) Sueldos y salarios: |
|
|
|
|
|
4,073,893 |
||
|
i) Sueldo base |
|
|
|
|
|
|
562,567 |
|
|
ii) Compensación garantizada |
|
|
|
|
|
2,406,517 |
||
|
iii) Prestaciones nominales |
|
|
|
|
|
1,104,809 |
||
|
b) Prestaciones: |
|
|
|
|
|
|
1,130,601 |
|
|
i) Aportaciones a seguridad social |
|
|
|
|
|
39,742 |
||
|
ii) Ahorro solidario (Artículo 100 de |
|
|
|
12,823 |
||||
|
iii) Prima vacacional |
|
|
|
|
|
82,474 |
||
|
iv) Aguinaldo (sueldo base y compensación garantizada) |
|
|
|
457,553 |
||||
|
v) Gratificación de fin de año (compensación
garantizada) |
|
|
|
0 |
||||
|
vi) Prima quinquenal (antigüedad) |
|
|
|
|
|
16,320 |
||
|
vii) Seguro de vida institucional |
|
|
|
|
|
48,990 |
||
|
viii) Seguro colectivo de retiro |
|
|
|
|
|
162 |
||
|
ix) Seguro de gastos médicos mayores |
|
|
|
|
44,869 |
|||
|
x) Seguro de separación individualizado |
|
|
|
|
412,373 |
|||
|
xi) Estímulo por antigüedad |
|
|
|
|
|
11,295 |
||
|
xii) Ayuda de anteojos |
|
|
|
|
|
3,000 |
||
|
xi) Estímulo del día de la madre |
|
|
|
|
|
1,000 |
||
|
II. Percepciones extraordinarias: |
|
|
|
|
|
688,284 |
||
|
a) Pago por riesgo |
|
|
|
|
|
|
688,284 |
|
|
|
|
|
|
|
|
|
|
|
|
1/
Los Consejeros en activo se ajustarán a las disposiciones contenidas en |
||||||||
|
2/
Cálculo obtenido conforme a lo dispuesto en el artículo 113 de |
||||||||
|
ANEXO 16.6.2. REMUNERACIÓN TOTAL
ANUAL DE LOS NUEVOS CONSEJEROS DE |
||||||||
|
|
|
|
|
|
|
|
|
|
|
|
Remuneración
Recibida |
|||||||
|
REMUNERACIÓN TOTAL ANUAL NETA (RTA) |
|
|
|
|
|
2,948,314 |
||
|
Impuesto sobre la renta retenido 1/ |
|
|
|
|
|
1,035,806 |
||
|
Percepción bruta anual |
|
|
|
|
|
|
3,984,120 |
|
|
I. Percepciones ordinarias: |
|
|
|
|
|
3,360,120 |
||
|
a) Sueldos y salarios: |
|
|
|
|
|
2,496,000 |
||
|
i) Sueldo base |
|
|
|
|
|
|
495,248 |
|
|
ii) Compensación garantizada |
|
|
|
|
|
1,623,341 |
||
|
iii) Prestaciones nominales |
|
|
|
|
|
377,411 |
||
|
b) Prestaciones: |
|
|
|
|
|
|
864,120 |
|
|
i) Aportaciones a seguridad social |
|
|
|
|
|
39,742 |
||
|
ii) Ahorro solidario (Artículo 100 de |
|
|
|
12,823 |
||||
|
iii) Prima vacacional |
|
|
|
|
|
58,850 |
||
|
iv) Aguinaldo (sueldo base y compensación garantizada) |
|
|
|
326,352 |
||||
|
v) Gratificación de fin de año (compensación
garantizada) |
|
|
|
0 |
||||
|
vi) Prima quinquenal (antigüedad) |
|
|
|
|
|
16,320 |
||
|
vii) Seguro de vida institucional |
|
|
|
|
|
34,957 |
||
|
viii) Seguro colectivo de retiro |
|
|
|
|
|
162 |
||
|
ix) Seguro de gastos médicos mayores |
|
|
|
|
27,888 |
|||
|
x) Seguro de separación individualizado |
|
|
|
|
294,248 |
|||
|
xi) Estímulo por antigüedad |
|
|
|
|
|
27,778 |
||
|
xii) Ayuda de anteojos |
|
|
|
|
|
3,000 |
||
|
xi) Estímulo del día de la madre |
|
|
|
|
|
22,000 |
||
|
II. Percepciones extraordinarias: |
|
|
|
|
|
624,000 |
||
|
a) Pago por riesgo |
|
|
|
|
|
|
624,000 |
|
|
|
|
|
|
|
|
|
|
|
|
1/ Cálculo obtenido conforme a lo
dispuesto en el artículo 113 de |
||||||||
|
ANEXO 16.7. TRIBUNAL ELECTORAL DEL
PODER JUDICIAL DE LA FEDERACIÓN |
|||||||||||||
|
|
|
|
|
|
|
|
|
|
|||||
|
ANEXO 16.7.1. REMUNERACIÓN NOMINAL
ANUAL DE MAGISTRADOS ELECTORALES DE CONFORMIDAD CON EL ARTÍCULO 3ero.
TRANSITORIO DEL DECRETO POR EL QUE SE REFORMAN Y ADICIONAN LOS ARTÍCULOS 75,
115, 116, 122, 123 Y 127 DE |
|||||||||||||
|
|
|
|
|
|
|
|
|
|
|||||
|
|
|
|
|
|
|
|
TEPJF MAGISTRADO |
TEPJF MAGISTRADO |
|||||
|
|
|
|
|
|
|
|
PRESIDENTE |
SALA SUPERIOR |
|||||
|
REMUNERACIÓN NOMINAL ANUAL NETA |
|
|
|
|
4,380,852 |
4,316,542 |
|||||||
|
Impuesto sobre la renta retenido (28%) 1/ |
|
|
|
1,608,637 |
1,576,236 |
||||||||
|
Remuneración nominal anual bruta |
|
|
|
|
5,989,489 |
5,892,778 |
|||||||
|
a) Sueldos y salarios: |
|
|
|
|
|
4,154,638 |
4,057,411 |
||||||
|
i) Sueldo base |
|
|
|
|
|
615,411 |
562,567 |
||||||
|
ii) Compensación garantizada |
|
|
|
|
2,411,292 |
2,406,517 |
|||||||
|
iii) Prestaciones nominales |
|
|
|
|
1,127,935 |
1,088,327 |
|||||||
|
b) Prestaciones: |
|
|
|
|
|
1,146,567 |
1,147,083 |
||||||
|
i) Aportaciones a seguridad social |
|
|
|
|
39,742 |
39,742 |
|||||||
|
ii) Ahorro solidario (Art. 100 Ley del ISSSTE) |
|
|
|
12,823 |
12,823 |
||||||||
|
iii) Prima vacacional |
|
|
|
|
84,075 |
82,474 |
|||||||
|
iv) Aguinaldo (sueldo base y compensación garantizada) |
466,445 |
457,553 |
|||||||||||
|
v) Gratificación de fin de año (comp. garantizada) |
|
0 |
0 |
||||||||||
|
vi) Prima quinquenal (antigüedad) |
|
|
|
|
16,320 |
16,320 |
|||||||
|
vii) Ayuda para despensa |
|
|
|
|
0 |
0 |
|||||||
|
viii) Seguro de vida institucional |
|
|
|
|
49,941 |
48,990 |
|||||||
|
ix) Seguro colectivo de retiro |
|
|
|
|
162 |
162 |
|||||||
|
x) Seguro de gastos médicos mayores |
|
|
24,907 |
44,869 |
|||||||||
|
xi) Seguro de separación individualizado |
|
|
|
420,376 |
412,373 |
||||||||
|
xii) Apoyo económico para adquisición de vehículo |
|
0 |
0 |
||||||||||
|
xiii) Estímulo por antigüedad |
|
|
|
|
27,777 |
27,777 |
|||||||
|
xiv) Ayuda de anteojos |
|
|
|
|
3,000 |
3,000 |
|||||||
|
xv) Estímulo del día de la madre |
|
|
|
|
1,000 |
1,000 |
|||||||
|
c) Pago por riesgo |
|
|
|
|
|
688,284 |
688,284 |
||||||
|
|
|
|
|
|
|
|
|
|
|||||
|
1/
Cálculo obtenido conforme a lo dispuesto en el artículo 113 de |
|||||||||||||
|
ANEXO 16.7.2. REMUNERACIÓN TOTAL
ANUAL DE LOS NUEVOS MAGISTRADOS DE SALA SUPERIOR QUE SE DESIGNEN A |
||||||||
|
|
|
|
|
|
|
|
|
|
|
|
|
|
|
|
|
|
TEPJF MAGISTRADO |
|
|
|
|
|
|
|
|
|
SALA SUPERIOR |
|
|
REMUNERACIÓN TOTAL ANUAL NETA |
|
|
|
|
|
2,887,601 |
||
|
Impuesto sobre la renta retenido (28%) 1/ |
|
|
|
|
|
1,122,956 |
||
|
Remuneración nominal anual bruta |
|
|
|
|
|
4,010,557 |
||
|
a) Sueldos y salarios: |
|
|
|
|
|
|
2,496,000 |
|
|
i) Sueldo base |
|
|
|
|
|
|
495,248 |
|
|
ii) Compensación garantizada |
|
|
|
|
|
1,623,341 |
||
|
iii) Prestaciones nominales |
|
|
|
|
|
377,410 |
||
|
b) Prestaciones: |
|
|
|
|
|
|
890,557 |
|
|
i) Aportaciones a seguridad social |
|
|
|
|
|
39,742 |
||
|
ii) Ahorro solidario (Art. 100 Ley del ISSSTE) |
|
|
|
|
12,823 |
|||
|
iii) Prima vacacional |
|
|
|
|
|
58,850 |
||
|
iv) Aguinaldo (sueldo base y compensación garantizada) |
|
326,943 |
||||||
|
v) Gratificación de fin de año (comp. garantizada) |
|
|
|
|
0 |
|||
|
vi) Prima quinquenal (antigüedad) |
|
|
|
|
|
16,320 |
||
|
vii) Ayuda para despensa |
|
|
|
|
|
0 |
||
|
viii) Seguro de vida institucional |
|
|
|
|
|
34,957 |
||
|
ix) Seguro colectivo de retiro |
|
|
|
|
|
162 |
||
|
x) Seguro de gastos médicos mayores |
|
|
|
|
|
24,734 |
||
|
xi) Seguro de separación individualizado |
|
|
|
|
294,249 |
|||
|
xii) Apoyo económico para adquisición de vehículo |
|
|
|
|
0 |
|||
|
xiii) Otras prestaciones |
|
|
|
|
|
81,778 |
||
|
c) Pago por riesgo |
|
|
|
|
|
|
624,000 |
|
|
|
|
|
|
|
|
|
|
|
|
1/ Cálculo obtenido conforme a lo
dispuesto en el artículo 113 de |
||||||||
|
ANEXO
16.7.3. ANALÍTICO DE PLAZAS Y REMUNERACIONES DEL TRIBUNAL ELECTORAL DEL PODER
JUDICIAL DE |



|
ANEXO 16.8. INSTITUTO FEDERAL
ELECTORAL |
|
|
|
|
|
|
||||
|
|
|
|
|
|
|
|
|
|
||
|
ANEXO 16.8.1.A. LÍMITES DE |
||||||||||
|
|
|
|
|
|
|
|
|
|
||
|
Tipos de personal |
Sueldos y salarios |
Prestaciones |
Percepción ordinaria
total |
|||||||
|
(En efectivo y en
especie) |
||||||||||
|
Mínimo |
Máximo |
Mínimo |
Máximo |
Mínimo |
Máximo |
|||||
|
PERSONAL DE MANDO |
||||||||||
|
CONSEJERO PRESIDENTE/CONSEJEROS ELECTORALES 1/ |
0 |
180,496 |
0 |
63,975 |
0 |
244,472 |
||||
|
SECRETARIO EJECUTIVO 1/ |
0 |
154,004 |
0 |
55,738 |
0 |
209,742 |
||||
|
|
|
|
|
|
|
|
|
|
||
|
1/ Miembros permanentes del Consejo
General del Instituto de acuerdo al artículo 110 del Código Federal de
Instituciones y Procedimientos Electorales (COFIPE). |
||||||||||
|
ANEXO 16.8.1.B LÍMITES DE |
|
||||||||||||
|
|
|
|
|
|
|
|
|
|
|
||||
|
Tipos de personal |
Sueldos y salarios |
Prestaciones |
Percepción ordinaria
total |
|
|||||||||
|
(En efectivo y en
especie) |
|
||||||||||||
|
Mínimo |
Máximo |
Mínimo |
Máximo |
Mínimo |
Máximo |
|
|||||||
|
PERSONAL DE MANDO |
|
||||||||||||
|
CONSEJERO PRESIDENTE/CONSEJEROS ELECTORALES 1/ |
0 |
180,496 |
0 |
63,975 |
0 |
244,472 |
|
||||||
|
SECRETARIO EJECUTIVO 1/ |
0 |
154,004 |
0 |
55,738 |
0 |
209,742 |
|
||||||
|
CONTRALOR GENERAL |
0 |
147,762 |
0 |
53,580 |
0 |
201,342 |
|
||||||
|
DIRECTOR EJECUTIVO |
117,760 |
138,726 |
43,706 |
50,631 |
161,466 |
189,357 |
|
||||||
|
DIRECTOR GENERAL |
117,760 |
138,726 |
43,706 |
50,631 |
161,466 |
189,357 |
|
||||||
|
COORD. DE ASESORES |
117,760 |
138,726 |
43,706 |
50,631 |
161,466 |
189,357 |
|
||||||
|
SECRETARIO PARTICULAR DEL CONSEJERO PRESIDENTE |
117,760 |
138,726 |
43,706 |
50,631 |
161,466 |
189,357 |
|
||||||
|
SUBCONTRALOR |
117,760 |
138,726 |
43,706 |
50,631 |
161,466 |
189,357 |
|
||||||
|
DIRECTOR DE UNIDAD TÉCNICA |
95,061 |
117,704 |
36,367 |
43,868 |
131,428 |
161,572 |
|
||||||
|
JEFE DE ASUNTOS INTERNACIONALES |
95,061 |
117,704 |
36,367 |
43,868 |
131,428 |
161,572 |
|
||||||
|
JEFE DE UNIDAD TÉCNICA |
95,061 |
117,704 |
36,367 |
43,868 |
131,428 |
161,572 |
|
||||||
|
COORD. DE ASESORES DEL SRIO. EJECUTIVO |
95,061 |
117,704 |
36,367 |
43,868 |
131,428 |
161,572 |
|
||||||
|
SECRETARIO PARTICULAR DEL SECRETARIO EJECUTIVO |
95,061 |
117,704 |
36,367 |
43,868 |
131,428 |
161,572 |
|
||||||
|
COORD. ADMTVO. DE |
95,061 |
117,704 |
36,367 |
43,868 |
131,428 |
161,572 |
|
||||||
|
COORDINADOR (S.P.E.) |
95,061 |
117,704 |
36,367 |
43,868 |
131,428 |
161,572 |
|
||||||
|
VOCAL DE JUNTA LOCAL EJECUTIVA (S.P.E.) |
77,233 |
117,704 |
30,412 |
43,868 |
107,645 |
161,572 |
|
||||||
|
DIRECTOR DE ÁREA |
77,233 |
117,704 |
30,412 |
43,868 |
107,645 |
161,572 |
|
||||||
|
LIDER DE PROYECTO |
77,233 |
117,704 |
30,412 |
43,868 |
107,645 |
161,572 |
|
||||||
|
COORD. ADMTVO. DEL SECRETARIO |
77,233 |
85,016 |
30,412 |
33,289 |
107,645 |
118,306 |
|
||||||
|
ASESOR DE |
77,233 |
85,016 |
30,412 |
33,289 |
107,645 |
118,306 |
|
||||||
|
COORD. DE ENLACE INSTITUCIONAL |
58,809 |
77,177 |
24,307 |
30,806 |
83,116 |
107,983 |
|
||||||
|
COORD. DE SERVICIOS DE INFORMÁTICA |
58,809 |
77,177 |
24,307 |
30,806 |
83,116 |
107,983 |
|
||||||
|
ASESOR DE CONSEJERO ELECTORAL "A" |
58,809 |
91,793 |
24,307 |
34,805 |
83,116 |
126,598 |
|
||||||
|
COORD. ADMVO DEL CONTRALOR GENERAL |
58,809 |
77,177 |
24,307 |
30,806 |
83,116 |
107,983 |
|
||||||
|
SECRETARIO PRIVADO DEL CONSEJERO PRESIDENTE |
58,809 |
77,177 |
24,307 |
30,806 |
83,116 |
107,983 |
|
||||||
|
SECRETARIO PRIVADO DEL SECRETARIO |
58,809 |
77,177 |
24,307 |
30,806 |
83,116 |
107,983 |
|
||||||
|
SECRETARIO TÉCNICO DEL SECRETARIO EJECUTIVO |
58,809 |
77,177 |
24,307 |
30,806 |
83,116 |
107,983 |
|
||||||
|
ASESOR DE SECRETARIO EJECUTIVO |
58,809 |
77,177 |
24,307 |
30,806 |
83,116 |
107,983 |
|
||||||
|
ASESOR DE CONSEJERO PRESIDENTE "B" |
58,809 |
77,177 |
24,307 |
30,806 |
83,116 |
107,983 |
|
||||||
|
ASESOR DE SECRETARIO EJECUTIVO "D" |
42,914 |
58,753 |
18,283 |
24,582 |
61,197 |
83,335 |
|
||||||
|
COORDINADOR TÉCNICO |
42,914 |
58,753 |
18,283 |
24,582 |
61,197 |
83,335 |
|
||||||
|
SECRETARIO TÉCNICO DEL CONSEJERO PRESIDENTE |
42,914 |
58,753 |
18,283 |
24,582 |
61,197 |
83,335 |
|
||||||
|
ASESOR DEL CONSEJERO ELECTORAL "B" |
42,914 |
65,626 |
18,283 |
25,560 |
61,197 |
91,186 |
|
||||||
|
ASESOR DEL CONSEJERO ELECTORAL "C" |
42,914 |
80,594 |
18,283 |
30,115 |
61,197 |
110,709 |
|
||||||
|
ASESOR DE SECRETARIO EJECUTIVO |
42,914 |
58,753 |
18,283 |
24,582 |
61,197 |
83,335 |
|
||||||
|
SECRETARIO PARTICULAR DE DIRECTOR EJECUTIVO |
42,914 |
58,753 |
18,283 |
24,582 |
61,197 |
83,335 |
|
||||||
|
SECRETARIO PARTICULAR DE DIRECTOR DE UNIDAD TÉCNICA |
42,914 |
58,753 |
18,283 |
24,582 |
61,197 |
83,335 |
|
||||||
|
ASESOR DE SECRETARIO EJECUTIVO |
42,914 |
58,753 |
18,283 |
24,582 |
61,197 |
83,335 |
|
||||||
|
UNIDAD DE INFORMACIÓN Y ACERVO |
42,914 |
58,753 |
18,283 |
24,582 |
61,197 |
83,335 |
|
||||||
|
VOCAL SECRETARIO DE JUNTA LOCAL (S.P.E.) |
42,914 |
58,753 |
18,283 |
24,582 |
61,197 |
83,335 |
|
||||||
|
VOCAL EJECUTIVO DE JUNTA DISTRITAL (S.P.E.) |
42,914 |
58,753 |
18,283 |
24,582 |
61,197 |
83,335 |
|
||||||
|
VOCAL DE JUNTA LOCAL EJECUTIVA (S.P.E.) |
42,914 |
58,753 |
18,283 |
24,582 |
61,197 |
83,335 |
|
||||||
|
SUBDIRECTOR DE ÁREA |
42,914 |
58,753 |
18,283 |
24,582 |
61,197 |
83,335 |
|
||||||
|
COORD. ADMTVO. DE DIRECCIÓN EJECUTIVA |
42,914 |
58,753 |
18,283 |
24,582 |
61,197 |
83,335 |
|
||||||
|
COORD. ADMTVO. DE JUNTA LOCAL |
42,914 |
58,753 |
18,283 |
24,582 |
61,197 |
83,335 |
|
||||||
|
SUBDIRECTOR "A" |
42,914 |
58,753 |
18,283 |
24,582 |
61,197 |
83,335 |
|
||||||
|
SUBDIRECTOR DE SERVICIOS WEB |
42,914 |
58,753 |
18,283 |
24,582 |
61,197 |
83,335 |
|
||||||
|
ASESOR DE CONSEJERO ELECTORAL "A" |
42,914 |
58,753 |
18,283 |
24,582 |
61,197 |
83,335 |
|
||||||
|
ASESOR DE CONSEJERO PRESIDENTE "H" |
42,914 |
58,753 |
18,283 |
24,582 |
61,197 |
83,335 |
|
||||||
|
VOCAL SECRETARIO DE JUNTA DISTRITAL (S.P.E.) |
34,646 |
42,400 |
15,339 |
18,391 |
49,985 |
60,792 |
|
||||||
|
ASESOR DE CONSEJERO PRESIDENTE |
34,646 |
42,400 |
15,339 |
18,391 |
49,985 |
60,792 |
|
||||||
|
LIDER DE PROYECTO "E" |
26,621 |
34,590 |
12,075 |
15,175 |
38,696 |
49,765 |
|
||||||
|
COORDINADOR OPERATIVO (S.P.E.) |
26,621 |
34,590 |
12,075 |
15,175 |
38,696 |
49,765 |
|
||||||
|
JEFE DE DEPARTAMENTO |
19,947 |
34,590 |
10,086 |
15,175 |
30,033 |
49,765 |
|
||||||
|
JEFE DE MONITOREO A MÓDULOS (S.P.E.) |
19,947 |
34,590 |
10,086 |
15,175 |
30,033 |
49,765 |
|
||||||
|
ASESOR "C" |
26,621 |
34,590 |
12,075 |
15,175 |
38,696 |
49,765 |
|
||||||
|
JEFE DE PROYECTO "A" |
19,947 |
26,577 |
10,086 |
12,217 |
30,033 |
38,795 |
|
||||||
|
LIDER DE PROYECTO "C" |
19,947 |
26,577 |
10,086 |
12,217 |
30,033 |
38,795 |
|
||||||
|
INVESTIGADOR |
19,947 |
26,577 |
10,086 |
12,217 |
30,033 |
38,795 |
|
||||||
|
ASESOR ELECTORAL |
19,947 |
45,140 |
10,086 |
19,070 |
30,033 |
64,209 |
|
||||||
|
PERSONAL OPERATIVO |
|
||||||||||||
|
ENLACE DE ALTO NIVEL DE RESPONSABILIDAD "E" |
20,080 |
26,298 |
4,958 |
10,370 |
25,038 |
36,667 |
|||||||
|
INFORMÁTICO ESPECIALIZADO |
20,080 |
25,686 |
4,958 |
10,179 |
25,038 |
35,865 |
|||||||
|
ENLACE DE ALTO NIVEL DE RESPONSABILIDAD |
20,080 |
25,686 |
4,958 |
10,179 |
25,038 |
35,865 |
|||||||
|
SUBCOORDINADOR DE SERVICIOS |
20,080 |
25,686 |
4,958 |
10,179 |
25,038 |
35,865 |
|||||||
|
JEFE DE OFICINA DE SEGUIMIENTO Y ANÁLISIS |
14,508 |
25,686 |
4,401 |
10,179 |
18,908 |
35,865 |
|||||||
|
JEFE DE OFICINA DE CARTOGRAFÍA ESTATAL |
20,080 |
25,686 |
4,958 |
10,179 |
25,038 |
35,865 |
|||||||
|
AUXILIAR DE ENLACE ADMINISTRATIVO |
9,190 |
25,686 |
3,875 |
10,179 |
13,066 |
35,865 |
|||||||
|
COORD. DE COMUNICACIÓN SOCIAL |
20,080 |
25,686 |
4,958 |
10,179 |
25,038 |
35,865 |
|||||||
|
PROFESIONAL DICTAMINADOR DE SERVICIOS ESPECIALIZADOS |
14,508 |
16,838 |
4,401 |
15,110 |
18,908 |
31,948 |
|||||||
|
PROFESIONAL EJECUTIVO DE SERVICIOS ESPECIALIZADOS |
14,508 |
16,838 |
4,401 |
17,047 |
18,908 |
33,885 |
|||||||
|
TÉCNICO ELECTORAL "B" |
9,190 |
14,494 |
3,875 |
7,548 |
13,066 |
22,042 |
|||||||
|
PROFESIONAL DE SERVICIOS ESPECIALIZADOS |
9,190 |
14,494 |
3,875 |
7,548 |
13,066 |
22,042 |
|||||||
|
TÉCNICO EN PROCESO ELECTORAL |
7,056 |
8,291 |
5,895 |
20,056 |
12,951 |
28,347 |
|||||||
|
SECRETARIA DE PROCESOS ELECTORALES
"A" |
7,056 |
9,165 |
5,895 |
6,320 |
12,951 |
15,485 |
|||||||
|
SECRETARIA DE PROCESOS ELECTORALES
"B" |
7,056 |
9,165 |
5,895 |
6,320 |
12,951 |
15,485 |
|||||||
|
ESPECIALISTA TÉCNICO |
5,438 |
7,056 |
5,302 |
5,895 |
10,740 |
12,951 |
|||||||
|
|
|
|
|
|
|
|
|
|
|
||||
|
1/ Miembros permanentes del consejo
general del Instituto de acuerdo al artículo 110 del Código Federal de
Instituciones y Procedimientos Electorales (COFIPE). |
|
||||||||||||
|
ANEXO 16.8.2. LÍMITES DE PAGOS EXTRAORDINARIOS ANUALES
NETOS (pesos) |
|||||||||||
|
|
|
|
|
|
|
|
|
|
|||
|
Denominación |
Plazas |
Pago extraordinario
anual unitario |
|||||||||
|
Mínimo |
Máximo |
||||||||||
|
Total Puestos |
|
|
|
|
|
6,893 |
|
|
|||
|
|
ENLACE
DE ALTO NIVEL DE RESPONSABILIDAD "E" |
|
2 |
0 |
8,550 |
||||||
|
|
ENLACE
DE ALTO NIVEL DE RESPONSABILIDAD |
|
3 |
0 |
8,550 |
||||||
|
|
INFORMÁTICO ESPECIALIZADO |
|
|
|
41 |
0 |
8,550 |
||||
|
|
COORDINADOR DE COMUNICACIÓN SOCIAL |
|
11 |
0 |
8,550 |
||||||
|
|
JEFE DE OFICINA DE CARTOGRAFÍA ESTATAL |
|
32 |
0 |
8,550 |
||||||
|
|
SUBCOORDINADOR DE SERVICIOS |
|
|
507 |
0 |
8,550 |
|||||
|
|
PROFESIONAL EJECUTIVO
DE SERVICIOS ESPECIALIZADOS |
|
142 |
0 |
8,550 |
||||||
|
|
JEFE DE OFICINA DE SEGUIMIENTO Y ANÁLISIS
DE JUNTA |
|
332 |
0 |
8,550 |
||||||
|
|
PROFESIONAL
DICTAMINADOR DE SERVICIOS ESPECIALIZADOS |
|
178 |
0 |
8,550 |
||||||
|
|
AUXILIAR DE ENLACE ADMINISTRATIVO |
|
|
303 |
0 |
8,550 |
|||||
|
|
PROFESIONAL DE SERVICIOS ESPECIALIZADOS |
|
1,498 |
0 |
8,550 |
||||||
|
|
SECRETARIA DE CONSEJERO ELECTORAL |
|
8 |
0 |
8,550 |
||||||
|
|
CHOFER DE PROCESOS ELECTORALES A |
|
|
1 |
0 |
8,550 |
|||||
|
|
TÉCNICO ELECTORAL |
|
|
|
1 |
0 |
8,550 |
||||
|
|
TÉCNICO ELECTORAL "B" |
|
|
|
1,064 |
0 |
8,550 |
||||
|
|
COORD. DE UNIDAD DE SERVICIOS
ESPECIALIZADOS |
|
240 |
0 |
8,550 |
||||||
|
|
TÉCNICO EN PROCESO ELECTORAL |
|
|
358 |
0 |
8,550 |
|||||
|
|
CHOFER DE CONSEJERO ELECTORAL |
|
|
8 |
0 |
8,550 |
|||||
|
|
TÉCNICO DE CAMPO |
|
|
|
3 |
0 |
8,550 |
||||
|
|
SECRETARIA DE PROCESOS ELECTORALES A |
|
590 |
0 |
8,550 |
||||||
|
|
SECRETARIA DE PROCESOS ELECTORALES
"B" |
|
1,301 |
0 |
8,550 |
||||||
|
|
ESPECIALISTA TÉCNICO |
|
|
|
270 |
0 |
8,550 |
||||
|
|
|
|
|
|
|
|
|
|
|||
|
Solamente se registra la prestación de
vales de fin de año para el personal operativo, en razón de que es la única
que se tiene la absoluta certeza de que lo recibirá. |
|||||||||||
|
El resto de las prestaciones que se
otorgan, es para el personal que se hace acreedor de las mismas o bien, que
pueden ejercer el derecho a su obtención. Por ejemplo, el apoyo que da para
la adquisición de lentes, que se otorga cada 3 años o el apoyo (becas) para
estudios de licenciatura, maestría o doctorado. |
|||||||||||
|
Acumular todos los posibles conceptos puede
generar una lectura equivocada, ya que se podría interpretar que son
percepciones extraordinarias que efectivamente recibe el personal, cuando no
es así. |
|||||||||||
|
Derivado del punto anterior, |
|||||||||||
|
Con el propósito que se cuente con toda la
información, en el Tomo VIII se establecen todas las prestaciones, montos y
modalidades de pago por nivel. |
|||||||||||
|
ANEXO 16.8.3.A. REMUNERACIÓN TOTAL ANUAL DE |
||||||||
|
|
|
|
|
|
|
|
|
|
|
|
Remuneración
Recibida |
|||||||
|
REMUNERACIÓN TOTAL ANUAL NETA (RTA) |
|
|
|
|
|
2,933,661 |
||
|
Impuesto sobre la renta retenido (28%) 1/ |
|
|
|
|
|
882,731 |
||
|
Percepción bruta anual |
|
|
|
|
|
|
3,816,392 |
|
|
I. Percepciones ordinarias: |
|
|
|
|
|
3,816,392 |
||
|
a) Sueldos y salarios: |
|
|
|
|
|
2,953,188 |
||
|
i) Sueldo base |
|
|
|
|
|
|
554,544 |
|
|
ii) Compensación garantizada |
|
|
|
|
|
2,398,644 |
||
|
b) Prestaciones: |
|
|
|
|
|
|
863,204 |
|
|
i) Aportaciones a seguridad social |
|
|
|
|
|
39,742 |
||
|
ii) Ahorro solidario (Artículo 100 de |
|
|
|
12,823 |
||||
|
iii) Prima vacacional |
|
|
|
|
|
15,404 |
||
|
iv) Aguinaldo ó
Gratificación de fin de año (Sueldo base y Compensación Garantizada) |
|
419,549 |
||||||
|
vi) Prima quinquenal (antigüedad) |
|
|
|
|
|
2,400 |
||
|
vii) Ayuda para despensa |
|
|
|
|
|
0 |
||
|
viii) Seguro de vida institucional |
|
|
|
|
|
50,204 |
||
|
ix) Seguro colectivo de retiro |
|
|
|
|
|
102 |
||
|
x) Seguro de gastos médicos mayores |
|
|
|
|
27,661 |
|||
|
xi) Seguro de separación individualizado |
|
|
|
|
295,319 |
|||
|
xii) Apoyo económico para adquisición de vehículo |
|
0 |
||||||
|
II. Percepciones extraordinarias: |
|
|
|
|
|
0 |
||
|
|
|
|
|
|
|
|
|
|
|
1/ Miembro permanente del Consejo
General del Instituto de acuerdo al artículo 110 del Codigo Federal de
Instituciones y Procedimientos Electorales (COFIPE). |
||||||||
|
2/ Cálculo obtenido conforme a lo
dispuesto en el artículo 113 de |
||||||||
|
ANEXO 16.8.3.B. REMUNERACIÓN TOTAL ANUAL DE |
||||||||||||
|
|
|
|
|
|
|
|
|
|
||||
|
|
Remuneración
Recibida |
|||||||||||
|
REMUNERACIÓN TOTAL ANUAL NETA (RTA) |
|
2,516,909 |
||||||||||
|
Impuesto sobre la renta retenido (28%) 1/ |
|
744,460 |
||||||||||
|
Percepción bruta anual |
|
|
|
|
|
|
3,261,369 |
|||||
|
I. Percepciones ordinarias: |
|
|
|
|
|
3,261,369 |
||||||
|
a) Sueldos y salarios: |
|
|
|
|
|
2,511,648 |
||||||
|
i) Sueldo base |
|
|
|
438,420 |
||||||||
|
ii) Compensación garantizada |
|
|
|
|
|
2,073,228 |
||||||
|
b) Prestaciones: |
|
|
|
|
|
|
749,721 |
|||||
|
i) Aportaciones a seguridad social |
|
|
|
|
|
39,742 |
||||||
|
ii) Ahorro solidario (Artículo 100 de
|
|
|
|
12,823 |
||||||||
|
iii) Prima vacacional |
|
|
|
|
|
12,178 |
||||||
|
iv) Aguinaldo ó Gratificación de fin
de año (Sueldo base y Compensación Garantizada) |
356,752 |
|||||||||||
|
vi) Prima quinquenal (antigüedad) |
|
|
|
|
|
2,400 |
||||||
|
vii) Ayuda para despensa |
|
|
|
|
|
4,200 |
||||||
|
viii) Seguro de vida institucional |
|
|
|
|
|
42,698 |
||||||
|
ix) Seguro colectivo de retiro |
|
|
|
|
|
102 |
||||||
|
x) Seguro de gastos médicos mayores |
|
|
|
|
27,661 |
|||||||
|
xi) Seguro de separación
individualizado |
|
|
|
|
251,165 |
|||||||
|
xii) Apoyo económico para adquisición
de vehículo |
|
|
|
|
0 |
|||||||
|
II. Percepciones extraordinarias: |
|
|
|
|
|
0 |
||||||
|
|
|
|
|
|
|
|
|
|
||||
|
1/
Miembro permanente del Consejo General del Instituto de acuerdo al artículo
110 del Codigo Federal de Instituciones y Procedimientos Electorales
(COFIPE). |
||||||||||||
|
2/
Cálculo obtenido conforme a lo dispuesto en el artículo 113 de |
||||||||||||
|
ANEXO 16.9. COMISIÓN NACIONAL DE LOS
DERECHOS HUMANOS |
|||||||||
|
|
|
|
|
|
|
|
|
|
|
|
ANEXO 16.9.1. LÍMITES DE PERCEPCIÓN
ORDINARIA TOTAL EN |
|||||||||
|
|
|
|
|
|
|
|
|
|
|
|
Tipos de personal |
Sueldos y salarios |
Prestaciones |
Percepción ordinaria
total |
||||||
|
(En efectivo y en
especie) |
|||||||||
|
Mínimo |
Máximo |
Mínimo |
Máximo |
Mínimo |
Máximo |
||||
|
Personal de Mando: |
|||||||||
|
Presidente de la CNDH |
0 |
137,040 |
0 |
66,657 |
0 |
203,698 |
|||
|
Visitador General/ Secretario/Oficial Mayor |
120,449 |
123,979 |
72,969 |
74,986 |
193,418 |
198,966 |
|||
|
Coordinador General |
116,496 |
120,998 |
70,654 |
72,472 |
187,150 |
193,471 |
|||
|
Director General |
85,354 |
116,057 |
57,716 |
69,848 |
143,070 |
185,904 |
|||
|
Director General Adjunto |
63,647 |
104,088 |
49,169 |
65,895 |
112,816 |
169,983 |
|||
|
Coordinador de Programa, Secretario Particular y
Secretario Técnico de la Presidencia |
54,159 |
71,300 |
45,944 |
53,928 |
100,103 |
125,228 |
|||
|
Director de Área, Investigador en Derechos Humanos B,
Secretario Particular de Visitador General/Secretario/Oficial Mayor, Jefe de
Unidad Técnica, Secretario Privado del Presidente |
41,597 |
92,812 |
38,135 |
61,018 |
79,732 |
153,830 |
|||
|
Subdirector de Área, Visitador Adjunto, Investigador en
Derechos Humanos A, Responsable |
21,413 |
45,738 |
28,581 |
39,873 |
49,994 |
85,611 |
|||
|
Jefe de Departamento |
15,657 |
31,417 |
25,325 |
31,986 |
40,982 |
63,403 |
|||
|
Personal Técnico operativo y de Enlace: |
|||||||||
|
Enlace |
7,728 |
19,778 |
15,533 |
20,088 |
23,261 |
39,866 |
|||
|
Técnico Operativo |
6,764 |
7,052 |
15,269 |
15,431 |
22,033 |
22,483 |
|||
|
|
|
|
|
|
|
|
|
|
|
|
Refleja los límites de percepciones
ordinarias netas mensuales aplicables a los servidores públicos durante 2010,
en función del puesto que ocupen. |
|||||||||
|
A fin de cumplir con el desglose de
remuneraciones que establece el artículo 75 constitucional, se presentan los
límites mínimos y máximos en términos netos por concepto de sueldos y
salarios y de prestaciones, diferenciados por el tipo de servidores públicos
a los que aplican los límites correspondientes. |
|||||||||
|
ANEXO 16.9.2. LÍMITES DE PAGOS
EXTRAORDINARIOS ANUALES NETOS (pesos) |
|||||||||||
|
|
|
|
|
|
|
|
|
|
|||
|
Denominación |
Plazas |
Pago extraordinario
anual unitario |
|||||||||
|
Mínimo |
Máximo |
||||||||||
|
Total Puestos |
|
|
|
|
|
1,134 |
|
|
|||
|
Personal de mando: |
|
|
|
|
593 |
|
|||||
|
|
Presidente de la CNDH |
|
|
|
1 |
|
486,600 |
||||
|
|
Visitador General/Secretario/Oficial
Mayor |
8 |
403,156 |
476,214 |
|||||||
|
|
Coordinador General |
|
|
|
2 |
389,718 |
405,026 |
||||
|
|
Director
General |
18 |
283,835 |
388,223 |
|||||||
|
|
Director General Adjunto |
|
|
|
16 |
172,270 |
286,200 |
||||
|
|
Coordinador de Programa, Secretario
Particular y Secretario Técnico de la Presidencia |
3 |
145,634 |
193,722 |
|||||||
|
|
Director de Área, Investigador en
Derechos Humanos B, Secretario Particular de Visitador
General/Secretario/Oficial Mayor, Jefe de Unidad Técnica, Secretario Privado
del Presidente |
81 |
109,635 |
254,628 |
|||||||
|
|
Subdirector de Área, Visitador
Adjunto, Investigador en Derechos Humanos A, Responsable Administrativo |
346 |
56,425 |
121,629 |
|||||||
|
|
Jefe de Departamento |
|
|
|
118 |
13,753 |
28,971 |
||||
|
Personal Técnico operativo y de Enlace: |
|
|
|
541 |
|
|
|||||
|
|
Enlace |
|
|
|
|
473 |
6,547 |
17,683 |
|||
|
|
Técnico
Operativo |
|
68 |
5,702 |
5,968 |
||||||
|
ANEXO 16.9.3. REMUNERACIÓN TOTAL
ANUAL DE |
||||||||
|
|
|
|
|
|
|
|
|
|
|
|
Remuneración
Recibida |
|||||||
|
REMUNERACIÓN TOTAL ANUAL NETA (RTA) |
|
2,930,970 |
||||||
|
Impuesto sobre la
renta retenido 1/ |
|
|
|
|
|
1,027,752 |
||
|
Percepción bruta
anual |
|
|
|
|
|
|
3,958,722 |
|
|
I. Percepciones ordinarias: |
|
|
|
|
|
3,282,888 |
||
|
a) Sueldos y salarios: |
|
|
|
|
|
2,252,779 |
||
|
Sueldo base |
|
|
|
|
|
|
329,481 |
|
|
Compensación
Garantizada |
|
1,923,298 |
||||||
|
b) Prestaciones: |
|
|
|
|
|
|
1,030,109 |
|
|
i) Aportaciones a seguridad social |
|
41,300 |
||||||
|
ii) Ahorro solidario (Artículo 100 de
|
|
13,593 |
||||||
|
iii) Prima vacacional |
|
|
|
|
|
62,577 |
||
|
iv) Gratificación de fin de año |
|
347,651 |
||||||
|
v) Prima quinquenal |
|
|
|
|
|
1,632 |
||
|
vi) Ayuda para despensa |
|
|
|
|
|
3,600 |
||
|
vii) Seguro de vida |
|
|
|
|
|
70,000 |
||
|
viii) Seguro de gastos médicos
mayores |
|
|
|
|
70,000 |
|||
|
ix) Fondo de separación
individualizado |
|
|
|
|
312,886 |
|||
|
x ) Ayuda para el desarrollo personal
y cultural |
|
93,866 |
||||||
|
xi) Vales de despensa |
|
|
|
|
|
12,000 |
||
|
xii) Membresía SAM´S |
|
|
|
|
|
204 |
||
|
xiii) Día del niño |
|
|
|
|
|
800 |
||
|
II. Percepciones
extraordinarias: |
|
|
|
|
|
675,834 |
||
|
a) Pago extraordinario |
|
|
|
|
|
675,834 |
||
|
|
|
|
|
|
|
|
|
|
|
1/
Cálculo obtenido conforme a lo dispuesto en el artículo 113 de |
||||||||
|
ANEXO
16.10. INSTITUTO NACIONAL DE ESTADÍSTICA Y GEOGRAFÍA |
||||||||||
|
|
|
|
|
|
|
|
|
|
||
|
ANEXO
16.10.1. LÍMITES DE PERCEPCIÓN ORDINARIA TOTAL EN EL INSTITUTO NACIONAL DE
ESTADÍSTICA Y GEOGRAFÍA (NETOS MENSUALES, pesos) |
||||||||||
|
|
|
|
|
|
|
|
|
|
||
|
Tipos de personal |
Sueldos y salarios |
Prestaciones |
Percepción ordinaria total |
|||||||
|
(En efectivo y en especie) |
||||||||||
|
Mínimo |
Máximo |
Mínimo |
Máximo |
Mínimo |
Máximo |
|||||
|
Personal de
mando: |
||||||||||
|
Presidente el Instituto |
0 |
150,799 |
|
44,101 |
|
194,899 |
||||
|
Vicepresidente |
|
140,121 |
|
40,970 |
|
181,091 |
||||
|
Direccíon General |
|
127,130 |
|
36,993 |
|
164,123 |
||||
|
Dirección General Adjunta |
85,145 |
111,520 |
24,641 |
32,375 |
109,786 |
143,894 |
||||
|
Dirección de Área |
37,902 |
72,016 |
10,567 |
20,744 |
48,470 |
92,760 |
||||
|
Subdirección de Área |
21,092 |
37,843 |
5,758 |
10,550 |
26,850 |
48,392 |
||||
|
Jefatura de Departamento |
14,610 |
23,852 |
4,002 |
6,496 |
18,612 |
30,348 |
||||
|
Personal de Enlace Federal |
7,186 |
14,977 |
1,114 |
5,058 |
8,299 |
20,036 |
||||
|
Personal de Enlace Institucional |
7,186 |
14,532 |
1,114 |
4,922 |
8,299 |
19,454 |
||||
|
Personal Operativo Federal |
5,407 |
7,263 |
1,859 |
4,678 |
7,266 |
11,941 |
||||
|
Personal Operativo Institucional |
5,542 |
8,653 |
1,866 |
4,566 |
7,408 |
13,219 |
||||
|
ANEXO
16.10.2. REMUNERACIÓN TOTAL ANUAL DEL PRESIDENTE DEL INSTITUTO NACIONAL DE
ESTADÍSTICA Y GEOGRAFÍA (pesos) |
||||||||
|
|
|
|
|
|
|
|
|
|
|
NIVEL
JERÁRQUICO: HC3 |
Remuneración Recibida |
|||||||
|
REMUNERACIÓN
TOTAL ANUAL NETA (RTA) |
|
|
|
|
2,447,150 |
|||
|
Impuesto
sobre la renta retenido (28%) 1/ |
|
|
852,067 |
|||||
|
Percepción
bruta anual |
|
|
|
|
|
|
3,299,217 |
|
|
I.
Percepciones Ordinarias: |
|
|
|
|
|
3,299,217 |
||
|
a) Sueldos y
salarios: |
|
|
|
|
|
2,457,291 |
||
|
I) Sueldo Base |
|
|
|
|
|
284,006 |
||
|
II)
Compensación Garantizada |
|
2,173,285 |
||||||
|
b)
Prestaciones: |
|
|
|
|
|
|
841,925 |
|
|
I)
Aportaciones de seguridad social |
|
|
|
|
45,615 |
|||
|
II) Ahorro
solidario (Artículo 100 de |
|
18,460 |
||||||
|
III) Prima
vacacional |
|
|
|
|
|
7,889 |
||
|
IV)
Aguinaldo (sueldo base) |
|
|
|
|
|
44,467 |
||
|
V)
Gratificación de fin de año (Compensación Garantizada) |
|
335,384 |
||||||
|
VI) Prima
quinquenal (antigüedad) 3/ |
|
|
|
|
1,632 |
|||
|
VII) Ayuda
para despensa |
|
|
|
|
|
924 |
||
|
VIII) Seguro
de vida institucional |
|
34,156 |
||||||
|
IX) Seguro
Colectivo de Retiro |
|
710 |
||||||
|
X) Seguro de
Gastos médicos mayores |
|
|
|
|
11,398 |
|||
|
XI) Seguro
de Separación Individualizado |
|
341,290 |
||||||
|
XII) Apoyo
económico para adquisición de vehiculo |
|
0 |
||||||
|
II.
Percepciones extraordinarias |
|
|
|
|
|
0 |
||
|
a) Pago por
riesgo y potenciación de seguro de vida |
|
0 |
||||||
|
|
|
|
|
|
|
|
|
|
|
1/
Cálculo obtenido conforme a lo dispuesto en el artículo 113 de |
||||||||
|
2/
El ahorro solidario se calculó sobre el 6.5% del SB. |
||||||||
|
3/
Incluye la estimación por costo máximo de 5 quinquenios. |
||||||||
|
ANEXO
16.10.3. REMUNERACIÓN TOTAL ANUAL DEL VICEPRESIDENTE DEL INSTITUTO NACIONAL
DE ESTADÍSTICA Y GEOGRAFÍA (pesos) |
||||||||
|
|
|
|
|
|
|
|
|
|
|
NIVEL
JERÁRQUICO: HA1 |
Remuneración Recibida |
|||||||
|
REMUNERACIÓN
TOTAL ANUAL NETA (RTA) |
|
2,278,976 |
||||||
|
Impuesto
sobre la renta retenido (28%) 1/ |
|
787,628 |
||||||
|
Percepción
bruta anual |
|
|
|
|
|
|
3,066,604 |
|
|
I.
Percepciones Ordinarias: |
|
|
|
|
|
3,066,604 |
||
|
a)
Sueldos y salarios: |
|
|
|
|
|
2,279,332 |
||
|
I)
Sueldo Base |
|
|
|
|
|
284,006 |
||
|
II)
Compensación Garantizada |
|
1,995,325 |
||||||
|
b)
Prestaciones: |
|
|
|
|
|
|
787,272 |
|
|
I)
Aportaciones de seguridad social |
|
|
|
|
45,615 |
|||
|
II)
Ahorro solidario (Artículo 100 de |
|
18,460 |
||||||
|
III)
Prima vacacional |
|
|
|
|
|
7,889 |
||
|
IV)
Aguinaldo (sueldo base) |
|
|
|
|
|
44,467 |
||
|
V)
Gratificación de fin de año (Compensación Garantizada) |
|
307,921 |
||||||
|
VI)
Prima quinquenal (antigüedad) 3/ |
|
|
|
|
1,632 |
|||
|
VII)
Ayuda para despensa |
|
|
|
|
|
924 |
||
|
VIII)
Seguro de vida institucional |
|
31,683 |
||||||
|
IX)
Seguro Colectivo de Retiro |
|
710 |
||||||
|
X)
Seguro de Gastos médicos mayores |
|
|
|
|
11,398 |
|||
|
XI)
Seguro de Separación Individualizado |
|
316,574 |
||||||
|
XII)
Apoyo económico para adquisición de vehiculo |
|
0 |
||||||
|
II.
Percepciones extraordinarias |
|
|
|
|
|
0 |
||
|
a)
Pago por riesgo y potenciación de seguro de vida |
|
0 |
||||||
|
|
|
|
|
|
|
|
|
|
|
1/
Cálculo obtenido conforme a lo dispuesto en el artículo 113 de |
||||||||
|
2/
El ahorro solidario se calculó sobre el 6.5% del SB. |
||||||||
|
3/
Incluye la estimación por costo máximo de 5 quinquenios. |
||||||||
|
ANEXO
17. MONTOS MÁXIMOS DE ADJUDICACIONES MEDIANTE PROCEDIMIENTO DE ADJUDICACIÓN
DIRECTA Y DE INVITACIÓN A CUANDO MENOS TRES PERSONAS, SIN CONSIDERAR EL
IMPUESTO AL VALOR AGREGADO (miles de pesos) |
|||||||||||||
|
|
|
|
|
|
|
|
|
|
|||||
|
Adquisiciones, Arrendamientos y Servicios |
|||||||||||||
|
Presupuesto autorizado de adquisiciones,
arrendamientos y servicios |
Monto máximo total de cada operación que
podrá |
Monto máximo total de cada operación que
podrá |
|||||||||||
|
|
Mayor de |
Hasta |
Dependencias y Entidades |
Dependencias y Entidades |
|||||||||
|
|
15,000 |
140 |
480 |
||||||||||
|
|
15,000 |
30,000 |
160 |
690 |
|||||||||
|
|
30,000 |
50,000 |
180 |
900 |
|||||||||
|
|
50,000 |
100,000 |
200 |
1,110 |
|||||||||
|
|
100,000 |
150,000 |
220 |
1,325 |
|||||||||
|
|
150,000 |
250,000 |
250 |
1,600 |
|||||||||
|
|
250,000 |
350,000 |
270 |
1,800 |
|||||||||
|
|
350,000 |
450,000 |
290 |
1,910 |
|||||||||
|
|
450,000 |
600,000 |
310 |
2,120 |
|||||||||
|
|
600,000 |
750,000 |
320 |
2,230 |
|||||||||
|
|
750,000 |
1,000,000 |
350 |
1,440 |
|||||||||
|
|
1,000,000 |
|
370 |
2,550 |
|||||||||
|
Obras Públicas y Servicios Relacionados con
las Mismas |
|||||||||||||
|
Presupuesto autorizado para realizar obras
públicas y servicios relacionados con las mismas |
Monto máximo total de cada obra que podrá
adjudicarse directamente |
Monto máximo total de cada servicio
relacionado con obra pública que podrá adjudicarse directamente |
Monto máximo total de cada obra que podrá
adjudicarse mediante invitación a cuando menos tres personas |
Monto máximo total de cada servicio
relacionado con obra pública que podrá adjudicarse mediante invitación a
cuando menos tres personas |
|||||||||
|
Mayor de |
Hasta |
Dependencias y Entidades |
Dependencias y Entidades |
Dependencias y Entidades |
Dependencias y Entidades |
||||||||
|
|
15,000 |
215 |
106 |
1,910 |
1,485 |
||||||||
|
15,000 |
30,000 |
265 |
135 |
2,120 |
1,590 |
||||||||
|
30,000 |
50,000 |
320 |
160 |
2,440 |
1,910 |
||||||||
|
50,000 |
100,000 |
370 |
185 |
2,970 |
2,225 |
||||||||
|
100,000 |
150,000 |
425 |
215 |
3,500 |
2,650 |
||||||||
|
150,000 |
250,000 |
480 |
240 |
4,030 |
3,180 |
||||||||
|
250,000 |
350,000 |
585 |
290 |
4,670 |
3,500 |
||||||||
|
350,000 |
450,000 |
635 |
320 |
5,090 |
3,815 |
||||||||
|
450,000 |
600,000 |
745 |
370 |
6,050 |
4,560 |
||||||||
|
600,000 |
750,000 |
850 |
425 |
6,890 |
5,200 |
||||||||
|
750,000 |
1,000,000 |
950 |
480 |
7,740 |
5,830 |
||||||||
|
1,000,000 |
|
1,010 |
530 |
8,690 |
6,570 |
||||||||
|
|
|
|
|
|
|
|
|
|
|||||
|
Los
anteriores montos se establecen sin perjuicio de los umbrales derivados de
los tratados de libre comercio suscritos por México, por lo que las
contrataciones por montos superiores a dichos umbrales deberán licitarse,
salvo que las mismas se incluyan en la reserva correspondiente; o se cumpla
con algún supuesto de excepción a la licitación pública prevista en dichos
tratados. |
|||||||||||||
|
ANEXO 18. PROGRAMAS SUJETOS A REGLAS
DE OPERACIÓN |
||||||||
|
|
|
|
|
|
|
|
|
|
|
06 Hacienda y Crédito Público |
||||||||
|
|
Subsidio a |
|
|
|||||
|
|
Fortalecimiento a |
|
|
|||||
|
|
Programa de Apoyo a los Fondos de
Aseguramiento Agropecuario |
|
|
|||||
|
|
Programa de esquema de financiamiento y
subsidio federal para vivienda |
|
|
|||||
|
|
Programas Albergues Escolares Indígenas
(PAEI) |
|
|
|||||
|
|
Programa de Infraestructura Básica para |
|||||||
|
|
Programa Fondos Regionales Indígenas (PFRI) |
|
|
|||||
|
|
Programa Organización Productiva para
Mujeres Indígenas (POPMI) |
|
|
|||||
|
|
Programa Promoción de Convenios en Materia
de Justicia (PPCMJ) |
|
|
|||||
|
|
Programa de Fomento y Desarrollo de las
Culturas Indígenas (PFDCI) |
|
|
|||||
|
|
Programa Turismo Alternativo en Zonas
Indígenas (PTAZI) |
|
|
|||||
|
|
Programa de Coordinación para el Apoyo a |
|
|
|||||
|
|
Fondo de Contingencias y Autoseguro |
|
|
|||||
|
|
Programa de Garantías Líquidas |
|
|
|||||
|
|
Programa Integral de Formación,
Capacitación y Consultoría para Productores Intermediarios Financieros
Rurales |
|||||||
|
|
Apoyos para el Fomento Financiero y
Tecnológico de los Sectores Agropecuario y Pesquero |
|||||||
|
|
Programa Capital de Riesgo y para Servicios
de Cobertura |
|
|
|||||
|
08 Agricultura, Ganadería, Desarrollo
Rural, Pesca y Alimentación |
||||||||
|
|
PROCAMPO para Vivir Mejor |
|
|
|||||
|
|
Programa para |
|
|
|||||
|
|
Programa de Atención a Contingencias
Climatológicas |
|
|
|||||
|
|
Programa de Uso Sustentable de Recursos
Naturales para la Producción Primaria |
|||||||
|
|
Programa de Soporte |
|
|
|||||
|
|
Programa de Inducción y Desarrollo del
Financiamiento al Medio Rural |
|
|
|||||
|
|
Programa de Atención a Problemas
Estructurales |
|
|
|||||
|
|
Programa de Fortalecimiento a la
Organización Rural |
|
|
|||||
|
09 Comunicaciones y Transportes |
|
|
|
|
|
|
||
|
|
Programa de Empleo Temporal (PET) |
|
||||||
|
10 Economía |
||||||||
|
|
Fondo de Microfinanciamiento a Mujeres
Rurales (FOMMUR) |
|
|
|||||
|
|
Fondo Nacional de Apoyos para Empresas en
Solidaridad (FONAES) |
|
|
|||||
|
|
Fondo de Apoyo para |
|
|
|||||
|
|
Programa Nacional de Financiamiento al
Microempresario |
|
|
|||||
|
|
Comité Nacional de Productividad e
Innovación Tecnológica (COMPITE) |
|
|
|||||
|
|
Programa para el Desarrollo de |
|
|
|||||
|
|
Competitividad en Logística y Centrales de
Abasto |
|
|
|||||
|
|
Programa para el Desarrollo de las
Industrias de Alta Tecnología (PRODIAT) |
|
|
|||||
|
11 Educación |
||||||||
|
|
Programa de Educación Inicial y Básica para
|
|
||||||
|
|
Programa Atención a |
|
||||||
|
|
Programa de Mejoramiento del Profesorado
(PROMEP) |
|
||||||
|
|
Programa Nacional de Becas y Financiamiento
(PRONABES) |
|
||||||
|
|
Programa Escuelas de Calidad |
|
||||||
|
|
Programa Fondo de Modernización para |
|
||||||
|
|
Programa Fondo de Inversión de
Universidades Públicas Estatales con Evaluación de |
|||||||
|
|
Programa de Fortalecimiento de |
|
||||||
|
|
Programa de Mejoramiento Institucional de
las Escuelas Normales Públicas |
|
||||||
|
|
Programa de Desarrollo Humano Oportunidades |
|
||||||
|
|
Programa de Acciones Compensatorias para
Abatir el Rezago Educativo en Educación Inicial y Básica (CONAFE) |
|||||||
|
|
Modelo de Educación para |
|
||||||
|
|
Modelo Comunitario de Educación Inicial y
Básica para Población Indígena y Migrante (CONAFE) |
|
||||||
|
|
Programa Becas de Apoyo a |
|
||||||
|
|
Programa de Educación Básica para Niños y
Niñas de Familias Jornaleras Agricolas Migrantes |
|
||||||
|
|
Programa Asesor Técnico Pedagógico |
|
||||||
|
|
Programa Educativo Rural |
|
||||||
|
|
Programa del Sistema Nacional de Formación
Continua y Superación Profesional de Maestros de Educación Básica en Servicio |
|||||||
|
|
Programa Nacional de Lectura |
|
||||||
|
|
Programa para el Fortalecimiento del
Servicio de la Educación Telesecundaria |
|
||||||
|
|
Programa Beca de Apoyo a |
|||||||
|
|
Cultura Física |
|
||||||
|
|
Deporte |
|
||||||
|
|
Sistema Mexicano del Deporte de Alto
Rendimiento |
|
||||||
|
|
Programa de Apoyo a las Culturas
Municipales y Comunitarias (PACMYC) |
|
||||||
|
|
Programa de Apoyo a Comunidades para
Restauración de Monumentos y Bienes Artísticos de Propiedad Federal
(FOREMOBA) |
|||||||
|
|
Programa de Apoyo a |
|
||||||
|
|
Programa Escuelas de Tiempo Completo |
|
||||||
|
|
Programa de Escuela Segura |
|
||||||
|
|
Habilidades digitales para todos |
|
||||||
|
12 Salud |
|
|
|
|
|
|
|
|
|
|
Programa Comunidades Saludables |
|
||||||
|
|
Programas de Atención a Personas con
Discapacidad |
|
||||||
|
|
Programa de Desarrollo Humano Oportunidades |
|
||||||
|
|
Programas para |
|
||||||
|
|
Programas de Atención a Familias y
Población Vulnerable |
|
||||||
|
|
Programa de estancias infantiles para
apoyar a madres trabajadoras |
|
||||||
|
|
Caravanas de la Salud |
|
||||||
|
|
Seguro Médico para una Nueva Generación |
|
||||||
|
|
Sistema Integral de Calidad en Salud |
|
||||||
|
14 Trabajo y Previsión Social |
|
|
|
|
|
|
|
|
|
|
Programa de Apoyo al Empleo (PAE) |
|
||||||
|
15 Reforma Agraria |
|
|
|
|
|
|
|
|
|
|
Programa de |
|
||||||
|
|
Fondo de Apoyo para Proyectos Productivos
(FAPPA) |
|
||||||
|
|
Joven Emprendedor Rural y Fondo de Tierras |
|
||||||
|
16 Medio Ambiente y Recursos
Naturales |
|
|
|
|
|
|
||
|
|
ProÁrbol-Programa de Desarrollo Forestal
(PRODEFOR) |
|
||||||
|
|
ProÁrbol-Programa de Plantaciones
Forestales Comerciales (PRODEPLAN) |
|
||||||
|
|
Programa de Conservación para el Desarrollo
Sostenible (PROCODES) |
|
||||||
|
|
Programa de Agua Limpia |
|
||||||
|
|
Programa de Desarrollo Institucional
Ambiental (PDIA) |
|
||||||
|
|
Programa de Empleo Temporal (PET) |
|
||||||
|
|
Programa de Agua Potable, Alcantarillado y
Saneamiento en Zonas Urbanas |
|
||||||
|
|
Programa para |
|||||||
|
|
Programa de Rehabilitación y Modernización
de Distritos de Riego |
|
||||||
|
|
Programa de Desarrollo Parcelario |
|
||||||
|
|
ProÁrbol-Programa de Pago por Servicios
Ambientales (PSA) |
|
||||||
|
|
ProÁrbol-Programa de Conservación y
Restauración de Ecosistemas Forestales (PROCOREF) |
|
||||||
|
|
ProÁrbol-Programa de servicios ambientales
por captura de carbono, biodiversidad y sistemas agroforestales (CABSA) |
|||||||
|
|
Programa de Modernización y Tecnificación
de Unidades de Riego |
|
||||||
|
|
Fondo Concursable para el Tratamiento de
Aguas Residuales |
|
||||||
|
|
ProÁrbol- Apoyo para las Acciones
Preventivas de Incendios Forestales |
|
||||||
|
19 Aportaciones a Seguridad Social |
||||||||
|
|
Programa IMSS-Oportunidades |
|
||||||
|
20 Desarrollo Social |
||||||||
|
|
Programa Hábitat |
|
||||||
|
|
Programa de Abasto Social de Leche a cargo
de Liconsa, S.A. de C.V. |
|
||||||
|
|
Programa de Abasto Rural a cargo de
Diconsa, S.A. de C.V. (DICONSA) |
|
||||||
|
|
Programa de Opciones Productivas |
|
||||||
|
|
Programas del Fondo Nacional de Fomento a
las Artesanías (FONART) |
|
||||||
|
|
Programa de Ahorro y Subsidio para |
|
||||||
|
|
Programa 3 x 1 para Migrantes |
|
||||||
|
|
Programa de Atención a Jornaleros Agrícolas |
|
||||||
|
|
Programa de Coinversión Social |
|
||||||
|
|
Programa de Empleo Temporal (PET) |
|
||||||
|
|
Programa de Desarrollo Humano Oportunidades |
|
||||||
|
|
Programa de Vivienda Rural |
|
||||||
|
|
Programa de Apoyo Alimentario |
|
||||||
|
|
Programa de Apoyo a las Instancias de
Mujeres en las Entidades Federativas, Para Implementar y Ejecutar Programas
de Prevención de |
|||||||
|
|
Programa de estancias infantiles para
apoyar a madres trabajadoras |
|
||||||
|
|
Rescate de espacios públicos |
|
||||||
|
|
Programa 70 y más |
|
||||||
|
|
Programa de apoyo a los avecindados en
condiciones de pobreza patrimonial para regularizar asentamientos humanos
irregulares (PASPRAH) |
|||||||
|
|
Programa para el Desarrollo de Zonas
Prioritarias |
|||||||
|
38 Consejo Nacional de Ciencia y
Tecnología |
||||||||
|
|
Becas de posgrado y otras modalidades de
apoyo a la calidad |
|
||||||
|
|
Sistema Nacional de Investigadores |
|
||||||
|
|
Fortalecimiento a nivel sectorial de las
capacidades científicas, tecnológicas y de innovación |
|
||||||
|
|
Fortalecimiento en las Entidades
Federativas de las capacidades científicas, tecnológicas y de
innovación |
|||||||
|
ANEXO 19.
PROGRAMA DE DESARROLLO HUMANO OPORTUNIDADES (millones de pesos) |
||||||||
|
|
|
|
|
|
|
|
|
|
|
|
|
|
|
|
|
|
|
Monto |
|
Desarrollo
Social |
35,028.2 |
|||||||
|
Educación
Pública |
23,134.4 |
|||||||
|
Salud |
4,926.5 |
|||||||
|
TOTAL |
63,089.1 |
|||||||
|
ANEXO
20. ESTRATEGIA NACIONAL PARA |
||||||||
|
|
|
|
|
|
|
|
|
|
|
Ramo |
Monto |
|||||||
|
Total |
10,146,535,441
|
|||||||
|
4 Gobernación |
12,000,000
|
|||||||
|
Instituto Nacional de Migración |
12,000,000
|
|||||||
|
8 Agricultura, Ganadería, Desarrollo Rural,
Pesca y Alimentación |
1,100,000,000
|
|||||||
|
12 Salud |
400,000
|
|||||||
|
18 Energía |
9,025,840,041
|
|||||||
|
Secretaría de Energía |
1,500,000,000
|
|||||||
|
Instituto Mexicano del Petróleo |
390,000
|
|||||||
|
I.I.I. Servicios, S.A. de C.V. |
1,920,000
|
|||||||
|
Instituto de Investigaciones Eléctricas |
420,000
|
|||||||
|
Comisión Federal de Electricidad |
888,255,748
|
|||||||
|
Pemex Refinación |
6,328,642,101
|
|||||||
|
Pemex Gas y Petroquímica Básica |
145,052,800
|
|||||||
|
Pemex Petroquímica |
95,083,687
|
|||||||
|
Pemex Exploración y Producción |
66,075,705
|
|||||||
|
21 Turismo |
8,295,400
|
|||||||
|
ANEXO 21.
PRINCIPALES PROGRAMAS |
||||||||
|
|
|
|
|
|
|
|
|
|
|
4 |
Gobernación |
|||||||
|
|
|
Servicios
Migratorios en Fronteras, Puertos y Aeropuertos |
||||||
|
|
|
Promover |
||||||
|
|
|
Registro e
Identificación de Población (Programa de Credencialización) |
||||||
|
|
|
Operación
del Sistema Nacional de Protección Civil |
||||||
|
6 |
Hacienda y
Crédito Público |
|||||||
|
|
|
Programas de
|
||||||
|
|
|
Programa de
Esquema de Financiamiento y Subsidio Federal para Vivienda |
||||||
|
08 |
Agricultura,
Ganadería, Desarrollo Rural, Pesca y Alimentación |
|||||||
|
|
|
PROCAMPO
para Vivir Mejor |
||||||
|
|
|
Programa
para |
||||||
|
|
|
Programa de
Atención a Contingencias Climatológicas |
||||||
|
|
|
Programa de
Uso Sustentable de Recursos Naturales para |
||||||
|
|
|
Programa de
Soporte |
|
|
|
|
|
|
|
|
|
Programa de
Inducción y Desarrollo del Financiamiento al Medio Rural |
||||||
|
|
|
Programa de
Atención a Problemas Estructurales |
||||||
|
09 |
Comunicaciones
y Transportes |
|||||||
|
|
|
Proyectos de
infraestructura económica de carreteras |
||||||
|
|
|
Proyectos de
infraestructura económica de carreteras alimentadoras y caminos rurales |
||||||
|
|
|
Mantenimiento
de Carreteras |
||||||
|
|
|
Programa de
Empleo Temporal (PET) |
|
|
|
|
||
|
|
|
Servicios en
puertos, aeropuertos y ferrocarriles |
||||||
|
10 |
Economía |
|
|
|
|
|
|
|
|
|
|
Fondo
Nacional de Apoyos para Empresas en Solidaridad (FONAES) |
||||||
|
|
|
Fondo de
Apoyo para |
||||||
|
11 |
Educación
Pública |
|
|
|
|
|
|
|
|
|
|
Programa de
Educación inicial y básica para la población rural e indígena |
||||||
|
|
|
Programa
Nacional de Becas y Financiamiento (PRONABES) |
||||||
|
|
|
Programa
Escuelas de Calidad |
||||||
|
|
|
Programa
Fondo de Modernización para |
||||||
|
|
|
Programa
Fondo de Inversión de Universidades Públicas Estatales con Evaluación de |
||||||
|
|
|
Programa de
Desarrollo Humano Oportunidades |
||||||
|
|
|
Acciones
Compensatorias para Abatir el Rezago Educativo en Educación Inicial y Básica
(CONAFE) |
||||||
|
|
|
Programa de
Escuela Segura |
||||||
|
|
|
Subsidios
federales para organismos descentralizados estatales |
||||||
|
|
|
Programa de
becas |
|
|
|
|
|
|
|
|
|
Enciclomedia |
|
|
|
|
|
|
|
|
|
Prestación
de servicios de educación media superior |
||||||
|
|
|
Prestación
de servicios de educación técnica |
||||||
|
|
|
Prestación
de servicios de educación superior y posgrado |
||||||
|
|
|
Otorgamiento
y difusión de servicios culturales |
||||||
|
|
|
Investigación
científica y desarrollo tecnológico |
||||||
|
|
|
Mejores
Escuelas |
|
|
|
|
|
|
|
|
|
Producción y
distribución de libros de texto gratuitos |
||||||
|
|
|
Proyectos de
infraestructura social de educación |
||||||
|
12 |
Salud |
|
|
|
|
|
|
|
|
|
|
Programa
Comunidades Saludables |
||||||
|
|
|
Programas de
Atención a Personas con Discapacidad |
||||||
|
|
|
Programa de
Desarrollo Humano Oportunidades |
||||||
|
|
|
Programas
para |
||||||
|
|
|
Programas de
Atención a Familias y Población Vulnerable |
||||||
|
|
|
Caravanas de
la Salud |
|
|
|
|
|
|
|
|
|
Seguro
Médico para una Nueva Generación |
||||||
|
|
|
Sistema
Integral de Calidad en Salud |
||||||
|
|
|
Seguro
Popular |
|
|
|
|
|
|
|
|
|
Prevención y
atención contra las adicciones |
||||||
|
|
|
Prevención y
atención de VIH/SIDA y otras ITS |
||||||
|
14 |
Trabajo y
Previsión Social |
|
|
|
|
|
|
|
|
|
|
Programa de
Apoyo al Empleo (PAE) |
|
|
|
|
||
|
15 |
Reforma
Agraria |
|
|
|
||||
|
|
|
Programa de |
||||||
|
|
|
Fondo de
Apoyo para Proyectos Productivos (FAPPA) |
||||||
|
|
|
Joven
Emprendedor Rural y Fondo de Tierras |
|
|||||
|
|
|
Atención de
conflictos agrarios |
||||||
|
|
|
Modernización
del Catastro Rural Nacional |
|
|
|
|
||
|
16 |
Medio
Ambiente y Recursos Naturales |
|
|
|
|
|
||
|
|
|
ProÁrbol |
|
|
|
|
|
|
|
|
|
Programa de
Conservación para el Desarrollo Sostenible (PROCODES) |
||||||
|
|
|
Programa de
Agua Potable, Alcantarillado y Saneamiento en Zonas Urbanas |
||||||
|
|
|
Programa
para |
||||||
|
|
|
Programa de
Modernización y Tecnificación de Unidades de Riego |
||||||
|
|
|
Fondo
Concursable para el Tratamiento de Aguas Residuales |
||||||
|
|
|
Prevención y
Gestión Integral de Residuos |
|
|
|
|
||
|
|
|
Proyectos de
Infraestructura Económica de Agua Potable, Alcantarillado y Saneamiento |
||||||
|
|
|
Programa de
Cultura del Agua |
||||||
|
|
|
Túnel Emisor
Oriente y Central y Planta de Tratamiento Atotonilco |
||||||
|
|
|
Infraestructura
de Riego |
|
|
|
|
|
|
|
|
|
Infraestructura
de temporal |
|
|
|
|
|
|
|
|
|
Zona de
Mitigación y Rescate Ecológico en el Lago Texcoco |
||||||
|
|
|
Recuperación
y Repoblación de Especies de Vida Silvestre y en Peligro de Extinción |
||||||
|
|
|
Consolidar
el Sistema Nacional de Áreas Naturales Protegidas |
||||||
|
|
|
Programa de
Remediación de Sitios Contaminados |
||||||
|
|
|
Restauración
y Conservación de Polígonos Forestales de Alta Biodiversidad |
||||||
|
|
|
Operación y
Mantenimiento del Sistema Cutzamala |
||||||
|
|
|
Programa de
Empleo Temporal |
||||||
|
17 |
Procuraduría
General de la República |
|
|
|
|
|
||
|
|
|
Combate a
delitos del fuero federal |
||||||
|
|
|
Combate a la
delincuencia organizada |
|
|
|
|
||
|
20 |
Desarrollo
Social |
|
|
|
|
|
|
|
|
|
|
Programa
Hábitat |
||||||
|
|
|
Programa de
Abasto Social de Leche a cargo de Liconsa, S.A. de C.V. |
||||||
|
|
|
Programa de
Abasto Rural a cargo de Diconsa, S.A. de C.V. (DICONSA) |
||||||
|
|
|
Programa de
Ahorro y Subsidio para |
||||||
|
|
|
Programa 3 x
1 para Migrantes |
||||||
|
|
|
Programa de
Coinversión Social |
||||||
|
|
|
Programa de
Empleo Temporal (PET) |
|
|
|
|
||
|
|
|
Programa de
Desarrollo Humano Oportunidades |
||||||
|
|
|
Programa de
Vivienda Rural |
|
|
|
|
|
|
|
|
|
Programa de
Apoyo Alimentario |
||||||
|
|
|
Programa de
estancias infantiles para apoyar a madres trabajadoras |
||||||
|
|
|
Rescate de
espacios públicos |
||||||
|
|
|
Programa 70
y más |
|
|
|
|
|
|
|
|
|
Programa
para el Desarrollo de Zonas Prioritarias |
||||||
|
21 |
Turismo |
|
|
|
|
|
|
|
|
|
|
Conservación
y Mantenimiento a los CIP's a Cargo del FONATUR |
|
|
|
|||
|
|
|
Promoción y
Desarrollo de Programas y Proyectos Turísticos de las Entidades
Federativas |
||||||
|
|
|
Servicios de
Orientación y Asistencia Turística |
||||||
|
|
|
Promoción de
México como Destino Turístico |
|
|||||
|
|
|
Mantenimiento
de Infraestructura |
||||||
|
|
|
Proyectos de
Infraestructura de Turismo |
|
|
|
|
||
|
36 |
Seguridad
Pública |
|
|
|
|
|
|
|
|
|
|
Otorgamiento
de subsidios en materia de Seguridad Pública a Entidades Federativas,
Municipios y el Distrito Federal |
||||||
|
|
|
Desarrollo
de instrumentos para la prevención del delito |
||||||
|
|
|
Implementación
de operativos para la prevención y disuasión del delito |
||||||
|
|
|
Administración
del Sistema Federal Penitenciario |
||||||
|
|
|
Plataforma
México |
|
|
|
|
|
|
|
38 |
Consejo
Nacional de Ciencia y Tecnología |
|||||||
|
|
|
Becas de
posgrado y otras modalidades de apoyo a la calidad |
||||||
|
|
|
Sistema
Nacional de Investigadores |
||||||
|
ANEXO 22. ADECUACIONES APROBADAS POR |
||||||||
|
|
|
|
|
|
|
|
|
|
|
|
|
|
|
Proyecto PEF |
Reducciones |
Ampliaciones |
Reasignaciones |
Presupuesto Aprobado |
|
A: RAMOS AUTÓNOMOS |
|
|
60,529,872,078 |
7,435,030,000 |
0 |
-7,435,030,000 |
53,094,842,078 |
|
|
Gasto Programable |
|
|
|
|
|
|
|
|
|
|
01 |
Poder
Legislativo |
|
10,199,963,905 |
650,000,000 |
0 |
-650,000,000 |
9,549,963,905 |
|
|
|
Cámara
de Senadores |
3,819,947,913 |
250,000,000 |
0 |
-250,000,000 |
3,569,947,913 |
|
|
|
|
Cámara
de Diputados |
5,153,515,992 |
400,000,000 |
0 |
-400,000,000 |
4,753,515,992 |
|
|
|
|
Auditoría
Superior de la Federación |
1,226,500,000 |
0 |
0 |
0 |
1,226,500,000 |
|
|
|
03 |
Poder
Judicial |
|
40,108,570,217 |
6,085,030,000 |
0 |
-6,085,030,000 |
34,023,540,217 |
|
|
|
Suprema
Corte de Justicia de la Nación |
4,476,176,131 |
0 |
0 |
0 |
4,476,176,131 |
|
|
|
|
Consejo
de la Judicatura Federal |
33,637,455,886 |
6,000,000,000 |
0 |
-6,000,000,000 |
27,637,455,886 |
|
|
|
|
Tribunal
Electoral del Poder Judicial de la Federación |
1,994,938,200 |
85,030,000 |
0 |
-85,030,000 |
1,909,908,200 |
|
|
|
22 |
Instituto
Federal Electoral |
9,231,759,587 |
600,000,000 |
0 |
-600,000,000 |
8,631,759,587 |
|
|
|
35 |
Comisión
Nacional de los Derechos Humanos |
989,578,369 |
100,000,000 |
0 |
-100,000,000 |
889,578,369 |
|
|
RAMO: 40 INFORMACIÓN NACIONAL ESTADÍSTICA Y GEOGRÁFICA |
|
|
|
|
||||
|
|
|
Instituto
Nacional de Estadística y Geografía |
8,765,687,413 |
0 |
0 |
0 |
8,765,687,413 |
|
|
B: RAMOS ADMINISTRATIVOS |
|
767,692,437,572 |
55,543,853,064 |
75,357,200,000 |
19,813,346,936 |
787,505,784,508 |
||
|
Gasto Programable |
|
|
|
|
|
|
|
|
|
|
02 |
Presidencia
de la República |
1,727,562,262 |
49,721,602 |
0 |
-49,721,602 |
1,677,840,660 |
|
|
|
04 |
Gobernación |
|
8,640,878,144 |
1,339,245,462 |
1,069,000,000 |
-270,245,462 |
8,370,632,682 |
|
|
05 |
Relaciones
Exteriores |
6,094,491,117 |
154,134,015 |
5,000,000 |
-149,134,015 |
5,945,357,102 |
|
|
|
06 |
Hacienda
y Crédito Público |
34,087,117,169 |
963,768,388 |
3,333,000,000 |
2,369,231,612 |
36,456,348,781 |
|
|
|
07 |
Defensa
Nacional |
|
42,531,335,057 |
148,924,746 |
1,250,000,000 |
1,101,075,254 |
43,632,410,311 |
|
|
08 |
Agricultura,
Ganadería, Desarrollo Rural, Pesca y Alimentación |
60,785,051,806 |
671,599,889 |
13,255,000,000 |
12,583,400,111 |
73,368,451,917 |
|
|
|
09 |
Comunicaciones
y Transportes |
61,587,000,000 |
589,913,305 |
19,265,700,000 |
18,675,786,695 |
80,262,786,695 |
|
|
|
10 |
Economía |
|
13,246,131,938 |
230,793,871 |
1,339,400,000 |
1,108,606,129 |
14,354,738,067 |
|
|
11 |
Educación
Pública |
196,415,595,798 |
2,868,936,688 |
17,639,500,000 |
14,770,563,312 |
211,186,159,110 |
|
|
|
12 |
Salud |
|
89,363,655,045 |
4,410,124,118 |
4,939,400,000 |
529,275,882 |
89,892,930,927 |
|
|
13 |
Marina |
|
15,887,052,263 |
145,183,070 |
250,000,000 |
104,816,930 |
15,991,869,193 |
|
|
14 |
Trabajo
y Previsión Social |
3,769,426,176 |
91,560,262 |
0 |
-91,560,262 |
3,677,865,914 |
|
|
|
15 |
Reforma
Agraria |
|
4,387,556,368 |
112,433,223 |
920,000,000 |
807,566,777 |
5,195,123,145 |
|
|
16 |
Medio
Ambiente y Recursos Naturales |
40,485,911,137 |
721,608,700 |
6,471,900,000 |
5,750,291,300 |
46,236,202,437 |
|
|
|
17 |
Procuraduría
General de la República |
12,090,878,967 |
327,704,910 |
18,300,000 |
-309,404,910 |
11,781,474,057 |
|
|
|
18 |
Energía
1/ |
|
38,251,717,463 |
35,088,095,125 |
0 |
-35,088,095,125 |
3,163,622,338 |
|
|
20 |
Desarrollo
Social |
|
84,243,333,123 |
6,566,441,785 |
2,500,000,000 |
-4,066,441,785 |
80,176,891,338 |
|
|
21 |
Turismo |
|
3,000,765,879 |
70,007,344 |
1,005,000,000 |
934,992,656 |
3,935,758,535 |
|
|
27 |
Función
Pública |
|
1,310,369,126 |
61,610,172 |
0 |
-61,610,172 |
1,248,758,954 |
|
|
31 |
Tribunales
Agrarios |
775,086,631 |
24,419,635 |
0 |
-24,419,635 |
750,666,996 |
|
|
|
32 |
Tribunal
Federal de Justicia Fiscal y Administrativa |
1,608,536,145 |
39,112,970 |
150,000,000 |
110,887,030 |
1,719,423,175 |
|
|
|
36 |
Seguridad
Pública |
31,802,779,781 |
581,003,119 |
1,216,000,000 |
634,996,881 |
32,437,776,662 |
|
|
|
37 |
Consejería
Jurídica del Ejecutivo Federal |
101,673,556 |
5,570,457 |
0 |
-5,570,457 |
96,103,099 |
|
|
|
38 |
Consejo
Nacional de Ciencia y Tecnología |
15,498,532,621 |
281,940,208 |
730,000,000 |
448,059,792 |
15,946,592,413 |
|
|
C: RAMOS GENERALES |
|
|
1,522,439,426,927 |
32,898,737,633 |
38,008,030,000 |
5,109,292,367 |
1,527,548,719,294 |
|
|
Gasto Programable |
|
|
|
|
|
|
|
|
|
|
19 |
Aportaciones
a Seguridad Social 1/ |
287,591,497,519 |
5,268,606,641 |
14,674,800,000 |
9,406,193,359 |
296,997,690,878 |
|
|
|
23 |
Provisiones
Salariales y Económicas |
43,239,513,278 |
0 |
22,583,230,000 |
22,583,230,000 |
65,822,743,278 |
|
|
|
25 |
Previsiones
y Aportaciones para los Sistemas de Educación Básica, Normal, Tecnológica y |
43,101,034,747 |
6,975,944 |
750,000,000 |
743,024,056 |
43,844,058,803 |
|
|
|
|
Previsiones para servicios personales para los
servicios de educación básica en el Distrito Federal, para el Fondo de
Aportaciones para |
11,251,614,400 |
0 |
750,000,000 |
750,000,000 |
12,001,614,400 |
|
|
|
|
Aportaciones para los servicios de
educación básica y normal en el Distrito Federal |
31,849,420,347 |
6,975,944 |
0 |
-6,975,944 |
31,842,444,403 |
|
|
|
33 |
Aportaciones
Federales para Entidades Federativas y Municipios |
423,221,711,104 |
3,913,667,100 |
0 |
-3,913,667,100 |
419,308,044,004 |
|
|
|
|
Fondo de Aportaciones para |
234,357,706,491 |
0 |
0 |
0 |
234,357,706,491 |
|
|
|
|
Fondo de Aportaciones para los Servicios de Salud |
53,100,077,838 |
0 |
0 |
0 |
53,100,077,838 |
|
|
|
|
Fondo de Aportaciones para |
42,731,205,000 |
1,344,662,500 |
0 |
-1,344,662,500 |
41,386,542,500 |
|
|
|
|
Estatal |
5,179,022,046 |
162,973,095 |
0 |
-162,973,095 |
5,016,048,951 |
|
|
|
|
Municipal |
37,552,182,954 |
1,181,689,405 |
0 |
-1,181,689,405 |
36,370,493,549 |
|
|
|
|
Fondo de Aportaciones para el
Fortalecimiento de los Municipios y de las Demarcaciones Territoriales del
Distrito Federal |
43,796,066,629 |
1,378,171,490 |
0 |
-1,378,171,490 |
42,417,895,139 |
|
|
|
|
Fondo de Aportaciones Múltiples, que se distribuye para
erogaciones de: |
13,913,280,348 |
437,822,110 |
0 |
-437,822,110 |
13,475,458,238 |
|
|
|
|
Asistencia Social |
6,345,920,276 |
199,692,965 |
0 |
-199,692,965 |
6,146,227,311 |
|
|
|
|
Infraestructura Educativa |
7,567,360,072 |
238,129,145 |
0 |
-238,129,145 |
7,329,230,927 |
|
|
|
|
Fondo de Aportaciones para |
4,477,099,998 |
0 |
0 |
0 |
4,477,099,998 |
|
|
|
|
Educación Tecnológica |
2,662,608,819 |
0 |
0 |
0 |
2,662,608,819 |
|
|
|
|
Educación de Adultos |
1,814,491,179 |
0 |
0 |
0 |
1,814,491,179 |
|
|
|
|
Fondo de Aportaciones para |
6,916,800,000 |
0 |
0 |
0 |
6,916,800,000 |
|
|
|
|
Fondo de Aportaciones para el
Fortalecimiento de las Entidades Federativas |
23,929,474,800 |
753,011,000 |
0 |
-753,011,000 |
23,176,463,800 |
|
|
Gasto No Programable |
|
|
|
|
|
|||
|
|
24 |
Deuda
Pública |
|
237,910,980,862 |
5,000,000,000 |
0 |
-5,000,000,000 |
232,910,980,862 |
|
|
28 |
Participaciones
a Entidades Federativas y Municipios |
453,612,242,057 |
12,033,087,948 |
0 |
-12,033,087,948 |
441,579,154,109 |
|
|
|
29 |
Erogaciones
para las Operaciones y Programas de Saneamiento Financiero |
0 |
0 |
0 |
0 |
0 |
|
|
|
30 |
Adeudos
de Ejercicios Fiscales Anteriores |
20,000,000,000 |
6,676,400,000 |
0 |
-6,676,400,000 |
13,323,600,000 |
|
|
|
34 |
Erogaciones
para los Programas de Apoyo a Ahorradores y Deudores de la Banca |
13,762,447,360 |
0 |
0 |
0 |
13,762,447,360 |
|
|
|
|
Obligaciones incurridas a través de los programas de
apoyo a deudores |
2,434,947,360 |
0 |
0 |
0 |
2,434,947,360 |
|
|
|
|
Obligaciones surgidas de los programas de apoyo a
ahorradores |
11,327,500,000 |
0 |
0 |
0 |
11,327,500,000 |
|
|
D: ENTIDADES SUJETAS A CONTROL PRESUPUESTARIO DIRECTO |
1,116,842,469,152 |
53,800,709,419 |
0 |
-53,800,709,419 |
1,063,041,759,733 |
|||
|
Gasto Programable |
|
|
|
|
|
|
||
|
|
GYN |
Instituto
de Seguridad y Servicios Sociales de los Trabajadores del Estado |
112,488,700,000 |
5,423,071,067 |
0 |
-5,423,071,067 |
107,065,628,933 |
|
|
|
GYR |
Instituto
Mexicano del Seguro Social |
320,379,600,000 |
0 |
0 |
0 |
320,379,600,000 |
|
|
|
TOQ |
Comisión
Federal de Electricidad |
220,298,000,000 |
9,838,624,341 |
0 |
-9,838,624,341 |
210,459,375,659 |
|
|
|
T1O |
Luz
y Fuerza del Centro 1/ |
30,049,122,675 |
30,049,122,675 |
0 |
-30,049,122,675 |
0 |
|
|
|
TZZ |
Petróleos
Mexicanos (Consolidado) |
384,423,900,000 |
8,489,891,336 |
0 |
-8,489,891,336 |
375,934,008,664 |
|
|
Gasto No Programable |
|
|
|
|
|
|
||
|
|
|
Costo
Financiero, que se distribuye para erogaciones de: |
49,203,146,477 |
0 |
0 |
0 |
49,203,146,477 |
|
|
|
TOQ |
Comisión
Federal de Electricidad |
8,904,710,828 |
0 |
0 |
0 |
8,904,710,828 |
|
|
|
TZZ |
Petróleos
Mexicanos (Consolidado) |
40,298,435,649 |
0 |
0 |
0 |
40,298,435,649 |
|
|
Neteo: Resta de: a) aportaciones
ISSSTE de Gobierno Federal y de los Poderes y Ramos Autónomos; b) subsidios y
transferencias a las entidades paraestatales de control directo en |
303,909,993,142 |
40,285,200,116 |
0 |
-40,285,200,116 |
263,624,793,026 |
|||
|
GASTO NETO TOTAL |
3,172,359,900,000 |
109,393,130,000 |
113,365,230,000 |
3,972,100,000 |
3,176,332,000,000 |
|||
|
|
|
|
|
|
|
|
|
|
|
1/ Considera la reducción en la
asignación presupuestaria de Luz y Fuerza del Centro derivado del Decreto por
el que se extingue dicho organismo descentralizado publicado el 11 de octubre
de 2009 así como las previsiones en el ramo de Aportaciones a Seguridad
Social de las pensiones en curso de pago de los jubilados del citado
organismo en liquidación. Los recursos remanentes por 17 mil 751.3 millones
de pesos forman parte de las reasignaciones en el Presupuesto de Egresos de |
||||||||
|
ANEXO 23. EROGACIONES PARA EL DESARROLLO INTEGRAL DE
LOS JÓVENES (pesos) |
||||||||
|
|
|
|
|
|
|
|
|
|
|
|
|
|
|
|
|
|
|
Monto |
|
TOTAL |
|
|
|
|
|
|
|
9,719,300,000.0 |
|
11 EDUCACIÓN PÚBLICA |
|
|
|
|
|
|
7,635,000,000.0 |
|
|
|
Atención Educativa a Grupos en
Situación Vulnerable |
126,000,000.0 |
||||||
|
|
Programa Nacional de Becas y
Financiamiento |
1,399,900,000.0 |
||||||
|
|
Programa Nacional de Becas |
|
|
|
|
|
3,917,100,000.0 |
|
|
|
Programa de Becas de Apoyo a |
52,100,000.0 |
||||||
|
|
Acciones Compensatorias para Abatir
el Rezago Educativo en Educación Inicial y Básica |
2,003,000,000.0 |
||||||
|
|
Programa de Becas de Apoyo a |
136,900,000.0 |
||||||
|
12 SALUD |
|
|
|
|
|
|
|
2,084,300,000.0 |
|
|
Centro Nacional para |
1,214,800,000.0 |
||||||
|
|
Prevención y Atención contra las
Adicciones |
|
|
|
|
869,500,000.0 |
||
|
ANEXO 24. AMPLIACIONES A ECONOMÍA
(pesos) |
|
|||||||
|
|
|
|
|
|
|
|
|
|
|
|
|
|
|
|
|
|
|
Monto |
|
RAMO 10: ECONOMÍA |
|
|
|
|
|
|
1,339,400,000 |
|
|
|
FONDO DE APOYO PARA |
600,000,000 |
||||||
|
|
PROGRAMA PARA EL DESARROLLO DE |
300,000,000 |
||||||
|
|
COMPETITIVIDAD EN LOGÍSTICA Y
CENTRALES DE ABASTO Y SOFTWARE |
|
|
100,000,000 |
||||
|
|
FONDO NACIONAL DE APOYOS PARA
EMPRESAS EN SOLIDADRIDAD (FONAES) 1/ |
14,400,000 |
||||||
|
|
PROGRAMA
ESPECIAL CONCURRENTE PARA EL DESARROLLO RURAL SUSTENTABLE 2/ |
325,000,000 |
||||||
|
|
|
PROGRAMA
DE MICROFINANCIAMIENTO A MUJERES RURALES (FOMMUR) |
50,000,000 |
|||||
|
|
|
FONDO
NACIONAL DE APOYOS PARA EMPRESAS EN SOLIDADRIDAD (FONAES) |
250,000,000 |
|||||
|
|
|
PROGRAMA
NACIONAL DE FINANCIAMIENTO A MICROEMPRESARIO |
25,000,000 |
|||||
|
|
|
|
|
|
|
|
|
|
|
1/
Monto incluido en el Anexo 10 Erogaciones para |
||||||||
|
2/
Monto incluido en el Anexo 8: Programa Especial Concurrente para el
Desarrollo Rural Sustentable. |
||||||||
|
ANEXO 25. AMPLIACIONES A SALUD (pesos) |
||||||||
|
|
|
|
|
|
|
|
|
|
|
|
|
|
|
|
|
|
|
Monto |
|
RAMO 12: SALUD |
|
|
|
|
|
|
4,939,400,000 |
|
|
|
FONDO DE APORTACIONES PARA LOS
SERVICIOS DE SALUD A LA COMUNIDAD |
974,450,000 |
||||||
|
|
AMPLIACIÓN PARA EL EQUIPAMIENTO Y
OBRA EN UNIDADES MÉDICAS DE LAS ENTIDADES FEDERATIVAS |
2,122,000,000 |
||||||
|
|
CONCLUSIÓN DE OBRA EN UNIDADES
MÉDICAS FEDERALES |
287,550,000 |
||||||
|
|
OBRA NUEVA Y TERMINACIÓN DE UNIDADES
MÉDICAS DE LAS ENTIDADES FEDERATIVAS |
390,000,000 |
||||||
|
|
FONDO PARA |
250,000,000 |
||||||
|
|
EROGACIONES PARA |
915,400,000 |
||||||
|
|
|
PREVENCIÓN Y ATENCION DEL CANCER
CERVICO-UTERINO Y MAMARIO |
300,000,000 |
|||||
|
|
|
INVESTIGACIÓN Y DESARROLLO
TECNOLÓGICO EN SALUD |
|
|
8,000,000 |
|||
|
|
|
PRESTACIÓN DE SERVICIOS EN LOS
DIFERENTES NIVELES DE ATENCIÓN A LA SALUD |
43,000,000 |
|||||
|
|
|
PREVENCIÓN Y ATENCIÓN CONTRA LAS
ADICCIONES |
20,000,000 |
|||||
|
|
|
PROMOCIÓN DE |
9,000,000 |
|||||
|
|
|
PREVENCIÓN Y ATENCIÓN DE VIH/SIDA |
10,000,000 |
|||||
|
|
|
ATENCIÓN DE |
525,400,000 |
|||||
|
|
|
|
|
|
|
|
|
|
|
1/
Monto incluido en el Anexo 10 Erogaciones para |
||||||||
|
ANEXO 25.1. FONDO DE APORTACIONES PARA LOS SERVICIOS DE
SALUD A |
||||||||
|
|
|
|
|
|
|
|
|
|
|
|
|
|
|
|
|
|
|
Monto |
|
TOTAL |
|
|
|
|
|
|
|
974,450,000 |
|
|
AGUASCALIENTES |
8,942,842 |
||||||
|
|
BAJA
CALIFORNIA |
22,620,453 |
||||||
|
|
BAJA
CALIFORNIA SUR |
4,740,259 |
||||||
|
|
CAMPECHE |
9,838,025 |
||||||
|
|
CHIAPAS |
48,719,764 |
||||||
|
|
CHIHUAHUA |
25,934,081 |
||||||
|
|
COAHUILA |
21,239,572 |
||||||
|
|
COLIMA |
6,254,579 |
||||||
|
|
DISTRITO
FEDERAL |
47,961,963 |
||||||
|
|
DURANGO |
16,120,908 |
||||||
|
|
GUANAJUATO |
49,511,057 |
||||||
|
|
GUERRERO |
37,151,026 |
||||||
|
|
HIDALGO |
26,996,146 |
||||||
|
|
JALISCO |
58,645,499 |
||||||
|
|
MÉXICO |
115,149,809 |
||||||
|
|
MICHOACÁN |
40,565,711 |
||||||
|
|
MORELOS |
15,541,031 |
||||||
|
|
NAYARIT |
10,917,419 |
||||||
|
|
NUEVO
LEÓN |
35,180,781 |
||||||
|
|
OAXACA |
39,926,570 |
||||||
|
|
PUEBLA |
56,618,788 |
||||||
|
|
QUERÉTARO |
15,321,659 |
||||||
|
|
QUINTANA
ROO |
11,264,378 |
||||||
|
|
SAN
LUIS POTOSÍ |
26,526,125 |
||||||
|
|
SINALOA |
25,403,436 |
||||||
|
|
SONORA |
22,588,455 |
||||||
|
|
TABASCO |
23,247,948 |
||||||
|
|
TAMAULIPAS |
28,619,849 |
||||||
|
|
TLAXCALA |
10,509,174 |
||||||
|
|
VERACRUZ |
78,338,620 |
||||||
|
|
YUCATÁN |
19,385,373 |
||||||
|
|
ZACATECAS |
14,668,699 |
||||||
|
ANEXO 25.2. AMPLIACIÓN PARA EL
EQUIPAMIENTO Y OBRA EN UNIDADES MÉDICAS DE LAS ENTIDADES FEDERATIVAS (pesos) |
||||||||
|
|
|
|
|
|
|
|
|
|
|
|
|
|
|
|
|
|
|
Monto |
|
TOTAL |
|
|
|
|
|
|
|
2,122,000,000 |
|
|
AGUASCALIENTES |
68,000,000 |
||||||
|
|
BAJA
CALIFORNIA |
98,000,000 |
||||||
|
|
BAJA
CALIFORNIA SUR |
88,000,000 |
||||||
|
|
CAMPECHE |
28,000,000 |
||||||
|
|
CHIAPAS |
112,000,000 |
||||||
|
|
CHIHUAHUA |
64,000,000 |
||||||
|
|
COAHUILA |
38,000,000 |
||||||
|
|
COLIMA |
13,000,000 |
||||||
|
|
DISTRITO
FEDERAL |
78,000,000 |
||||||
|
|
DURANGO |
148,000,000 |
||||||
|
|
GUANAJUATO |
18,000,000 |
||||||
|
|
GUERRERO |
18,000,000 |
||||||
|
|
HIDALGO |
18,000,000 |
||||||
|
|
JALISCO |
68,000,000 |
||||||
|
|
MÉXICO |
207,000,000 |
||||||
|
|
MICHOACÁN |
18,000,000 |
||||||
|
|
MORELOS |
18,000,000 |
||||||
|
|
NAYARIT |
18,000,000 |
||||||
|
|
NUEVO
LEÓN |
38,000,000 |
||||||
|
|
OAXACA |
18,000,000 |
||||||
|
|
PUEBLA |
18,000,000 |
||||||
|
|
QUERÉTARO |
248,000,000 |
||||||
|
|
QUINTANA
ROO |
28,000,000 |
||||||
|
|
SAN
LUIS POTOSÍ |
18,000,000 |
||||||
|
|
SINALOA |
98,000,000 |
||||||
|
|
SONORA |
33,000,000 |
||||||
|
|
TABASCO |
38,000,000 |
||||||
|
|
TAMAULIPAS |
38,000,000 |
||||||
|
|
TLAXCALA |
68,000,000 |
||||||
|
|
VERACRUZ |
198,000,000 |
||||||
|
|
YUCATÁN |
15,000,000 |
||||||
|
|
ZACATECAS |
148,000,000 |
||||||
|
ANEXO 25.3. AMPLIACIÓN PARA EL EQUIPAMIENTO Y OBRA EN
UNIDADES MÉDICAS FEDERALES (pesos) |
||||||||
|
|
|
|
|
|
|
|
|
|
|
|
|
|
|
|
|
|
|
Monto |
|
TOTAL |
|
|
|
|
|
|
|
287,550,000 |
|
|
CONSTRUCCIÓN DE |
85,000,000 |
||||||
|
|
HOSPITAL NACIONAL HOMEOPÁTICO, CENTRO
DE ENSEÑANZA E INVESTIGACIÓN APLICADA |
120,000,000 |
||||||
|
|
CENTRO DE
ATENCIÓN MÉDICO-QUIRÚRGICA DE CORTA ESTANCIA JUÁREZ CENTRO. 2008-2012 |
82,550,000 |
||||||
|
ANEXO 25.4 OBRA NUEVA Y TERMINACIÓN DE UNIDADES MÉDICAS
DE LAS ENTIDADES FEDERATIVAS (pesos) |
||||||||
|
|
|
|
|
|
|
|
|
|
|
|
|
|
|
|
|
|
|
Monto |
|
TOTAL |
|
|
|
|
|
|
|
390,000,000 |
|
|
TERMINACIÓN DEL HOSPITAL INFANTIL DE
60 CAMAS EN PACHUCA |
70,000,000 |
||||||
|
|
CONSTRUCCIÓN DEL HOSPITAL REGIONAL DE
90 CAMAS EN TULANCINGO (3a ETAPA) |
80,000,000 |
||||||
|
|
TERMINACIÓN DEL
HOSPITAL DE ESPECIALIDADES DE 60 CAMAS DE PACHUCA (2nda ETAPA) |
130,000,000 |
||||||
|
|
CONSTRUCCIÓN DEL HOSPITAL INTEGRAL DE
12 CAMAS DE METZTILÁN (1a ETAPA) |
20,000,000 |
||||||
|
|
TERMINACIÓN DEL INSTITUTO ESTATAL DE
CANCEROLOGÍA DE COLIMA |
75,000,000 |
||||||
|
|
CENTRO DE HEMODIÁLISIS DE VILLA DE
ÁLVAREZ |
15,000,000 |
||||||
|
ANEXO
26. AMPLIACIONES A EDUCACIÓN (pesos) |
|
|||||||
|
|
|
|
|
|
|
|
|
|
|
|
|
|
|
|
|
|
|
Monto |
|
RAMO 11:
EDUCACIÓN PÚBLICA |
|
|
14,136,000,000 |
|||||
|
EDUCACIÓN
BÁSICA |
|
|
|
|
|
|
3,984,932,727 |
|
|
|
Instituto
Nacional para |
|
|
170,000,000 |
||||
|
|
Instituto
Nacional de Lenguas Indígenas |
10,000,000 |
||||||
|
|
Producción y
distribución de libros de texto gratuitos |
109,453,272 |
||||||
|
|
Producción y
edición de libros, materiales educativos y culturales |
135,479,455 |
||||||
|
|
Equipamiento
de escuelas educación básica |
150,000,000 |
||||||
|
|
Fondo para
el mejoramiento de las tecnologías educativas |
100,000,000 |
||||||
|
|
Fortalecimiento
a |
500,000,000 |
||||||
|
|
Programa de
Educación Básica para Niños y Niñas de Familias Jornaleras Agricolas
Migrantes |
30,000,000 |
||||||
|
|
Programa del
Sistema Nacional de Formación Continua y Superación Profesional de Maestros
de Educación Básica en Servicio 1/ |
200,000,000 |
||||||
|
|
Apoyos
complementarios para el FAEB |
1,000,000,000 |
||||||
|
|
Programa de
Fortalecimiento de Educación Especial y de la Integración Educativa |
200,000,000 |
||||||
|
|
Programa
Nacional de Inglés en Educación Básica |
250,000,000 |
||||||
|
|
Fortalecimiento
a las acciones asociadas a la educación indígena |
250,000,000 |
||||||
|
|
Creación de
plazas (Ramo 25) 2/ |
750,000,000 |
||||||
|
|
Atención
educativa a grupos en situación vulnerable |
100,000,000 |
||||||
|
|
Instituto
Nacional para |
30,000,000 |
||||||
|
|
|
|
|
|
|
|
|
|
|
EDUCACIÓN
MEDIA SUPERIOR 3/ |
|
|
|
|
|
750,000,000 |
||
|
|
Atención
educativa a grupos en situación vulnerable |
150,000,000 |
||||||
|
|
Fondo para
el mejoramiento de las tecnologías educativas |
|
|
|
100,000,000 |
|||
|
|
Fondo
concursable de la inversión en infraestructura para Educación Media Superior |
500,000,000 |
||||||
|
|
|
|
|
|
|
|
|
|
|
EDUCACIÓN
SUPERIOR |
|
|
|
|
|
|
9,401,067,273 |
|
|
|
UNAM |
630,000,000 |
||||||
|
|
IPN 4/ |
447,000,000 |
||||||
|
|
UAM |
67,000,000 |
||||||
|
|
UPN |
10,000,000 |
||||||
|
|
COLMEX |
9,000,000 |
||||||
|
|
CINVESTAV |
90,000,000 |
||||||
|
|
UAAANarro |
10,000,000 |
||||||
|
|
CETI |
17,000,000 |
||||||
|
|
Universidad
Autónoma de |
100,000,000 |
||||||
|
|
Universidad
Virtual |
30,000,000 |
||||||
|
|
Ampliación
de la oferta educativa de los Institutos Tecnológicos (Incluye equipamiento e
infraestructura) |
350,000,000 |
||||||
|
|
Fondo
de apoyo para la calidad de los institutos tecnológicos (federales y
descentralizados) equipamiento e infraestructura: talleres y laboratorios |
200,000,000 |
||||||
|
|
Resarcimiento
del Subsidio Ordinario (irreductible) a UPES y UPEAS (ANEXO 26.A) |
2,836,067,273 |
||||||
|
|
Fondo
para |
50,000,000 |
||||||
|
|
Programa
Fondo de Inversión de Universidades Públicas Estatales con Evaluación y
Acreditación FIUPEA |
50,000,000 |
||||||
|
|
Programa
de Mejoramiento del Profesorado (PROMEP) |
220,000,000 |
||||||
|
|
Fondo
para |
400,000,000 |
||||||
|
|
Fondo
de Apoyo para Reformas Estructurales de las Universidades Públicas Estatales
(Fondo de concurso para apoyar las reformas de las UPES para abatir pasivos
contingentes derivados de pensiones y jubilaciones) |
500,000,000 |
||||||
|
|
Fondo
de Apoyo para Saneamiento Financiero de las UPES por Abajo de |
800,000,000 |
||||||
|
|
Fondo
para el Reconocimiento de Plantilla de las Universidades Públicas Estatales
(fondo de concurso. Incluye programa de estímulos y carrera administrativa) |
400,000,000 |
||||||
|
|
Programa de
Carrera Docente (UPES) |
100,000,000 |
||||||
|
|
Programa
de Apoyo a |
100,000,000 |
||||||
|
|
Apoyo
a |
100,000,000 |
||||||
|
|
Fondo
para |
50,000,000 |
||||||
|
|
Modelo
de Asignación Adicional al Subsidio Federal Ordinario, Universidades Públicas
Estatales (Distribución por la fórmula CUPIA con participación de |
800,000,000 |
||||||
|
|
Fondo
para Incremento de |
600,000,000 |
||||||
|
|
Sistema
Nacional de Educación a Distancia |
70,000,000 |
||||||
|
|
Apoyo
extraordinario Benemérita Universidad Autónoma de Puebla |
150,000,000 |
||||||
|
|
Apoyo
extraordinario Universidad Comunitaria Intercultural Potosina |
15,000,000 |
||||||
|
|
Fondo
de Apoyo a |
200,000,000 |
||||||
|
|
|
|
|
|
|
|
|
|
|
1/
Incluye 100 millones del Programa de Fortalecimiento de Comunidades Escolares
de Aprendizaje, Concursable, sujeto a reglas de operación (involucra a Padres
de Familia) primer etapa. |
||||||||
|
2/
Plazas definidas en el marco de |
||||||||
|
3/
El presupuesto para Educación Media Superior, incluye 700 millones de pesos
de reasignación de |
||||||||
|
4/
Incluye 150 millones de pesos para la sede en Papantla, Veracruz; así como
asignaciones de la primera etapa por 190 millones de pesos de |
||||||||
|
ANEXO
26. A SUBSIDIO ORDINARIO PARA ORGANISMOS DESCENTRALIZADOS ESTATALES QUE |
||||||||
|
|
|
|
|
|
|
|
|
|
|
|
|
|
|
|
|
|
|
Monto |
|
Subsidio
Ordinario UPES y UPEAS |
|
|
|
|
|
31,922,742,607
|
||
|
|
|
|
|
|
|
|
|
|
|
4201
Aguascalientes |
|
|
|
|
|
|
483,815,288
|
|
|
4202 Baja
California |
|
|
|
|
|
|
974,964,085
|
|
|
4203 Baja
California Sur |
|
|
|
|
|
|
230,872,881
|
|
|
4204
Campeche |
|
|
|
|
|
|
|
556,147,916
|
|
4205
Coahuila |
|
|
|
|
|
|
|
782,107,708
|
|
4206 Colima |
|
|
|
|
|
|
|
874,756,978
|
|
4207 Chiapas |
|
|
|
|
|
|
|
701,775,347
|
|
4208
Chihuahua |
|
|
|
|
|
|
|
1,136,371,552
|
|
4210 Durango |
|
|
|
|
|
|
|
564,346,387
|
|
4211
Guanajuato |
|
|
|
|
|
|
|
840,566,781
|
|
4212
Guerrero |
|
|
|
|
|
|
|
1,026,745,619
|
|
4213 Hidalgo
1/ |
|
|
|
|
|
|
|
686,114,739
|
|
4214 Jalisco |
|
|
|
|
|
|
|
2,479,041,236
|
|
4215 México |
|
|
|
|
|
|
|
1,012,249,611
|
|
4216
Michoacán |
|
|
|
|
|
|
|
1,081,063,081
|
|
4217 Morelos |
|
|
|
|
|
|
|
582,285,008
|
|
4218 Nayarit |
|
|
|
|
|
|
|
822,561,875
|
|
4219 Nuevo
León 2/ |
|
|
|
|
|
|
3,028,066,492
|
|
|
4220 Oaxaca |
|
|
|
|
|
|
|
654,366,773
|
|
4221 Puebla |
|
|
|
|
|
|
|
2,299,304,252
|
|
4222
Querétaro |
|
|
|
|
|
|
|
811,213,930
|
|
4223
Quintana Roo |
|
|
|
|
|
|
171,491,392
|
|
|
4224 San
Luis Potosí 3/ |
|
|
|
|
|
|
1,136,671,967
|
|
|
4225 Sinaloa |
|
|
|
|
|
|
|
2,200,074,846
|
|
4226 Sonora |
|
|
|
|
|
|
|
1,015,201,204
|
|
4227 Tabasco |
|
|
|
|
|
|
|
631,770,688
|
|
4228
Tamaulipas |
|
|
|
|
|
|
|
1,279,146,666
|
|
4229
Tlaxcala |
|
|
|
|
|
|
|
377,656,254
|
|
4230
Veracruz |
|
|
|
|
|
|
|
1,510,645,806
|
|
4231 Yucatán |
|
|
|
|
|
|
|
1,159,404,538
|
|
4232
Zacatecas |
|
|
|
|
|
|
|
811,941,708
|
|
|
|
|
|
|
|
|
|
|
|
1/
Incluye 60,955,526 de pesos para distribuirse en el Sistema Estatal
dependiente de |
||||||||
|
2 / Incluye 100,000,000 de pesos para el Hospital
Universitario "Dr. José Eleuterio González" de |
||||||||
|
3/
Incluye 30,000,000 de pesos para el Instituto Potosino de Ciencia y
Tecnología. |
||||||||
|
ANEXO 26. B FONDO PARA |
||||||||
|
|
|
|
|
|
|
|
|
|
|
|
|
|
|
|
|
|
|
Monto |
|
|
|
|
|
|
|
|
|
400,000,000 |
|
UR511 UPES |
|
|
|
|
||||
|
Universidad
Autónoma de Aguascalientes |
|
|
|
|
|
4,014,082 |
||
|
Universidad
Autónoma de Baja California |
|
|
|
|
|
8,211,259 |
||
|
Universidad
Autónoma de Baja California Sur |
|
|
|
|
|
1,991,978 |
||
|
Universidad
Autónoma de Campeche |
|
|
|
|
|
2,856,086 |
||
|
Universidad
Autónoma del Carmen |
|
|
|
1,475,829 |
||||
|
Universidad
Autónoma de Coahuila |
|
|
|
6,727,567 |
||||
|
Universidad
de Colima |
|
|
|
|
|
|
7,512,293 |
|
|
Universidad
Autónoma de Chiapas |
|
|
|
4,619,463 |
||||
|
Universidad
Autónoma de Chihuahua 1/ |
|
|
|
|
|
49,495,831 |
||
|
Universidad
Autónoma de Ciudad Juárez |
|
|
|
|
|
4,749,143 |
||
|
Universidad
Juárez del Estado de Durango |
|
|
|
|
|
4,723,370 |
||
|
Universidad
de Guanajuato |
|
|
|
|
|
|
6,450,831 |
|
|
Universidad
Autónoma de Guerrero |
|
|
8,692,334 |
|||||
|
Universidad
Autónoma del Estado de Hidalgo |
|
|
|
|
|
5,763,621 |
||
|
Universidad
de Guadalajara |
|
|
21,113,892 |
|||||
|
Universidad
Autónoma del Estado de México |
|
|
|
|
|
7,854,585 |
||
|
Universidad
Tecnológica de Nezahualcóyotl |
|
|
|
|
|
20,000,000 |
||
|
Universidad
Michoacana de San Nicolás de Hidalgo |
|
|
9,049,230 |
|||||
|
Universidad
Autónoma del Estado de Morelos |
|
|
|
|
|
4,789,823 |
||
|
Universidad
Autónoma de Nayarit |
|
|
6,109,958 |
|||||
|
Universidad
Autónoma de Nuevo León |
|
|
|
|
|
24,675,344 |
||
|
Universidad
Autónoma Benito Juárez de Oaxaca |
|
|
3,909,798 |
|||||
|
Benemérita
Universidad Autónoma de Puebla 2/ |
|
|
71,546,865 |
|||||
|
Universidad
Autónoma de Querétaro |
|
|
5,939,726 |
|||||
|
Universidad
Autónoma de San Luis Potosí |
|
|
|
|
|
9,680,651 |
||
|
Universidad
Autónoma de Sinaloa |
|
|
17,640,733 |
|||||
|
Universidad
de Sonora |
|
|
|
|
|
|
5,168,002 |
|
|
Instituto
Tecnológico de Sonora |
|
|
2,043,885 |
|||||
|
Universidad
Juárez Autónoma de Tabasco |
|
|
|
|
|
4,281,324 |
||
|
Universidad
Autónoma de Tamaulipas |
|
|
|
|
|
11,193,347 |
||
|
Universidad
Autónoma de Tlaxcala |
|
|
2,950,728 |
|||||
|
Universidad
Veracruzana |
|
|
|
|
|
|
13,059,645 |
|
|
Universidad
Autónoma de Yucatán |
|
|
|
9,688,554 |
||||
|
Universidad
Autónoma de Zacatecas |
|
|
|
6,859,559 |
||||
|
Universidad
de Quintana Roo |
|
|
|
934,004 |
||||
|
UR 511 UPEAS |
|
|
|
|
|
- |
||
|
Universidad
del Mar |
|
|
|
|
|
|
1,664,453 |
|
|
Universidad
Tecnológica de la Mixteca |
|
|
|
|
|
1,552,648 |
||
|
Universidad
de Occidente |
|
|
|
|
|
|
1,322,307 |
|
|
Centro
de Estudios Superiores del Estado de Sonora |
|
|
699,631 |
|||||
|
Universidad
de Ciencias y Artes de Chiapas |
|
|
|
|
|
1,633,420 |
||
|
Universidad
Popular de la Chontalpa |
|
|
1,139,348 |
|||||
|
Centro
de Investigación y Docencia en Humanidades del Estado de Morelos |
|
|
79,015 |
|||||
|
Universidad
del Caribe |
|
|
|
|
|
|
1,241,779 |
|
|
Universidad
Estatal del Valle de Ecatepec |
|
|
|
|
|
334,982 |
||
|
Universidad
del Istmo |
|
|
|
|
|
|
424,108 |
|
|
Universidad
de la Sierra Sur |
|
|
246,311 |
|||||
|
Universidad
del Papaloapan |
|
|
186,597 |
|||||
|
Universidad
de la Sierra |
|
|
|
|
|
|
257,390 |
|
|
Universidad
de Oriente |
|
|
|
|
|
|
112,711 |
|
|
Universidad
Intercultural Serrana del Estado de Puebla |
|
|
469,630 |
|||||
|
Colegio
de Chihuahua |
|
|
|
|
|
|
93,926 |
|
|
UR 514 UI's |
|
|
|
|
- |
|||
|
Universidad
Intercultural del Estado de México |
|
|
|
|
|
819,492 |
||
|
Universidad
Intercultural de Chiapas |
|
|
|
485,248 |
||||
|
Universidad
Intercultural del Estado Tabasco |
|
|
|
|
|
258,297 |
||
|
Universidad
Intercultural del Estado de Puebla |
|
|
|
|
|
164,370 |
||
|
Universidad
Intercultural de Guerrero |
|
|
164,370 |
|||||
|
Universidad
Intercultural Indígena de Michoacán |
|
|
164,370 |
|||||
|
Universidad
Intercultural de la Zona Maya |
|
|
|
|
|
93,926 |
||
|
UR 514 UP'S |
|
|
|
|
|
- |
||
|
Universidad
Politécnica de San Luis Potosí |
|
|
|
|
|
1,174,075 |
||
|
Universidad
Politécnica de Aguascalientes |
|
|
|
|
|
610,519 |
||
|
Universidad
Politécnica de Tulancingo |
|
|
|
|
|
892,297 |
||
|
Universidad
Politécnica de Zacatecas |
|
|
|
|
|
704,445 |
||
|
Universidad
Politécnica de Pachuca |
|
|
821,852 |
|||||
|
Universidad
Politécnica del Valle de México |
|
|
|
|
|
469,630 |
||
|
Universidad
Politécnica de Puebla |
|
|
516,593 |
|||||
|
Universidad
Politécnica de Morelos |
|
|
469,630 |
|||||
|
Universidad
Politécnica de Chiapas |
|
|
422,667 |
|||||
|
Universidad
Politécnica de Sinaloa |
|
|
704,445 |
|||||
|
Universidad
Politécnica de Tlaxcala |
|
|
469,630 |
|||||
|
Universidad
Politécnica de Guanajuato |
|
|
|
|
|
328,741 |
||
|
Universidad
Politécnica de Durango |
|
|
|
328,741 |
||||
|
Universidad
Politécnica Gómez Palacio |
|
|
|
|
|
328,741 |
||
|
Universidad
Politécnica de Baja California |
|
|
|
|
|
328,741 |
||
|
Universidad
Politécnica de Francisco I. Madero |
|
|
|
|
|
328,741 |
||
|
Universidad
Politécnica de Querétaro |
|
|
380,400 |
|||||
|
Universidad
Politécnica de |
|
|
399,185 |
|||||
|
Universidad
Politécnica de Victoria |
|
|
187,852 |
|||||
|
Universidad
Politécnica de Altamira |
|
|
187,852 |
|||||
|
Universidad
Politécnica Mesoamericana |
|
|
|
|
|
187,852 |
||
|
Universidad
Politécnica del Golfo de México |
|
|
|
|
|
187,852 |
||
|
Universidad
Politécnica del Valle de Toluca |
|
|
|
|
|
187,852 |
||
|
|
|
|
|
|
|
|
|
|
|
1/ Incluye 45,265,500 para el
esarrollo y consolidación de espacios académicos. |
||||||||
|
2/ Incluye 25,009,951 para el
Laboratorio de Enfermedades Infecciosas Emergentes y Reemergentes, y
27,740,973 para el Fortalecimiento para la plataforma tecnológica de la
Universidad. |
||||||||
|
ANEXO 26. C DESAGREGADO DEL PROGRAMA
PRESUPUESTAL U008 FONDO DE APOYO PARA SANEAMIENTO FINANCIERO DE LAS UPES POR
ABAJO DE |
||||||||
|
|
|
|
|
|
|
|
|
|
|
|
|
|
|
|
|
|
|
Monto |
|
Fondo de Apoyo para Saneamiento Financiero de las UPES
por Abajo de |
800,000,000 |
|||||||
|
Universidad
Autónoma de Chiapas |
|
|
27,095,449 |
|||||
|
Universidad
Autónoma de Chihuahua |
|
|
|
|
|
31,190,791 |
||
|
Universidad
Autónoma de Ciudad Juárez |
|
|
|
|
|
27,142,700 |
||
|
Universidad
Autónoma de Guerrero |
|
|
103,834,774 |
|||||
|
Universidad
Autónoma del Estado de Hidalgo |
|
|
|
|
|
57,579,113 |
||
|
Universidad
de Guadalajara |
|
|
76,797,597 |
|||||
|
Universidad
Autónoma del Estado de México |
|
|
|
|
|
35,438,718 |
||
|
Universidad
Michoacana de San Nicolás de Hidalgo |
|
|
97,022,875 |
|||||
|
Universidad
Autónoma de Nayarit |
|
|
29,582,737 |
|||||
|
Universidad
Autónoma Benito Juárez de Oaxaca |
|
|
76,622,710 |
|||||
|
Universidad
Autónoma de Sinaloa |
|
|
82,303,981 |
|||||
|
Instituto
Tecnológico de Sonora |
|
|
28,693,036 |
|||||
|
Universidad
Juárez Autónoma de Tabasco |
|
|
|
|
|
58,863,671 |
||
|
Universidad
Autónoma de Zacatecas |
|
|
67,831,849 |
|||||
|
|
|
|
|
|
|
|
|
|
|
La distribución del fondo para las 14
UPES que se encuentran por debajo de la media nacional en subsidio por alumno
se realizó por medio de dos componentes, el primero de ellos por su posición
respecto a la media nacional de subsidio por alumno ponderada, mientras que
en el segundo se consideraron los elementos de saneamiento financiero
(problemas estructurales). |
||||||||
|
ANEXO 26. D FONDO PARA |
||||||||
|
|
|
|
|
|
|
|
|
|
|
|
|
|
|
|
|
|
|
Monto |
|
|
|
|
|
|
|
|
|
50,000,000 |
|
Universidad
Intercultural de Chiapas |
|
|
6,454,905 |
|||||
|
Universidad
Intercultural del Estado de México |
|
|
|
|
|
8,525,610 |
||
|
Universidad
Intercultural del Estado de Tabasco |
|
|
7,798,756 |
|||||
|
Universidad
Intercultural del Estado de Puebla |
|
|
|
|
|
5,414,599 |
||
|
Universidad
Intercultural Indígena de Michoacán |
|
|
4,923,910 |
|||||
|
Universidad
Intercultural del Estado de Guerrero |
|
|
2,110,250 |
|||||
|
Universidad
Intercultural Maya de Quintana Roo |
|
|
7,164,440 |
|||||
|
Universidad
Intercultural Veracruzana |
|
|
|
|
|
1,054,086 |
||
|
Universidad
Autónoma Indígena de México 1/ |
|
|
|
|
|
6,553,444 |
||
|
|
|
|
|
|
|
|
|
|
|
1/
Recursos que asignarán en 2010 a |
||||||||
|
ANEXO 26. E AMPLIACIONES A CULTURA (pesos) |
|
|||||||
|
|
|
|
|
|
|
|
|
|
|
RAMO 11: EDUCACIÓN PÚBLICA |
|
|
Monto |
|||||
|
|
|
|
|
|
|
|
|
|
|
TOTAL CULTURA |
|
|
|
|
|
|
3,058,500,000 |
|
|
Instituto Nacional de Antropología e Historia |
|
|
361,000,000 |
|||||
|
Fondo Arqueológico |
|
|
|
|
|
|
100,000,000 |
|
|
Infraestructura y Servicios |
|
|
261,000,000 |
|||||
|
Instituto Nacional de las Bellas Artes y Literatura |
|
|
507,800,000 |
|||||
|
Obras del Palacio de Bellas Artes y otras obras de
infraestructura prioritaria |
|
|
407,800,000 |
|||||
|
Actividades Artísticas y Servicios |
|
|
100,000,000 |
|||||
|
Radio Educación |
|
|
|
|
|
|
2,600,000 |
|
|
Transición aislada de frecuencia de análoga a digital |
|
|
2,600,000 |
|||||
|
Consejo Nacional para |
|
|
1,867,300,000 |
|||||
|
Ciudades Patrimonio |
|
|
|
|
|
|
100,000,000 |
|
|
Instituciones Estatales de Cultura (15 millones por
Entidad Federativa) |
|
|
480,000,000 |
|||||
|
Apoyos y Donativos 1/ |
|
|
|
|
|
|
517,500,000 |
|
|
Librería de la Mujer |
|
|
|
|
|
|
100,000,000 |
|
|
Apoyo Extraordinario a Actividades Culturales del
Bicentenario y Centenario de |
480,000,000 |
|||||||
|
Digitalización |
|
|
45,000,000 |
|||||
|
Remodelación, restauración y equipamiento |
|
|
100,000,000 |
|||||
|
Material Bibliográfico |
|
|
|
|
|
|
44,800,000 |
|
|
Centro de Capacitación Cinematográfica, AC |
|
|
9,700,000 |
|||||
|
Extensión Académica |
|
|
|
|
|
|
3,400,000 |
|
|
Equipamiento e infraestructura Educativa |
|
|
|
|
|
6,300,000 |
||
|
Compañía Operadora del Centro Cultural y Turístico de
Tijuana, S.A. de C.V. |
|
|
20,100,000 |
|||||
|
Actividades Artísticas y Servicios |
|
|
20,100,000 |
|||||
|
Educal |
|
|
|
|
|
|
|
7,000,000 |
|
Acondicionamiento de nuevas librerías |
|
|
|
|
|
7,000,000 |
||
|
Estudios Churubusco Azteca, S.A. |
|
|
|
|
|
12,000,000 |
||
|
Servicios de Producción Cinematográfica |
|
|
|
|
|
12,000,000 |
||
|
Fideicomiso para la Cineteca Nacional |
|
|
|
|
|
5,900,000 |
||
|
Preservación y resguardo en las bóvedas, realización de
festivales y encuentros |
|
|
5,900,000 |
|||||
|
Instituto Mexicano de Cinematografía |
|
|
|
|
|
164,600,000 |
||
|
Aportaciones a Fideicomisos Públicos |
|
|
|
|
|
164,600,000 |
||
|
Instituto Mexicano de la Radio |
|
|
18,800,000 |
|||||
|
Transición Regional de Radiodifusión AM a FM |
|
|
18,800,000 |
|||||
|
Televisión Metropolitana S.A. de C.V. |
|
|
|
|
|
28,800,000 |
||
|
Cambio tecnológico a digital |
|
|
28,800,000 |
|||||
|
Fondo de Cultura Económica |
|
|
31,900,000 |
|||||
|
Rehabilitación de |
|
|
6,000,000 |
|||||
|
Cumbre Tajín Veracruz |
|
|
|
|
|
|
15,000,000 |
|
|
|
|
|
|
|
|
|
|
|
|
1/ La distribución por entidad
federativa se detalla en el anexo 26 F Proyectos de Cultura. |
||||||||
ANEXO
26. F PROYECTOS DE CULTURA (pesos)
|
Proyecto
Solicitado |
Estado |
Municipio |
Monto |
|
UNIVERSIDAD DE LAS ARTES |
AGUASCALIENTES |
AGUASCALIENTES |
2,500,000.0 |
|
PROARTE |
AGUASCALIENTES |
AGUASCALIENTES |
3,500,000.0 |
|
TEATRO MORELOS |
AGUASCALIENTES |
AGUASCALIENTES |
1,500,000.0 |
|
TEATRO AGUASCALIENTES |
AGUASCALIENTES |
AGUASCALIENTES |
1,000,000.0 |
|
TEATRO LEAL Y ROMERO |
AGUASCALIENTES |
AGUASCALIENTES |
1,000,000.0 |
|
CINE EN AGUASCALIENTES |
AGUASCALIENTES |
AGUASCALIENTES |
1,000,000.0 |
|
FESTIVAL DE CINE |
AGUASCALIENTES |
AGUASCALIENTES |
250,000.0 |
|
CURSOS SOBRE CINE |
AGUASCALIENTES |
AGUASCALIENTES |
250,000.0 |
|
FESTIVAL DE MÚSICA DE CÁMARA |
AGUASCALIENTES |
AGUASCALIENTES |
500,000.0 |
|
FESTIVAL DE JAZZ |
AGUASCALIENTES |
AGUASCALIENTES |
500,000.0 |
|
CENTRO DE INVESTIGACIÓN Y ESTUDIOS LITERARIOS DE
AGUASCALIENTES |
AGUASCALIENTES |
AGUASCALIENTES |
500,000.0 |
|
EL TROMPO MUSEO INTERACTIVO |
BAJA CALIFORNIA |
TIJUANA |
1,500,000.0 |
|
"MUSEO ÁMBAR DE TIJUANA" |
BAJA CALIFORNIA |
TIJUANA |
500,000.0 |
|
"ORQUESTA DE BAJA CALIFORNIA" |
BAJA CALIFORNIA |
MEXICALI |
500,000.0 |
|
TERMINACIÓN DE |
CAMPECHE |
CANDELARIA |
2,000,000.0 |
|
ACONDICIONAMIENTO DE ESPACIOS CULTURALES |
CAMPECHE |
CAMPECHE |
1,500,000.0 |
|
CASA DE LA ENSEÑANZA |
CHIAPAS |
SAN CRISTÓBAL DE LAS CASAS |
2,500,000.0 |
|
CONSTRUCCIÓN DE CASA DE LA CULTURA |
CHIAPAS |
CINTALAPA |
507,000.0 |
|
CONSTRUCCIÓN DE CASA DE LA CULTURA |
CHIAPAS |
CINTALAPA |
500,000.0 |
|
CONSTRUCCIÓN DE CASA DE CULTURA EN EL MUNICIPIO DE
AMATENANGO DE LA FRONTERA |
CHIAPAS |
AMATENANGO |
414,000.0 |
|
CONSTRUCCIÓN DE CASA DE CULTURA EN EL MUNICIPIO DE
IXHUATAN |
CHIAPAS |
IXHUATAN |
276,000.0 |
|
CONSTRUCCIÓN DE CASA DE CULTURA EN EL MUNICIPIO DE
SOCOLTENANGO |
CHIAPAS |
SOCOLTENANGO |
276,000.0 |
|
CONSTRUCCIÓN DE CASA DE CULTURA EN EL MUNICIPIO DE
TENEJAPA |
CHIAPAS |
TENEJAPA |
531,000.0 |
|
CONSTRUCCIÓN DE CASA DE CULTURA EN EL MUNICIPIO DE
TILA |
CHIAPAS |
TILA |
415,000.0 |
|
RESTAURACIÓN DEL EDIFICIO VILLA VICTORIA |
CHIHUAHUA |
CIUDAD JUÁREZ |
12,000,000.0 |
|
LAS PALOMAS: PLAZA CÍVICA Y CASA DE LA CULTURA |
COAHUILA |
CUATRO CIÉNEGAS |
50,000.0 |
|
LAS MORENAS: PLAZA CÍVICA Y CASA DE LA CULTURA |
COAHUILA |
CUATRO CIÉNEGAS |
50,000.0 |
|
CUATES DE AUSTRALIA: PLAZA CÍVICA Y CASA DE LA
CULTURA |
COAHUILA |
CUATRO CIÉNEGAS |
50,000.0 |
|
ESTANQUE DE LEÓN: PLAZA CÍVICA Y CASA DE LA CULTURA |
COAHUILA |
CUATRO CIÉNEGAS |
100,000.0 |
|
LUCIO BLANCO: PLAZA CÍVICA Y CASA DE LA CULTURA |
COAHUILA |
CUATRO CIÉNEGAS |
50,000.0 |
|
SAN JUAN DE BOQUILLAS: PLAZA CÍVICA Y CASA DE LA
CULTURA |
COAHUILA |
CUATRO CIÉNEGAS |
50,000.0 |
|
SAN VICENTE: PLAZA CÍVICA Y CASA DE LA CULTURA |
COAHUILA |
CUATRO CIÉNEGAS |
100,000.0 |
|
|
COAHUILA |
CUATRO CIÉNEGAS |
50,000.0 |
|
EL VENADO: PLAZA CÍVICA Y CASA DE LA CULTURA |
COAHUILA |
CUATRO CIÉNEGAS |
50,000.0 |
|
ANTIGUOS MINEROS: PLAZA CÍVICA Y CASA DE LA CULTURA |
COAHUILA |
CUATRO CIÉNEGAS |
50,000.0 |
|
LAS MORENAS: PLAZA CÍVICA Y CASA DE LA CULTURA |
COAHUILA |
CUATRO CIÉNEGAS |
50,000.0 |
|
EL CAMPIZAL: PLAZA CÍVICA Y CASA DE LA CULTURA |
COAHUILA |
CUATRO CIÉNEGAS |
50,000.0 |
|
EL OSO: PLAZA CÍVICA Y CASA DE LA CULTURA |
COAHUILA |
CUATRO CIÉNEGAS |
50,000.0 |
|
SANTA TERESA: PLAZA CÍVICA Y CASA DE LA CULTURA |
COAHUILA |
CUATRO CIÉNEGAS |
50,000.0 |
|
ESTANQUE DE NORIAS: PLAZA CÍVICA Y CASA DE LA CULTURA |
COAHUILA |
CUATRO CIÉNEGAS |
50,000.0 |
|
|
COAHUILA |
CUATRO CIÉNEGAS |
25,000.0 |
|
ANTIGUOS MINEROS |
COAHUILA |
CUATRO CIÉNEGAS |
50,000.0 |
|
NUEVA ATALAYA |
COAHUILA |
CUATRO CIÉNEGAS |
50,000.0 |
|
LA REFORMA |
COAHUILA |
CUATRO CIÉNEGAS |
75,000.0 |
|
REHABILITACIÓN DE |
COAHUILA |
MUZQUIZ |
100,000.0 |
|
PLAZAS, JARDINES Y ANDADORES PEATONALES |
COAHUILA |
MUZQUIZ |
50,000.0 |
|
ARREGLO DE FACHADAS E IMAGEN URBANA DE LOS LUGARES
HISTÓRICOS |
COAHUILA |
MUZQUIZ |
50,000.0 |
|
RESCATE DE INMUEBLES HISTÓRICOS |
COAHUILA |
MUZQUIZ |
50,000.0 |
|
DIFUSIÓN DEL PATRIMONIO CULTURAL |
COAHUILA |
MUZQUIZ |
250,000.0 |
|
REHABILITACIÓN DE |
COAHUILA |
CASTAÑOS |
150,000.0 |
|
PLAZAS, JARDINES Y ANDADORES PEATONALES |
COAHUILA |
CASTAÑOS |
150,000.0 |
|
ARREGLO DE FACHADAS E IMAGEN URBANA DE LOS LUGARES
HISTÓRICOS |
COAHUILA |
CASTAÑOS |
200,000.0 |
|
RESCATE DE INMUEBLES HISTÓRICOS |
COAHUILA |
CASTAÑOS |
200,000.0 |
|
DIFUSIÓN DEL PATRIMONIO CULTURAL |
COAHUILA |
CASTAÑOS |
300,000.0 |
|
EQUIPAMIENTO DEL TEATRO DE LA CIUDAD |
COAHUILA |
MUZQUIZ |
2,500,000.0 |
|
EQUIPAMIENTO DEL MUNICIPIO DE BELLAS ARTES |
COAHUILA |
SAN JUAN DE SABINAS |
1,500,000.0 |
|
TEATRO DE |
COAHUILA |
SAN JUAN DE SABINAS |
4,500,000.0 |
|
MUSEO ARQUEOLOGICO PALEONTOLÓGICO |
COAHUILA |
MUZQUIZ |
4,000,000.0 |
|
"MUSEO DE HISTORIA" |
COLIMA |
VILLA DE ÁLVAREZ |
5,000,000.0 |
|
SECRETARIA DE CULTURA FESTIVALES POPULARES |
DISTRITO FEDERAL |
DISTRITO FEDERAL |
5,000,000.0 |
|
SECRETARIA DE CULTURA ORQUESTA FILARMÓNICA DE |
DISTRITO FEDERAL |
DISTRITO FEDERAL |
1,500,000.0 |
|
SECRETARIA DE CULTURA |
DISTRITO FEDERAL |
DISTRITO FEDERAL |
2,500,000.0 |
|
SECRETARIA DE CULTURA TEATRO DE |
DISTRITO FEDERAL |
DISTRITO FEDERAL |
2,500,000.0 |
|
SECRETARIA DE CULTURA, FÁBRICA DE ARTES Y OFICIOS
(FAROS), FARO DE ORIENTE, FARO DE MILPA ALTA, FARO DE TLAHUAC, FARO INDIOS
VERDES, ACTIVIDADES CULTURALES E INFRAESTRUCTURA |
DISTRITO FEDERAL |
DISTRITO FEDERAL |
4,000,000.0 |
|
SECRETARIA DE CULTURA, MUSEO DE |
DISTRITO FEDERAL |
DISTRITO FEDERAL |
2,000,000.0 |
|
SECRETARIA DE CULTURA PROGRAMA DE DESARROLLO CULTURAL
Y APOYO A PROMOTORES INDEPENDIENTES |
DISTRITO FEDERAL |
DISTRITO FEDERAL |
750,000.0 |
|
SECRETARIA DE CULTURA, PROGRAMA DE DESARROLLO
CULTURAL Y APOYO A PROMOTORES INDEPENDIENTES, CASA REFUGIO CITLATEPEC, A.C.,
ALTSTADTFEST" GOERLITZ Y "NAGUALIAFEST" BERLÍN, ALEMANIA, 2010 |
DISTRITO FEDERAL |
DISTRITO FEDERAL |
250,000.0 |
|
SECRETARIA DE CULTURA COMISIÓN DE FILMACIONES DEL
D.F. |
DISTRITO FEDERAL |
DISTRITO FEDERAL |
750,000.0 |
|
SECRETARIA DE CULTURA PROGRAMAS CULTURALES
COMUNITARIOS DE |
DISTRITO FEDERAL |
DISTRITO FEDERAL |
1,500,000.0 |
|
REESTRUCTURACIÓN DE |
DISTRITO FEDERAL |
DISTRITO FEDERAL |
2,500,000.0 |
|
RESTAURACIÓN ARQUITECTÓNICA Y ORNAMENTAL DEL RECINTO
CULTURAL Y PATRIMONIO HISTÓRICO TEATRO DEL PUEBLO. RESTAURACIÓN
ARQUITECTÓNICA Y ORNAMENTAL DE LOS ELEMENTOS DECORATIVOS DE CANTERA PRESENTES
EN |
DISTRITO FEDERAL |
DISTRITO FEDERAL |
2,750,000.0 |
|
ESCUELA GRATUITA DE ARTES Y OFICIOS DE IZTACALCO PARA
JÓVENES. SE REALIZARA OBRAS DE EXCAVACIÓN, ACARREOS, RELLENOS, TRAZOS,
CIMENTACIÓN, ALBAÑILERÍA, BARDAS PERIMETRALES, ANDADORES INTERNOS, HERRERÍA
INSTALACIONES ELÉCTRICAS E HIDROSANITARIAS |
DISTRITO FEDERAL |
DISTRITO FEDERAL |
1,725,167.5 |
|
ARTE PARA LA SUSTENTABILIDAD |
DISTRITO FEDERAL |
DISTRITO FEDERAL |
339,000.0 |
|
"TEMPLO Y SANTUARIO DE NUESTRA SEÑORA DEL CARMEN
EN SAN ÁNGEL" |
DISTRITO FEDERAL |
DISTRITO FEDERAL |
3,000,000.0 |
|
CASA DE CULTURA |
DISTRITO FEDERAL |
MIGUEL HIDALGO |
7,000,000.0 |
|
JÓVENES POR MÁS EN LA CULTURA |
DISTRITO FEDERAL |
COYOACAN |
1,500,000.0 |
|
FORTALECIMIENTO DE CAPACIDADES DE EMISORAS
COMUNITARIAS |
DISTRITO FEDERAL |
COYOACAN |
500,000.0 |
|
ACADEMIA MEXICANA DE LA LENGUA |
DISTRITO FEDERAL |
DISTRITO FEDERAL |
2,000,000.0 |
|
FIDEICOMISO MUSEO DOLORES OLMEDO PATIÑO |
DISTRITO FEDERAL |
XOCHIMILCO |
1,000,000.0 |
|
MUSEO DIEGO RIVERA ANANAHUACALLI Y FRIDA KAHLO |
DISTRITO FEDERAL |
COYOACAN |
1,000,000.0 |
|
RESTAURACIÓN DE |
DISTRITO FEDERAL |
GUSTAVO A. MADERO |
10,000,000.0 |
|
|
DISTRITO FEDERAL |
CUAUHTÉMOC |
1,000,000.0 |
|
PROYECTO POR UN MÉXICO CON MÚSICA |
DISTRITO FEDERAL |
DISTRITO FEDERAL |
3,000,000.0 |
|
FUNDACIÓN CERVANTISTA ENRIQUE Y ALICIA RUELAS |
DISTRITO FEDERAL |
DISTRITO FEDERAL |
2,500,000.0 |
|
FUNDACIÓN HUMBERT PARA EL DESARROLLO SOCIAL Y DE LA
BIODIVERSIDAD |
DISTRITO FEDERAL |
DISTRITO FEDERAL |
1,000,000.0 |
|
OBRA ANTONIA DE RAFAEL BERNAL |
DISTRITO FEDERAL |
DISTRITO FEDERAL |
500,000.0 |
|
DESARROLLO Y PROFESIONALIZACIÓN DE LAS ARTES
ESCÉNICAS Y CINEMATOGRÁFICAS |
DISTRITO FEDERAL |
DISTRITO FEDERAL |
1,000,000.0 |
|
TRANSVERSALES ENCUENTRO INTERNACIONAL DE ESCENA
CONTEMPORÁNEA |
DISTRITO FEDERAL |
DISTRITO FEDERAL |
1,000,000.0 |
|
APOYO A |
DISTRITO FEDERAL |
DISTRITO FEDERAL |
5,000,000.0 |
|
PROGRAMACIÓN DE ACTIVIDADES CULTURALES EN EL CENTRO
HISTÓRICO |
DISTRITO FEDERAL |
DISTRITO FEDERAL |
6,000,000.0 |
|
|
DISTRITO FEDERAL |
DISTRITO FEDERAL |
6,000,000.0 |
|
ENCUENTRO NACIONAL DE TALENTOS 2010 |
DISTRITO FEDERAL |
DISTRITO FEDERAL |
3,500,000.0 |
|
MUSEO DE HISTORIA NATURAL |
DISTRITO FEDERAL |
DISTRITO FEDERAL |
2,000,000.0 |
|
PROYECTO BICENTENARIO |
DISTRITO FEDERAL |
BENITO JUÁREZ |
2,000,000.0 |
|
CONCURSO LITERARIO "RESCATANDO LAS TRADICIONES
DE LOS PUEBLOS DE |
DISTRITO FEDERAL |
DISTRITO FEDERAL |
1,500,000.0 |
|
PROYECTOS ESTRATÉGICOS 2010 |
GUANAJUATO |
GUANAJUATO |
11,500,000.0 |
|
CONSERVATORIO DE MÚSICA Y ARTES DE CELAYA |
GUANAJUATO |
CELAYA |
1,154,225.0 |
|
RESTAURACIÓN Y CONSOLIDACIÓN DE |
GUERRERO |
ACAPULCO |
125,000.0 |
|
RESTAURACIÓN Y CONSOLIDACIÓN DEL FORTÍN ÁLVAREZ |
GUERRERO |
ACAPULCO |
500,000.0 |
|
REMODELACIÓN DEL TEATRO DOMINGO SOLER |
GUERRERO |
ACAPULCO |
500,000.0 |
|
|
GUERRERO |
ACAPULCO |
500,000.0 |
|
TERCER ENCUENTRO DE ESCRITORES DEL PACÍFICO |
GUERRERO |
ACAPULCO |
300,000.0 |
|
INFRAESTRUCTURA CULTURA |
HIDALGO |
HIDALGO |
2,000,000.0 |
|
ELABORACIÓN DE CATÁLOGO DE ÓRGANOS TUBULARES DE
HIDALGO |
HIDALGO |
HIDALGO |
1,700,000.0 |
|
PARROQUIA DE SAN JOSÉ OBRERO |
JALISCO |
ARANDAS |
5,000,000.0 |
|
SANTÍSIMA IGLESIA DE LA LUZ |
JALISCO |
CAÑADAS DE OBREGÓN |
500,000.0 |
|
TEMPLO DEL SANTUARIO DEL SAGRADO CORAZÓN DE JESÚS |
JALISCO |
MEXTICACÁN |
500,000.0 |
|
PROYECTOS CULTURALES CONMEMORATIVOS DEL BICENTENARIO
Y CENTENARIO DE |
JALISCO |
YAHUALICA DE GONZÁLEZ GALLO |
2,500,000.0 |
|
UNIÓN GANADERA REGIONAL DE JALISCO |
JALISCO |
TLAQUEPAQUE |
4,000,000.0 |
|
PROYECTO DE INVESTIGACIÓN Y RESTAURACIÓN ARQUEOLÓGICA
EN OCONAHUA |
JALISCO |
ETZATLÁN |
1,857,000.0 |
|
PROYECTO DE REHABILITACIÓN DE IMAGEN URBANA |
JALISCO |
ETZATLÁN |
1,554,000.0 |
|
EL PEÑOL |
JALISCO |
ETZATLÁN |
3,800,000.0 |
|
AUDITORIO DEL BICENTENARIO AL AIRE LIBRE |
JALISCO |
TEQUILA |
1,700,000.0 |
|
REHABILITACIÓN DEL TEMPLO DE SAN LUIS OBISPO |
JALISCO |
COLOTLÁN |
700,000.0 |
|
RESTAURACIÓN DEL CENTRO HISTÓRICO |
JALISCO |
AHUALULCO DEL MERCADO |
589,000.0 |
|
CONSTRUCCIÓN DE AUDITORIO |
JALISCO |
COLOTLÁN |
500,000.0 |
|
RESTAURACIÓN DEL TEMPLO DE |
JALISCO |
ETZATLÁN |
500,000.0 |
|
ESCARAMUZA CHARRA LAS GARCITAS |
JALISCO |
ETZATLÁN |
200,000.0 |
|
CONSTRUCCIÓN DE GRADAS DE LIENZO CHARRO SAN MARTÍN DE
BOLAÑOS. |
JALISCO |
SAN MARTÍN DE |
100,000.0 |
|
PALACIO DE CULTURA |
JALISCO |
GUADALAJARA |
35,000,000.0 |
|
PROYECTO DE INVERSIÓN 2010 |
JALISCO |
GUADALAJARA |
12,500,000.0 |
|
FERIA INTERNACIONAL DEL LIBRO |
JALISCO |
GUADALAJARA |
2,500,000.0 |
|
VAMOS POR EL 10 EN LECTURA |
JALISCO |
JALISCO |
3,000,000.0 |
|
EQUIPO DE TRANSPORTE PARA |
JALISCO |
JALISCO |
2,500,000.0 |
|
PREMIO NACIONAL DE LA CERÁMICA |
JALISCO |
JALISCO |
1,500,000.0 |
|
CASA DE |
JALISCO |
ENCARNACIÓN DE DÍAZ |
2,000,000.0 |
|
REMODELACIÓN CASA DE |
JALISCO |
TONALÁ |
5,000,000.0 |
|
PROYECTOS Y PROGRAMAS CULTURALES EN TLAQUEPAQUE |
JALISCO |
TLAQUEPAQUE |
3,000,000.0 |
|
CONSTRUCCIÓN DE BIBLIOTECAS E INFRAESTRUCTURA
CULTURAL PARA GUADALAJARA |
JALISCO |
GUADALAJARA |
14,000,000.0 |
|
CONSTRUCCIÓN DE BIBLIOTECA EN LOMA DORADA TONALÁ |
JALISCO |
TONALÁ |
2,000,000.0 |
|
CONSTRUCCIÓN DEL CENTRO DE |
MÉXICO |
VILLA GUERRERO |
411,000.0 |
|
REHABILITACIÓN Y REMODELACIÓN 1ERA ETAPA DEL TEATRO
AL AIRE LIBRE |
MÉXICO |
ZACAZONAPAN |
347,000.0 |
|
CONSTRUCCIÓN DE CASA DE CULTURA LOCALIDAD SAN DIEGO |
MÉXICO |
SAN SIMON DE GUERRERO |
479,000.0 |
|
CONSTRUCCIÓN DE CASA DE CULTURA EN EL MUNICIPIO DE
CHICOLOAPAN |
MÉXICO |
CHICOLOAPAN |
398,200.0 |
|
CONSTRUCCIÓN DE CASA DE CULTURA EN EL MUNICIPIO |
MÉXICO |
OCOYOACAC |
330,504.0 |
|
CONSTRUCCIÓN DE CASA DE CULTURA EN EL MUNICIPIO DE
TLATAYA |
MÉXICO |
TLATAYA |
553,333.0 |
|
CONSTRUCCIÓN DE CASA DE CULTURA EN EL MUNICIPIO |
MÉXICO |
TULTEPEC |
796,500.0 |
|
CONSTRUCCIÓN DE CASA DE CULTURA EN EL MUNICIPIO
DEVILLA GUERRERO |
MÉXICO |
VILLA GUERRERO |
1,000,000.0 |
|
CONSTRUCCIÓN DE CASA DE CULTURA EN EL MUNICIPIO DE
ISIDRO FABELA |
MÉXICO |
ISIDRO FABELA |
580,000.0 |
|
FESTIVAL DE NEZAHUALCOYOTL |
MÉXICO |
NEZAHUALCOYOTL |
1,500,000.0 |
|
REMODELACIÓN Y EQUIMAMIENTO DE BIBLIOTECAS |
MÉXICO |
NEZAHUALCOYOTL |
2,000,000.0 |
|
PROMOVER Y ACELERAR LA ENSEÑANZA MUSICAL |
MÉXICO |
TOLUCA |
3,000,000.0 |
|
RECUPERACIÓN DEL TEATRO AL AIRE LIBRE
ACONDICIONAMIENTO DE ESPACIOS |
MÉXICO |
MÉXICO |
3,500,000.0 |
|
PRIMER RALLY TEATRAL EN NEZAHUALCOYOTL PARA EL
CENTENARIO Y BICENTENARIO |
MÉXICO |
NEZAHUALCÓYOTL |
1,500,000.0 |
|
EVENTOS ARTÍSTICOS Y TEATRO CONCHA |
MÉXICO |
MÉXICO |
3,000,000.0 |
|
AMPLIACIÓN Y EQUIPAMIENTO DE |
MÉXICO |
SAN MARTÍN DE LAS PIRÁMIDES |
1,000,000.0 |
|
ILUMINACIÓN DEL CENTRO HISTÓRICO Y REHABILITACIÓN DE
PLAZA CENTRAL PARA ACTIVIDADES CULTURALES Y ARTÍSTICAS |
MÉXICO |
TOLUCA |
3,000,000.0 |
|
REMODELACIÓN DEL CENTRO CULTURAL MAXIMILIANO RUIZ
CASTAÑEDA" |
MÉXICO |
ACAMBAY |
2,600,000.0 |
|
REHABILITACIÓN DE |
MÉXICO |
TOLUCA |
4,000,000.0 |
|
ORQUESTA SINFÓNICA DEL ESTADO DE MÉXICO |
MÉXICO |
TOLUCA |
1,500,000.0 |
|
ADQUISICIÓN DE INSTRUMENTOS MUSICALES |
MÉXICO |
MÉXICO |
2,000,000.0 |
|
BIBLIOTECA DEL BICENTENARIO |
MÉXICO |
MÉXICO |
4,500,000.0 |
|
DIGITALIZACIÓN DE ACERVO HISTÓRICO |
MÉXICO |
MÉXICO |
1,000,000.0 |
|
MANTENIMIENTO DE MUSEOS |
MÉXICO |
MÉXICO |
3,000,000.0 |
|
CONSTRUCCIÓN Y EQUIPAMIENTO DE BIBLIOTECA VIRTUAL |
MÉXICO |
MÉXICO |
1,000,000.0 |
|
MANTENIMIENTO A: JARDÍN BOTÁNICO, MUSEO DE |
MÉXICO |
MÉXICO |
2,000,000.0 |
|
FESTIVAL DE LAS FIESTAS PATRIAS |
MÉXICO |
IXTAPAN DE LA SAL |
1,000,000.0 |
|
RECUPERACIÓN DE ENTORNO TIRO NORTE |
MÉXICO |
MUNICIPIO DEL ORO |
2,500,000.0 |
|
"SANTA MARÍA MAGDALENA EN TEPETLAUXTOC" |
MÉXICO |
MÉXICO |
5,500,000.0 |
|
"BIBLIOTECA PÚBLICA INTEGRAL" |
MÉXICO |
SULTEPEC |
1,000,000.0 |
|
"CASA DE CULTURA DE SOAYANIQUILPAN" |
MÉXICO |
SOYANIQUILPAN |
1,200,000.0 |
|
CASAS DE CULTURA REGIONALES |
MÉXICO |
TEXCALTITLÁN |
688,775.0 |
|
FESTIVAL CULTURAL NEZAHUALCOYOTL |
MÉXICO |
NEZAHUALCOYOTL |
1,500,000.0 |
|
ORQUESTA SINFÓNICA DEL ESTADO DE MÉXICO |
MÉXICO |
TOLUCA |
10,000,000.0 |
|
CONSTRUCCIÓN DE CASA DE CULTURA EN EL MUNICIPIO DE
BENITO JUÁREZ |
MICHOACÁN |
BENITO JUÁREZ |
306,200.0 |
|
CONSTRUCCIÓN DE CASA DE CULTURA EN EL MUNICIPIO |
MICHOACÁN |
TINGAMBATO |
398,200.0 |
|
CONSTRUCCIÓN DE CASA DE CULTURA EN EL MUNICIPIO DE
COJUMATLAN DE REGULES |
MICHOACÁN |
COJUMATLAN DE REGULES |
415,000.0 |
|
CONSTRUCCIÓN DE CASA DE CULTURA EN EL MUNICIPIO |
MICHOACÁN |
LÁZARO CÁRDENAS |
447,000.0 |
|
CONSTRUCCIÓN DE CASA DE CULTURA EN EL MUNICIPIO DE
MORELOS |
MICHOACÁN |
MORELOS |
398,200.0 |
|
CONSTRUCCIÓN DE CASA DE CULTURA EN EL MUNICIPIO |
MICHOACÁN |
PANINDICUARO |
275,600.0 |
|
CONSTRUCCIÓN DE CASA DE CULTURA EN EL MUNICIPIO DE
VENUSTIANO CARRANZA |
MICHOACÁN |
PURUANDIRO |
300,000.0 |
|
CONSTRUCCIÓN DE CASA DE CULTURA EN EL MUNICIPIO |
MICHOACÁN |
VENUSTIANO CARRANZA |
300,000.0 |
|
CONSTRUCCIÓN DE CASA DE CULTURA EN EL MUNICIPIO DE
ZACAPU |
MICHOACÁN |
ZACAPU |
247,000.0 |
|
CONSTRUCCIÓN DEL MONUMENTO "ENCUENTRO HIDALGO |
MICHOACÁN |
CHARO |
4,000,000.0 |
|
PROYECTO DE REHABILITACIÓN EDILICIA DE LAS CASAS DE |
MICHOACÁN |
URUAPAN |
2,000,000.0 |
|
RESTAURACIÓN DEL 2DO PATIO CENTRO CULTURAL CLAVIJERO |
MICHOACÁN |
MORELIA |
468,000.0 |
|
CAPILLA SANTA MARÍA DE GUIDO |
MICHOACÁN |
MORELIA |
1,000,000.0 |
|
CASA DEL GENERAL EPITACIO HUERTA SOLORIO |
MICHOACÁN |
COENEO |
1,000,000.0 |
|
CONSTRUCCIÓN DE |
MICHOACÁN |
BUENAVISTA |
775,000.0 |
|
TEATRO BICENTENARIO |
MICHOACÁN |
MORELIA |
5,000,000.0 |
|
RESTAURACIÓN DEL TEMPLO DE |
MICHOACÁN |
ZACAPU |
250,000.0 |
|
CONSTRUCCIÓN DE BIBLIOTECA REGIONAL JOSÉ HERNÁNDEZ
MORENO |
MICHOACÁN |
LA PIEDAD |
3,000,000.0 |
|
CONSTRUCCIÓN DE CASA DE CULTURA EN EL MUNICIPIO DE
EMILIANO ZAPATA |
MORELOS |
EMILIANO ZAPATA |
796,000.0 |
|
CONSTRUCCIÓN DE CASA DE CULTURA EN EL MUNICIPIO |
MORELOS |
JIUTEPEC |
497,000.0 |
|
CONSTRUCCIÓN DE CASA DE CULTURA EN EL MUNICIPIO DE
TLAQUILTENANGO |
MORELOS |
TLAQUILTENANGO |
497,000.0 |
|
SEGUNDA ETAPA DE |
MORELOS |
MUNICIPIO DE CUAUTLA |
3,000,000.0 |
|
SEGUNDA ETAPA DE |
NAYARIT |
HUAJICORI |
500,000.0 |
|
SANTA CATARINA CENTENARIO Y BICENTENARIO |
NUEVO LEÓN |
SANTA CATARINA |
1,250,000.0 |
|
MEJORAMIENTO ESTRUCTURAL DE |
NUEVO LEÓN |
SANTA CATARINA |
300,000.0 |
|
SALA HISTÓRICA DE SANTA CATARINA |
NUEVO LEÓN |
SANTA CATARINA |
102,500.0 |
|
ADQUISICIÓN DE INSTRUMENTOS MUSICALES, EQUIPO DE
SONIDO Y VESTIMENTA |
NUEVO LEÓN |
SANTA CATARINA |
347,500.0 |
|
PROYECTO ESCULTÓRICO CAPITAL LUCAS GARCÍAS |
NUEVO LEÓN |
SANTA CATARINA |
500,000.0 |
|
MUSEO DE SAN NICOLÁS (MUSAN) |
NUEVO LEÓN |
SAN NICOLÁS DE LOS GARZA |
2,000,000.0 |
|
TEATRO CALDERÓN |
NUEVO LEÓN |
MONTERREY |
7,000,000.0 |
|
CENTRO HISTÓRICO CULTURAL, RECONSTRUCCIÓN DE FACHADAS
Y BANQUETAS |
NUEVO LEÓN |
GENERAL TERAN |
5,000,000.0 |
|
CONSTRUCCIÓN DE CASA DE CULTURA EN EL MUNICIPIO |
OAXACA |
ASUNCIÓN IXTALTEPEC |
622,000.0 |
|
CONSTRUCCIÓN DE CASA DE CULTURA EN EL MUNICIPIO DE
COYCOYAN DE LAS FLORES |
OAXACA |
COYCOYAN DE LAS FLORES |
622,000.0 |
|
CONSTRUCCIÓN DE CASA DE CULTURA EN EL MUNICIPIO |
OAXACA |
SAN ANDRÉS HUAXPALTEPEC |
620,000.0 |
|
CONSTRUCCIÓN DE CASA DE CULTURA EN EL MUNICIPIO DE
SAN PEDRO TOPILTEPEC |
OAXACA |
SAN PEDRO TOPILTEPEC |
26,100.0 |
|
CONSTRUCCIÓN DE CASA DE CULTURA EN EL MUNICIPIO |
OAXACA |
SANTA MARÍA APAZCO |
311,200.0 |
|
CONSTRUCCIÓN DE CASA DE CULTURA EN EL MUNICIPIO DE
SANTA MARÍA CAMOTLAN |
OAXACA |
SANTA MARÍA CAMOTLAN |
360,000.0 |
|
CONSTRUCCIÓN DE CASA DE CULTURA EN EL MUNICIPIO |
OAXACA |
SANTIAGO CHAZUMBA |
1,000,000.0 |
|
CONSTRUCCIÓN DE CASA DE CULTURA EN EL MUNICIPIO DE
VILLA DE CHILAPA DE DÍAZ |
OAXACA |
VILLA DE CHILAPA DE DÍAZ |
200,000.0 |
|
PROYECTO CULTURAL INTEGRAL AMIGOS DEL MUPO, AC |
OAXACA |
OAXACA |
1,000,000.0 |
|
CONSTRUCCIÓN CENTRO CULTURAL Y DE USOS MÚLTIPLES |
OAXACA |
MAGDALENA TEQUISISTLAN |
400,000.0 |
|
RECONSTRUCCIÓN DEL TEMPLO ANTIGUO DE SANTA MARÍA
HUAZOLOTITLAN |
OAXACA |
SANTA MARÍA HUAZOLOTITLAN |
300,000.0 |
|
CONSTRUCCIÓN DE TECHUMBRE DE PLAZA CÍVICA |
OAXACA |
SANTA MARÍA TECOMAVACA |
269,220.0 |
|
CONSTRUCCIÓN DE CENTRO POLIFUNCIONAL DE DESARROLLO
COMUNITARIO |
OAXACA |
ZIMATLAN DE ÁLVAREZ |
536,000.0 |
|
CONSTRUCCIÓN DE CASA DE MÚSICA INFANTIL SEGUNDA ETAPA |
OAXACA |
SAN PEDRO HUILOTEPEC |
311,000.0 |
|
CONSTRUCCIÓN DE CASA DE |
OAXACA |
SANTA ANA ZEGACHE |
610,000.0 |
|
CREACIÓN DE |
OAXACA |
SANTA ANA ZEGACHE |
314,832.0 |
|
REHABILITACIÓN DE |
OAXACA |
OAXACA DE JUÁREZ |
7,000,000.0 |
|
PROYECCIÓN INTERNACIONAL BANDA REGIONAL MIXE |
OAXACA |
MUNICIPIOS SELECCIONADOS AL INTERIOR DEL
ESTADO |
1,000,000.0 |
|
CONSTRUCCIÓN DE |
OAXACA |
SAN MIGUEL PERAS |
1,000,000.0 |
|
FIESTAS DE LOS LUNES DEL CERRO
"GUELAGUETZA" |
OAXACA |
OAXACA DE JUÁREZ |
4,500,000.0 |
|
CONSTRUCCIÓN DE |
OAXACA |
TRINIDAD ZAACHILA |
1,000,000.0 |
|
FORTALECIMIENTO AL PATRIMONIO MUSICAL DE OAXACA |
OAXACA |
OAXACA DE JUÁREZ |
3,000,000.0 |
|
CONSTRUCCIÓN DE CASA DE CULTURA EN EL MUNICIPIO DE
FRANCISCO Z. MENA |
PUEBLA |
FRANCISCO Z. MENA |
340,000.0 |
|
CONSTRUCCIÓN DE CASA DE CULTURA EN EL MUNICIPIO |
PUEBLA |
DOMINGO ARENAS |
200,000.0 |
|
ARCA / 20 |
PUEBLA |
PUEBLA |
1,500,000.0 |
|
GRAN VISIÓN CULTURAL |
PUEBLA |
PUEBLA |
2,500,000.0 |
|
SAN PEDRO CHOLULA PROPUESTA PARA LA RESTAURACIÓN |
PUEBLA |
SAN PEDRO CHOLULA |
2,500,000.0 |
|
FONDO PARA |
PUEBLA |
PUEBLA |
3,000,000.0 |
|
DESARROLLO MUSICAL DE |
PUEBLA |
PUEBLA |
2,000,000.0 |
|
REMODELACIÓN Y RESTAURACIÓN DEL CINE TEATRO ROSALIO
SOLANO |
QUERÉTARO |
QUERÉTARO |
9,000,000.0 |
|
PROYECTO "FESTIVAL BICENTENARIO" SANTIAGO
DE QUERÉTARO |
QUERÉTARO |
QUERÉTARO |
2,500,000.0 |
|
CORO INFANTIL SINFÓNICO QUERETANO |
QUERÉTARO |
QUERÉTARO |
2,000,000.0 |
|
REHABILITACIÓN DEL TEATRO MANUEL ÁVILA CAMACHO |
QUINTANA ROO |
OTHÓN BLANCO CHETUMAL |
2,538,443.0 |
|
CONSTRUCCIÓN DE CASA DE CULTURA EN EL MUNICIPIO |
SAN LUIS POTOSÍ |
RAYÓN |
452,000.0 |
|
CONSTRUCCIÓN DE CASA DE CULTURA EN EL MUNICIPIO DE
SANTO DOMINGO |
SAN LUIS POTOSÍ |
SANTO DOMINGO |
602,400.0 |
|
CONSTRUCCIÓN DE CASA DE CULTURA EN EL MUNICIPIO |
SAN LUIS POTOSÍ |
SOLEDAD DE GRACIANO SÁNCHEZ |
570,000.0 |
|
CONSTRUCCIÓN DE CASA DE CULTURA EN EL MUNICIPIO DE
VILLA GUADALUPE |
SAN LUIS POTOSÍ |
VILLA GUADALUPE |
820,000.0 |
|
AUDITORIO MUNICIPAL DE AQUISMÓN |
SAN LUIS POTOSÍ |
AQUISMON |
650,000.0 |
|
CONSTRUCCIÓN DE CASA DE CULTURA MUNICIPAL |
SAN LUIS POTOSÍ |
TANLAJAS |
275,900.0 |
|
|
SINALOA |
CULIACÁN |
2,500,000.0 |
|
REACONDICIONAMIENTO A |
TABASCO |
CUNDUACÁN |
1,050,000.0 |
|
CASA DE CULTURA JOSÉ TIQUET |
TABASCO |
PARAÍSO |
1,000,000.0 |
|
PROYECTO WAN WINMAX |
TABASCO |
CENTLA |
3,200,000.0 |
|
REHABILITACIÓN DE |
TABASCO |
JALAPA |
1,200,000.0 |
|
PASEO CULTURAL BICENTENARIO |
TABASCO |
COMALCALCO |
3,200,000.0 |
|
REHABILITACIÓN DE |
TABASCO |
CENTRO |
1,000,000.0 |
|
ORQUESTA SINFÓNICA JUVENIL CHONTAL |
TABASCO |
CENTRO |
750,000.0 |
|
REMODELACIÓN DE |
TABASCO |
JALAPA |
1,225,000.0 |
|
PROYECTOS CULTURALES DE INVERSIÓN |
TAMAULIPAS |
MATAMOROS |
1,000,000.0 |
|
MUSEO DE ARTE CONTEMORÁNEO |
TAMAULIPAS |
MATAMOROS |
1,000,000.0 |
|
MUSEO CASA MATA |
TAMAULIPAS |
MATAMOROS |
1,000,000.0 |
|
ACONDICIONAMIENTO Y EQUIPAMIENTO DE LA BIBLIOTECA |
TLAXCALA |
TLAXCALA |
2,000,000.0 |
|
EDICIÓN DE UN LIBRO DE ARTE EXPOSICIONES ITINERANTES,
TALLERES DE FOMENTOS A |
TLAXCALA |
TLAXCALA |
1,000,000.0 |
|
RESTAURACIÓN DE |
VERACRUZ |
VERACRUZ |
8,000,000.0 |
|
REHABILITACIÓN DE CALLEJONES HISTÓRICOS PARA |
VERACRUZ |
VERACRUZ |
1,000,000.0 |
|
CONSTRUCCIÓN DE CASA DE LA CULTURA |
VERACRUZ |
AGUA DULCE |
1,000,000.0 |
|
CENTRO DE LAS ARTES INDÍGENAS-TAJÍN |
VERACRUZ |
PAPANTLA |
2,700,000.0 |
|
CONSTRUCCIÓN DE CASA DE CULTURA EN EL MUNICIPIO DE
SAMAHIL |
YUCATÁN |
SAMAHIL |
350,000.0 |
|
CONSTRUCCIÓN DE CASA DE CULTURA EN EL MUNICIPIO |
YUCATÁN |
SUMA DE HIDALGO |
532,000.0 |
|
CONSTRUCCIÓN DE CASA DE CULTURA EN EL MUNICIPIO DE
TIXMEHUAC |
YUCATÁN |
TIXMEHUAC |
525,000.0 |
|
REHABILITACIÓN DE LA |
YUCATÁN |
TUNCAX |
1,000,000.0 |
|
REHABILITACIÓN DE |
YUCATÁN |
YUCATÁN |
1,500,000.0 |
|
PROYECTOS ESTRATÉGICOS 2010 |
YUCATÁN |
YUCATÁN |
5,000,000.0 |
|
TEATRO CULTURAL PROGRESO |
YUCATÁN |
YUCATÁN |
10,000,000.0 |
|
CENTRO CULTURAL CIUDADELA DEL ARTE |
ZACATECAS |
TODOS |
1,000,000.0 |
|
CENTRO ESTATAL DE LAS ARTES |
ZACATECAS |
TODOS |
1,500,000.0 |
|
RED ESTATAL DE FESTIVALES CULTURALES |
ZACATECAS |
TODOS |
4,500,000.0 |
|
RETABLO CATEDRAL |
ZACATECAS |
TODOS |
10,000,000.0 |
|
MUSEO PEDRO CORONEL |
ZACATECAS |
TODOS |
4,500,000.0 |
|
SERVICIOS ESPECIALIZADOS PARA EL SECTOR ARTESANAL. |
ZACATECAS |
TODOS |
1,500,000.0 |
|
FOMENTO DE |
ZACATECAS |
TODOS |
1,000,000.0 |
|
PROGRAMA EDITORIAL 2010 |
ZACATECAS |
TODOS |
1,250,000.0 |
|
PRESENCIA ESCULTÓRICAS DE |
ZACATECAS |
TODOS |
500,000.0 |
|
PROYECTO PARA |
ZACATECAS |
ZACATECAS |
500,000.0 |
|
ANEXO 26. G AMPLIACIONES A JUVENTUD Y DEPORTE (pesos)
1/ |
||||||||
|
|
|
|
|
|
|
|
|
Monto |
|
RAMO 11. EDUCACIÓN PÚBLICA |
|
|
1,005,000,000 |
|||||
|
|
INFRAESTRUCTURA DEPORTIVA DE LOS JUEGOS DEPORTIVOS
PANAMERICANOS GUADALAJARA 2011 |
200,000,000 |
||||||
|
|
FONDO DE INFRAESTRUCTURA DEPORTIVA MUNICIPAL (ANEXO
26 H) |
705,000,000 |
||||||
|
|
INSTITUTO MEXICANO DE |
100,000,000 |
||||||
|
|
|
|
|
|
|
|
|
|
|
1/ El programa presupuestario "Deporte" de |
||||||||
|
ANEXO 26. H AMPLIACIONES PARA |
||||||||
|
|
|
|
|
|
|
|
|
|
|
RAMO 11. EDUCACIÓN PÚBLICA |
|
|||||||
|
UNIDAD RESPONSABLE: L6I COMISIÓN NACIONAL DE CULTURA
FÍSICA Y DEPORTE |
Monto |
|||||||
|
ENTIDAD FEDERATIVA / MUNICIPIOS |
|
|
||||||
|
TOTAL |
|
|
|
|
|
|
|
705,000,000 |
|
|
|
|
|
|
|
|
|
|
|
Aguascalientes |
|
|
5,103,143 |
|||||
|
|
Aguascalientes |
|
1,925,714 |
|||||
|
|
Calvillo |
|
|
|
|
|
|
2,407,143 |
|
|
San José de García |
|
|
|
|
|
770,286 |
|
|
Baja California |
|
|
|
29,944,857 |
||||
|
|
Ensenada |
|
|
5,777,143 |
||||
|
|
Mexicali |
|
|
|
|
|
|
7,702,857 |
|
|
Rosarito |
|
|
|
|
|
|
2,022,000 |
|
|
Tijuana |
|
|
|
|
|
|
14,442,857 |
|
Baja California |
|
|
7,028,857 |
|||||
|
|
Comondú |
|
|
|
|
|
|
1,251,714 |
|
|
La Paz |
|
|
|
|
|
|
1,925,714 |
|
|
Loreto |
|
|
|
|
|
|
962,857 |
|
|
Los Cabos |
|
|
|
|
1,925,714 |
||
|
|
Mulegé |
|
|
|
|
|
|
962,857 |
|
Campeche |
|
|
2,888,571 |
|||||
|
|
Candelaria |
|
2,888,571 |
|||||
|
Chiapas |
|
|
|
|
|
|
|
23,253,000 |
|
|
Amatenango de |
|
962,857 |
|||||
|
|
Comitán de Domínguez |
|
1,925,714 |
|||||
|
|
Frontera Comalapa |
|
|
|
|
|
625,857 |
|
|
|
Ixhuatan |
|
|
|
|
|
|
1,925,714 |
|
|
Socoltenango |
|
1,925,714 |
|||||
|
|
Tenejapa |
|
|
|
|
|
|
1,925,714 |
|
|
Tila |
|
|
|
|
|
|
1,925,714 |
|
|
Tuxtla Gutierrez |
|
12,035,714 |
|||||
|
Chihuahua |
|
|
6,740,000 |
|||||
|
|
Chihuahua |
|
6,740,000 |
|||||
|
Coahuila |
|
|
|
|
|
|
|
1,444,286 |
|
|
Torreón |
|
|
|
|
|
|
1,444,286 |
|
Colima |
|
|
|
|
|
|
|
17,572,143 |
|
|
Colima |
|
|
|
|
|
|
1,925,714 |
|
|
Comala |
|
|
|
|
|
|
4,332,857 |
|
|
Coquimatlán |
|
|
1,444,286 |
||||
|
|
Ixtlahuacán |
|
866,571 |
|||||
|
|
Manzanillo |
|
7,702,857 |
|||||
|
|
Minatitlán |
|
|
|
|
|
|
866,571 |
|
|
Villa Alvarez |
|
433,286 |
|||||
|
Distrito Federal |
|
|
|
5,970,869 |
||||
|
|
Miguel Hidalgo |
|
|
1,444,286 |
||||
|
|
Tlalpan |
|
|
|
|
|
|
2,119,440 |
|
|
Cuajimalpa |
|
2,407,143 |
|||||
|
|
|
|
|
|
|
|
17,331,429 |
|
|
|
Cuencame |
|
1,925,714 |
|||||
|
|
Durango |
|
|
|
|
|
|
9,628,571 |
|
|
El Oro |
|
|
|
|
|
|
1,925,714 |
|
|
Gómez Palacio |
|
|
1,925,714 |
||||
|
|
Poanas |
|
|
|
|
|
|
1,925,714 |
|
|
63,189,308 |
|||||||
|
|
Dolores Hidalgo |
|
|
52,957,143 |
||||
|
|
Irapuato |
|
|
|
|
|
|
10,232,165 |
|
|
|
|
|
|
|
|
14,057,714 |
|
|
|
Acapulco |
|
|
|
|
|
|
962,857 |
|
|
Atoyac |
|
|
|
|
|
|
2,696,000 |
|
|
Azoyu |
|
|
|
|
|
|
962,857 |
|
|
Benito Juárez |
|
|
1,444,286 |
||||
|
|
Coahuayutla |
|
|
|
1,444,286 |
|||
|
|
Coyuca De Benítez |
|
|
|
|
|
962,857 |
|
|
|
Huamuxtitlán |
|
|
1,444,286 |
||||
|
|
Petatlán |
|
|
|
|
|
|
3,177,429 |
|
|
Quechultenango |
|
962,857 |
|||||
|
|
|
|
|
|
|
|
6,740,000 |
|
|
|
Hujutla |
|
|
|
|
|
|
1,925,714 |
|
|
Pachuca |
|
|
|
|
|
|
4,814,286 |
|
|
|
|
|
|
|
|
27,069,091 |
|
|
|
El Arenal |
|
|
|
|
|
|
770,286 |
|
|
El Salto |
|
|
|
|
|
|
2,888,571 |
|
|
Encarnación De Díaz |
|
|
|
|
|
962,857 |
|
|
|
Puerto Vallarta |
|
4,160,911 |
|||||
|
|
Quitupan |
|
|
|
|
|
|
962,857 |
|
|
Tlajomulco De Zuñiga |
|
|
|
|
|
3,851,429 |
|
|
|
Tlaquepaque |
|
1,925,714 |
|||||
|
|
Tonala |
|
|
|
|
|
|
1,925,714 |
|
|
Valle De Juárez |
|
|
962,857 |
||||
|
|
Villa Guerrero |
|
|
769,323 |
||||
|
|
Zapopan |
|
|
|
|
|
|
2,888,571 |
|
|
Guadalajara, Unidad Deportiva No. 41 |
|
3,000,000 |
|||||
|
|
Guadalajara, Parque Liberación |
|
1,500,000 |
|||||
|
|
Guadalajara, Lienzo Charro Jalisco |
|
500,000 |
|||||
|
|
|
|
|
|
|
|
118,912,857 |
|
|
|
Atlacomulco |
|
1,155,429 |
|||||
|
|
Chapultepec |
|
2,407,143 |
|||||
|
|
Chiconcua |
|
2,407,143 |
|||||
|
|
Chimalhuacán |
|
|
3,851,429 |
||||
|
|
Cocotitlán |
2,888,571 |
||||||
|
|
Cuatitlán Izcalli |
|
|
3,851,429 |
||||
|
|
Huixquilucan |
|
19,257,143 |
|||||
|
|
Jilotepec |
|
|
|
|
|
|
2,888,571 |
|
|
La Paz |
|
|
|
|
|
|
2,888,571 |
|
|
Luvianos |
|
|
|
|
|
|
1,155,429 |
|
|
Naucalpan |
|
3,851,429 |
|||||
|
|
Nezahualcóyotl |
|
2,888,571 |
|||||
|
|
Otzoloapan |
|
1,925,714 |
|||||
|
|
Papalotla |
|
|
|
|
|
|
1,925,714 |
|
|
San Martín De Las Piramides |
|
2,888,571 |
|||||
|
|
San Mateo Atenco |
|
|
|
|
|
4,814,286 |
|
|
|
San Simón de Guerrero |
|
1,444,286 |
|||||
|
|
San Vicente Chicoloapan |
|
1,925,714 |
|||||
|
|
Soyaniquilpan |
|
4,814,286 |
|||||
|
|
Temascalcingo |
|
|
2,407,143 |
||||
|
|
Teoloyucan |
|
|
2,888,571 |
||||
|
|
Tepetlaoxtoc |
|
|
1,444,286 |
||||
|
|
Texcoco |
|
|
2,888,571 |
||||
|
|
Tlalnepantla |
|
|
2,888,571 |
||||
|
|
Tlatlaya |
|
|
|
|
|
|
1,444,286 |
|
|
Tonanitla |
|
|
|
|
|
|
1,925,714 |
|
|
Tonatico |
|
|
|
|
|
|
6,740,000 |
|
|
Tultepec |
|
|
|
|
|
|
1,925,714 |
|
|
Tultitlán |
|
|
|
|
|
|
9,628,571 |
|
|
Valle de Bravo |
|
2,888,571 |
|||||
|
|
Valle de Chalco |
|
1,925,714 |
|||||
|
|
Villa de Allende |
|
962,857 |
|||||
|
|
Villa Victoria |
|
1,059,143 |
|||||
|
|
Zacazonapan |
|
962,857 |
|||||
|
|
Zinacantepec |
|
2,888,571 |
|||||
|
|
Zumpango |
|
|
4,814,286 |
||||
|
|
|
22,627,143 |
||||||
|
|
Benito Juárez |
|
|
1,444,286 |
||||
|
|
Buenavista |
|
1,925,714 |
|||||
|
|
Buenavista Tomatlan |
|
|
|
|
|
962,857 |
|
|
|
Cojumatlan De Regules |
|
2,888,571 |
|||||
|
|
Lazaro Cárdenas |
|
2,888,571 |
|||||
|
|
Morelos |
|
|
|
|
|
|
1,925,714 |
|
|
Panindicuaro |
|
962,857 |
|||||
|
|
Tacámbaro |
|
1,925,714 |
|||||
|
|
Tangamandapio |
|
2,888,571 |
|||||
|
|
Venusiano Carranza |
|
|
|
|
|
962,857 |
|
|
|
Zacapu |
|
|
|
|
|
|
3,851,429 |
|
|
|
|
|
|
|
|
8,665,714 |
|
|
|
Cuernavaca |
|
3,370,000 |
|||||
|
|
Emiliano Zapata |
|
|
1,444,286 |
||||
|
|
Jiutepec |
|
|
|
|
|
|
1,925,714 |
|
|
Tlaquiltenango |
|
|
1,925,714 |
||||
|
|
|
|
|
|
|
|
18,005,884 |
|
|
|
Bahía Bandera |
|
|
1,444,286 |
||||
|
|
Compostela |
|
|
2,888,571 |
||||
|
|
Huajicori |
|
|
|
|
|
|
3,851,429 |
|
|
Ixtlán Del Río |
|
|
2,888,571 |
||||
|
|
Jala |
|
|
|
|
|
|
193,027 |
|
|
La Yesca |
|
|
|
|
|
|
962,857 |
|
|
Ruíz |
|
|
|
|
|
|
1,925,714 |
|
|
San Pedro Lagunillas |
|
|
|
|
|
962,857 |
|
|
|
Tepic |
|
|
|
|
|
|
1,925,714 |
|
|
Tuxpan |
|
|
|
|
|
|
962,857 |
|
|
|
|
|
|
|
26,000,000 |
||
|
|
Allende |
|
|
|
|
|
|
8,000,000 |
|
|
General Escobedo |
|
|
|
|
|
6,300,000 |
|
|
|
Guadalupe |
|
|
5,000,000 |
||||
|
|
Monterrey |
|
|
4,000,000 |
||||
|
|
San Pedro Garza García |
|
2,700,000 |
|||||
|
Oaxaca |
|
|
|
|
|
|
|
33,218,571 |
|
|
Asunción Cuyotepeji |
|
|
|
|
|
962,857 |
|
|
|
Asuncion Nochixtlan |
|
|
|
|
|
1,444,286 |
|
|
|
Ciudad Ixtepec |
|
962,857 |
|||||
|
|
Santiago Tamazola |
|
|
|
|
|
1,925,714 |
|
|
|
Guadalupe Etla |
|
1,925,714 |
|||||
|
|
Juchitan De Zaragoza |
|
1,925,714 |
|||||
|
|
Magdalena Tlacotepec |
|
962,857 |
|||||
|
|
Magdalena Tequisistlan |
|
1,925,714 |
|||||
|
|
San Francisco Ixhuatan |
|
1,925,714 |
|||||
|
|
San Francisco Jaltepetongo , Nochixtlan |
|
962,857 |
|||||
|
|
San José Chiltepec |
|
|
|
|
|
1,444,286 |
|
|
|
San Pedro Huilotepec |
|
|
|
|
|
1,444,286 |
|
|
|
San Pedro Pochutla |
|
|
|
|
|
1,444,286 |
|
|
|
Santa María Camotlan |
|
1,444,286 |
|||||
|
|
Santa María Huatulco |
|
|
|
|
|
1,925,714 |
|
|
|
Santa María Huazolotitlan |
1,925,714 |
||||||
|
|
Santiago Huajolotitlán |
|
|
|
|
|
1,444,286 |
|
|
|
Santiago Llano Grande |
1,444,286 |
||||||
|
|
Santo Domingo Tehuantepec |
1,444,286 |
||||||
|
|
Santa Catarina Zapoquila |
1,444,286 |
||||||
|
|
Coicoyan De Las Flores |
1,444,286 |
||||||
|
Zimatlan de Alvarez |
|
|
|
|
|
1,444,286 |
||
|
Puebla |
|
|
|
|
|
|
|
49,660,651 |
|
|
Cuautlacingo |
|
25,034,286 |
|||||
|
|
Domingo Arenas |
|
|
|
1,517,794 |
|||
|
|
Francisco Z. Mena |
|
|
|
|
|
1,925,714 |
|
|
|
Puebla |
|
|
|
|
|
|
19,257,143 |
|
|
Tepeyahalco de Cuahutemoc |
|
962,857 |
|||||
|
Tezihutlán |
|
962,857 |
||||||
|
San Luis Potosí |
|
|
22,700,651 |
|||||
|
|
Aquismon |
|
4,814,286 |
|||||
|
|
Rayon |
|
|
|
|
|
|
1,444,286 |
|
|
Santa María del Río |
|
|
|
|
|
7,702,857 |
|
|
|
Santo Domingo |
|
1,517,794 |
|||||
|
|
Soledad de Graciano Sánchez |
|
2,407,143 |
|||||
|
|
Tanlajas |
|
|
|
|
|
|
1,925,714 |
|
|
Villa de Arista |
|
1,444,286 |
|||||
|
Villa Guadalupe |
|
1,444,286 |
||||||
|
Sonora |
|
|
|
|
|
|
|
42,705,333 |
|
|
Agua Prieta |
|
962,857 |
|||||
|
|
Alamos |
|
|
|
|
|
|
2,407,143 |
|
|
Benito Juárez |
|
1,925,714 |
|||||
|
|
Benjamin Hill |
|
974,763 |
|||||
|
|
Guaymas |
|
|
|
|
|
|
2,407,143 |
|
|
Hermosillo |
|
7,748,811 |
|||||
|
|
Huatabampo |
|
1,925,714 |
|||||
|
|
Magdalena |
|
962,857 |
|||||
|
|
Naco |
|
|
|
|
|
|
674,000 |
|
|
Navojoa |
|
|
|
|
|
|
12,517,143 |
|
|
Nogales |
|
|
|
|
|
|
6,979,973 |
|
|
Quiriego |
|
|
|
|
|
|
481,429 |
|
|
Rosario |
|
|
|
|
|
|
962,857 |
|
|
San Javier |
|
904,997 |
|||||
|
Trincheras |
|
869,932 |
||||||
|
Tabasco |
|
|
|
|
|
|
|
28,885,714 |
|
|
Centla |
|
|
|
|
|
|
1,925,714 |
|
|
Comalcalco |
|
3,851,429 |
|||||
|
|
Cunduacan |
|
5,777,143 |
|||||
|
|
Jalapa |
|
|
|
|
|
|
5,295,714 |
|
|
Jalpa de Mendez |
|
1,925,714 |
|||||
|
|
Jonuta |
|
|
|
|
|
|
1,925,714 |
|
|
Nacajuca |
|
|
|
|
|
|
1,444,286 |
|
Paraiso |
|
|
|
|
|
|
6,740,000 |
|
|
Tamaulipas |
|
20,220,000 |
||||||
|
|
Nuevo Laredo |
|
6,740,000 |
|||||
|
Reynosa |
|
|
|
|
|
|
13,480,000 |
|
|
Tlaxcala |
|
|
|
|
|
|
|
19,257,143 |
|
Tlaxcala |
|
|
|
|
|
|
19,257,143 |
|
|
Veracruz |
|
|
|
|
|
|
|
23,108,571 |
|
|
Atzacan |
|
|
|
|
|
|
3,851,429 |
|
|
Orizaba |
|
|
|
|
|
|
14,442,857 |
|
Zozocolco |
|
|
4,814,286 |
|||||
|
Yucatán |
|
|
|
|
|
|
|
41,735,641 |
|
|
Chemax |
|
|
|
|
|
|
962,857 |
|
|
Chocholá |
|
|
|
|
|
|
1,925,714 |
|
|
Dzemul |
|
|
|
|
|
|
962,857 |
|
|
Espita |
|
|
|
|
|
|
1,685,004 |
|
|
Homún |
|
|
|
|
|
|
962,857 |
|
|
Merida |
|
|
|
|
|
|
11,554,286 |
|
|
Mocochá |
|
|
|
|
|
|
2,984,857 |
|
|
Muna |
|
|
|
|
|
|
962,857 |
|
|
Peto |
|
|
|
|
|
|
1,444,286 |
|
|
Progreso |
|
|
|
|
|
|
1,444,286 |
|
|
Sacalum |
|
|
|
|
|
|
962,857 |
|
|
Samahil |
|
|
|
|
|
|
1,444,286 |
|
|
San Felipe |
|
2,561,505 |
|||||
|
|
Suma De Hidalgo |
|
1,444,286 |
|||||
|
|
Temozon |
|
|
|
|
|
|
962,857 |
|
|
Tekak |
|
|
|
|
|
|
1,444,286 |
|
|
Timucuy |
|
|
|
|
|
|
962,857 |
|
|
Tixmehuac |
|
1,285,703 |
|||||
|
|
Tixpéhual |
|
|
|
|
|
|
962,857 |
|
|
Tzucacab |
|
|
|
|
|
|
1,444,286 |
|
|
Umán |
|
|
|
|
|
|
1,444,286 |
|
|
Valladolid |
|
|
|
|
|
|
962,857 |
|
Xocchel |
|
|
|
|
|
|
962,857 |
|
|
Zacatecas |
|
|
962,857 |
|||||
|
|
Ojo Caliente |
|
|
962,857 |
||||
|
ANEXO 27. AMPLIACIONES AL CONSEJO NACIONAL DE CIENCIA
Y TECNOLOGÍA (pesos) |
||||||||
|
|
|
|
|
|
|
|
|
|
|
|
|
|
|
|
|
|
|
Monto |
|
RAMO 38: CONSEJO NACIONAL DE CIENCIA Y TECNOLOGÍA |
730,000,000 |
|||||||
|
|
FONDO MIXTO |
|
390,000,000 |
|||||
|
|
APOYOS INSTITUCIONALES (GRAN TELESCOPIO MILIMÉTRICO) |
120,000,000 |
||||||
|
|
APOYOS INSTITUCIONALES (CENTROS DE TECNOLOGÍA Y
APRENDIZAJE (RIA) DEL ESTADO DE MÉXICO) |
90,000,000 |
||||||
|
|
APOYOS INSTITUCIONALES (LABORATORIO DE BIOSEGURIDAD
BSL III PLUS DEL CENTRO REGIONAL DE DIAGNÓSTICO Y REFERENCIA EPIDEMIOLÓGICA) |
50,000,000 |
||||||
|
|
APOYOS INSTITUCIONALES (CENTRO "MARIO
MOLINA") |
50,000,000 |
||||||
|
|
APOYOS INSTITUCIONALES PARA ACTIVIDADES CIENTÍFICAS,
TECNOLÓGICAS Y DE INNOVACIÓN. 1/ |
20,000,000 |
||||||
|
|
APOYOS INSTITUCIONALES (AGENCIA ESPACIAL MEXICANA) 2/ |
10,000,000 |
||||||
|
|
|
|
|
|
|
|
|
|
|
1/ Monto incluido en el Anexo 10: Erogaciones para |
||||||||
|
2/ Recursos destinados a la creación y operación de |
||||||||
|
ANEXO 28. RECURSOS PARA ATENCIÓN A GRUPOS VULNERABLES
(pesos) |
||||||||
|
|
|
|
|
|
|
|
|
|
|
|
|
|
|
|
|
|
|
Monto |
|
TOTAL |
|
|
|
|
|
|
|
18,457,004,175 |
|
Ramo 04 Gobernación |
141,939,553 |
|||||||
|
|
Consejo Nacional para Prevenir |
104,939,553 |
||||||
|
|
Servicios migratorios en fronteras, puertos y
aeropuertos |
37,000,000 |
||||||
|
Ramo 05 Relaciones Exteriores |
196,243,324 |
|||||||
|
|
Programa de Protección y Asistencia Consular |
196,243,324 |
||||||
|
Ramo 11 Educación |
|
|
|
|
|
|
1,301,898,044 |
|
|
|
Atención Educativa a Grupos en Situación
Vulnerable |
376,000,000 |
||||||
|
|
Programa de educación Basica para Niños y Niñas de
Familias Jornaleras Agrícolas Migrantes |
101,818,351 |
||||||
|
|
Programa de fortalecimiento de la educación especial
y de la integración educativa |
278,227,079 |
||||||
|
|
Educación para personas con discapacidad |
75,000,000 |
||||||
|
|
Acciones de Educación para Discapacitados |
0 |
||||||
|
|
Programa de Escuela Segura |
230,000,000 |
||||||
|
|
Generación y articulación de políticas públicas
integrales de juventud |
240,852,614 |
||||||
|
Ramo 12 Salud |
|
|
|
2,696,215,379 |
||||
|
|
Secretariado Técnico del Consejo Nacional para las
Personas con Discapacidad (Fondo para la atención a personas con
discapacidad) |
259,046,582 |
||||||
|
|
Centro Nacional de Investigación y Atención a
Quemados, Instituto Nacional de Rehabilitación |
243,000,000 |
||||||
|
|
Prestación de servicios en los diferentes niveles de
atención a la salud (Hospital Infantil Federico Gómez) |
647,102,035 |
||||||
|
|
Prevención y atención de VIH/SIDA y otras ITS |
140,356,449 |
||||||
|
|
Programas para |
133,178,995 |
||||||
|
|
Programas de Atención a Familias y Población
Vulnerable |
381,960,068 |
||||||
|
|
Asistencia Social y Protección del Paciente en el DIF
Nacional |
221,681,309 |
||||||
|
|
Programas de Atención a Personas con
Discapacidad |
234,415,445 |
||||||
|
|
Prestación de Servicios en los diferentes niveles de
atención en el DIF Nacional |
435,474,496 |
||||||
|
Ramo 14 Trabajo y Previsión Social |
28,283,344 |
|||||||
|
|
Fomento de la equidad de género y la no
discriminación en el mercado laboral |
28,283,344 |
||||||
|
Ramo 20 Desarrollo Social |
14,092,424,531.0 |
|||||||
|
|
Programa de coinversión social |
|
353,103,171 |
|||||
|
|
Instituto Nacional de Desarrollo Social |
630,778,141 |
||||||
|
|
Instituto Nacional de las Personas Adultas
Mayores |
256,376,353 |
||||||
|
|
Programa 70 y más |
|
|
|
|
|
13,205,270,037 |
|
|
|
||||||||
|
Este Anexo se
presenta para fines de seguimiento del gasto; no implica ampliaciones. |
||||||||
|
ANEXO 29. RECURSOS DESTINADOS AL PROGRAMA
HIDRÁULICO (pesos) |
||||||||
|
|
|
|
|
|
|
|
|
|
|
|
|
|
|
|
|
|
|
Monto |
|
TOTAL NACIONAL |
|
|
|
|
|
|
34,499,168,743.0 |
|
|
|
Agua Potable |
|
18,595,855,440.0 |
|||||
|
|
Hidroagrícola |
|
7,369,435,070.0 |
|||||
|
|
Administración del Agua |
|
8,533,878,233.0 |
|||||
|
|
|
|
|
|
|
|
|
|
|
1 |
Aguascalientes |
|
|
547,100,396 |
||||
|
|
Agua Potable |
|
262,227,265 |
|||||
|
|
Hidroagrícola |
|
254,423,513 |
|||||
|
|
Administración del Agua |
|
30,449,618 |
|||||
|
|
|
|
|
|
|
|
|
|
|
2 |
Baja California |
|
551,295,942 |
|||||
|
|
Agua Potable |
|
181,880,201 |
|||||
|
|
Hidroagrícola |
|
290,729,829 |
|||||
|
|
Administración del Agua |
|
|
|
|
|
78,685,912 |
|
|
|
|
|
|
|
|
|
|
|
|
3 |
Baja California Sur |
|
|
|
|
|
331,783,582 |
|
|
|
Agua Potable |
|
|
|
|
|
|
199,796,197 |
|
|
Hidroagrícola |
|
|
|
|
|
|
90,931,707 |
|
|
Administración del Agua |
|
|
|
|
|
41,055,678 |
|
|
|
|
|
|
|
|
|
|
|
|
4 |
Campeche |
|
|
|
|
|
|
254,132,701 |
|
|
Agua Potable |
|
|
|
|
|
|
183,820,051 |
|
|
Hidroagrícola |
|
|
|
|
|
|
33,586,348 |
|
|
Administración del Agua |
|
|
|
|
|
36,726,302 |
|
|
|
|
|
|
|
|
|
|
|
|
5 |
Coahuila |
|
|
|
|
|
|
690,920,239 |
|
|
Agua Potable |
|
|
|
|
|
|
294,833,480 |
|
|
Hidroagrícola |
|
|
|
|
|
|
266,547,800 |
|
|
Administración del Agua |
|
|
|
|
|
129,538,959 |
|
|
|
|
|
|
|
|
|
|
|
|
6 |
Colima |
|
|
|
|
|
|
515,900,433 |
|
|
Agua Potable |
|
|
|
|
|
|
209,751,252 |
|
|
Hidroagrícola |
|
|
|
|
|
|
265,502,665 |
|
|
Administración del Agua |
|
|
|
|
|
40,646,516 |
|
|
|
|
|
|
|
|
|
|
|
|
7 |
Chiapas |
|
|
|
|
|
|
792,951,827 |
|
|
Agua Potable |
|
|
|
|
|
|
375,601,509 |
|
|
Hidroagrícola |
|
|
|
|
|
|
168,508,277 |
|
|
Administración del Agua |
|
|
|
|
|
248,842,041 |
|
|
|
|
|
|
|
|
|
|
|
|
8 |
Chihuahua |
|
|
|
|
|
|
812,642,457 |
|
|
Agua Potable |
|
|
|
|
|
|
377,610,445 |
|
|
Hidroagrícola |
|
|
|
|
|
|
154,502,174 |
|
|
Administración del Agua |
|
|
|
|
|
280,529,838 |
|
|
|
|
|
|
|
|
|
|
|
|
9 |
Distrito Federal |
|
|
|
|
|
|
10,024,130,011 |
|
|
Agua Potable |
|
|
|
|
|
|
6,577,359,011 |
|
|
Hidroagrícola |
|
|
|
|
|
|
179,353,996 |
|
|
Administración del Agua |
|
|
|
|
|
3,267,417,004 |
|
|
|
|
|
|
|
|
|
|
|
|
10 |
Durango |
|
|
|
|
|
|
775,388,172 |
|
|
Agua Potable |
|
|
|
|
|
|
403,647,841 |
|
|
Hidroagrícola |
|
|
|
|
|
|
251,489,770 |
|
|
Administración del Agua |
|
|
|
|
|
120,250,561 |
|
|
|
|
|
|
|
|
|
|
|
|
11 |
Guanajuato |
|
|
|
|
|
|
581,045,191 |
|
|
Agua Potable |
|
|
|
|
|
|
397,327,141 |
|
|
Hidroagrícola |
|
|
|
|
|
|
126,328,181 |
|
|
Administración del Agua |
|
|
|
|
|
57,389,869 |
|
|
|
|
|
|
|
|
|
|
|
|
12 |
Guerrero |
|
|
|
|
|
|
769,337,125 |
|
|
Agua Potable |
|
|
|
|
|
|
412,909,219 |
|
|
Hidroagrícola |
|
|
|
|
|
|
289,519,186 |
|
|
Administración del Agua |
|
|
|
|
|
66,908,720 |
|
|
|
|
|
|
|
|
|
|
|
|
13 |
Hidalgo |
|
|
|
|
|
|
794,627,409 |
|
|
Agua Potable |
|
|
|
|
|
|
213,175,076 |
|
|
Hidroagrícola |
|
|
|
|
|
|
408,638,573 |
|
|
Administración del Agua |
|
|
|
|
|
172,813,760 |
|
|
|
|
|
|
|
|
|
|
|
|
14 |
Jalisco |
|
|
|
|
|
|
953,103,231 |
|
|
Agua Potable |
|
|
|
|
|
|
643,835,754 |
|
|
Hidroagrícola |
|
|
|
|
|
|
205,025,479 |
|
|
Administración del Agua |
|
|
|
|
|
104,241,998 |
|
|
|
|
|
|
|
|
|
|
|
|
15 |
Estado de México |
|
|
|
|
|
2,712,284,441 |
|
|
|
Agua Potable |
|
|
|
|
|
|
2,245,864,632 |
|
|
Hidroagrícola |
|
|
|
|
|
|
92,897,537 |
|
|
Administración del Agua |
|
|
|
|
|
373,522,272 |
|
|
|
|
|
|
|
|
|
|
|
|
16 |
Michoacán |
|
|
|
|
|
|
630,872,789 |
|
|
Agua Potable |
|
|
|
|
|
|
344,132,666 |
|
|
Hidroagrícola |
|
|
|
|
|
|
233,406,772 |
|
|
Administración del Agua |
|
|
|
|
|
53,333,351 |
|
|
|
|
|
|
|
|
|
|
|
|
17 |
Morelos |
|
|
|
|
|
|
564,079,709 |
|
|
Agua Potable |
|
|
|
|
|
|
383,545,525 |
|
|
Hidroagrícola |
|
|
|
|
|
|
96,269,086 |
|
|
Administración del Agua |
|
|
|
|
|
84,265,098 |
|
|
|
|
|
|
|
|
|
|
|
|
18 |
Nayarit |
|
|
|
|
|
|
410,123,776 |
|
|
Agua Potable |
|
|
|
|
|
|
208,405,476 |
|
|
Hidroagrícola |
|
|
|
|
|
|
150,437,994 |
|
|
Administración del Agua |
|
|
|
|
|
51,280,306 |
|
|
|
|
|
|
|
|
|
|
|
|
19 |
Nuevo León |
|
|
|
|
|
|
858,499,303 |
|
|
Agua Potable |
|
|
|
|
|
|
466,359,154 |
|
|
Hidroagrícola |
|
|
|
|
|
|
141,568,156 |
|
|
Administración del Agua |
|
|
|
|
|
250,571,993 |
|
|
|
|
|
|
|
|
|
|
|
|
20 |
Oaxaca |
|
|
|
|
|
|
675,371,918 |
|
|
Agua Potable |
|
|
|
|
|
|
490,304,673 |
|
|
Hidroagrícola |
|
|
|
|
|
|
75,154,770 |
|
|
Administración del Agua |
|
|
|
|
|
109,912,475 |
|
|
|
|
|
|
|
|
|
|
|
|
21 |
Puebla |
|
|
|
|
|
|
800,842,192 |
|
|
Agua Potable |
|
|
|
|
|
|
353,335,496 |
|
|
Hidroagrícola |
|
|
|
|
|
|
374,584,654 |
|
|
Administración del Agua |
|
|
|
|
|
72,922,042 |
|
|
|
|
|
|
|
|
|
|
|
|
22 |
Querétaro |
|
|
|
|
|
|
360,076,135 |
|
|
Agua Potable |
|
|
|
|
|
|
218,902,500 |
|
|
Hidroagrícola |
|
|
|
|
|
|
81,992,909 |
|
|
Administración del Agua |
|
|
|
|
|
59,180,726 |
|
|
|
|
|
|
|
|
|
|
|
|
23 |
Quintana Roo |
|
|
|
|
|
|
307,533,524 |
|
|
Agua Potable |
|
|
|
|
|
|
172,104,825 |
|
|
Hidroagrícola |
|
|
|
|
|
|
79,675,092 |
|
|
Administración del Agua |
|
|
|
|
|
55,753,607 |
|
|
|
|
|
|
|
|
|
|
|
|
24 |
San Luis Potosí |
|
|
|
|
|
|
876,930,808 |
|
|
Agua Potable |
|
|
|
|
|
|
648,513,689 |
|
|
Hidroagrícola |
|
|
|
|
|
|
150,865,871 |
|
|
Administración del Agua |
|
|
|
|
|
77,551,248 |
|
|
|
|
|
|
|
|
|
|
|
|
25 |
Sinaloa |
|
|
|
|
|
|
1,642,270,339 |
|
|
Agua Potable |
|
|
|
|
|
|
191,371,801 |
|
|
Hidroagrícola |
|
|
|
|
|
|
1,295,809,265 |
|
|
Administración del Agua |
|
|
|
|
|
155,089,273 |
|
|
|
|
|
|
|
|
|
|
|
|
26 |
Sonora |
|
|
|
|
|
|
868,867,567 |
|
|
Agua Potable |
|
|
|
|
|
|
226,666,934 |
|
|
Hidroagrícola |
|
|
|
|
|
|
521,303,700 |
|
|
Administración del Agua |
|
|
|
|
|
120,896,933 |
|
|
|
|
|
|
|
|
|
|
|
|
27 |
Tabasco |
|
|
|
|
|
|
2,200,068,483 |
|
|
Agua Potable |
|
|
|
|
|
|
434,247,330 |
|
|
Hidroagrícola |
|
|
|
|
|
|
65,922,411 |
|
|
Administración del Agua |
|
|
|
|
|
1,699,898,742 |
|
|
|
|
|
|
|
|
|
|
|
|
28 |
Tamaulipas |
|
|
|
|
|
|
801,401,334 |
|
|
Agua Potable |
|
|
|
|
|
|
200,076,611 |
|
|
Hidroagrícola |
|
|
|
|
|
|
399,719,331 |
|
|
Administración del Agua |
|
|
|
|
|
201,605,392 |
|
|
|
|
|
|
|
|
|
|
|
|
29 |
Tlaxcala |
|
|
|
|
|
|
197,754,616 |
|
|
Agua Potable |
|
|
|
|
|
|
159,486,986 |
|
|
Hidroagrícola |
|
|
|
|
|
|
11,772,029 |
|
|
Administración del Agua |
|
|
|
|
|
26,495,601 |
|
|
|
|
|
|
|
|
|
|
|
|
30 |
Veracruz |
|
|
|
|
|
|
1,144,258,734 |
|
|
Agua Potable |
|
|
|
|
|
|
589,934,742 |
|
|
Hidroagrícola |
|
|
|
|
|
|
365,235,779 |
|
|
Administración del Agua |
|
|
|
|
|
189,088,213 |
|
|
|
|
|
|
|
|
|
|
|
|
31 |
Yucatán |
|
|
|
|
|
|
422,016,881 |
|
|
Agua Potable |
|
|
|
|
|
|
204,903,817 |
|
|
Hidroagrícola |
|
|
|
|
|
|
141,906,646 |
|
|
Administración del Agua |
|
|
|
|
|
75,206,418 |
|
|
|
|
|
|
|
|
|
|
|
|
32 |
Zacatecas |
|
|
|
|
|
|
475,890,032 |
|
|
Agua Potable |
|
|
|
|
|
|
323,924,141 |
|
|
Hidroagrícola |
|
|
|
|
|
|
97,822,647 |
|
|
Administración del Agua |
|
|
|
|
|
54,143,244 |
|
|
|
|
|
|
|
|
|
|
|
|
34 |
No distribuible geográficamente |
|
|
|
155,667,446 |
|||
|
|
Agua Potable |
|
|
|
|
|
|
0 |
|
|
Hidroagrícola |
|
|
|
|
|
|
8,002,923 |
|
|
Administración del Agua |
|
|
|
|
|
147,664,523 |
|
|
ANEXO 30. AMPLIACIONES EN INFRAESTRUCTURA
CARRETERA, FERROVIARIA Y OTROS |
||||||||
|
A. CONSTRUCCIÓN Y MODERNIZACIÓN (millones de
pesos) |
||||||||
|
|
|
|
|
|
|
|
|
|
|
|
|
|
|
|
Proyecto |
Ampliaciones |
Reducciones |
Presupuesto
Aprobado |
|
|
|
|
|
|
|
|
|
|
|
AGUASCALIENTES |
|
|
|
437.5 |
607.5 |
347.5 |
697.5 |
|
|
Paso a desnivel del
1er. Anillo (Av. Convención de 1914) con |
437.5 |
0.0 |
347.5 |
90.0 |
||||
|
Entronque 2o.
Anillo Vial Sur |
0.0 |
47.5 |
0.0 |
47.5 |
||||
|
Paso a desnivel en
Av. De |
0.0 |
100.0 |
0.0 |
100.0 |
||||
|
Paso a desnivel en
Av. De |
0.0 |
100.0 |
0.0 |
100.0 |
||||
|
Paso a desnivel en
Av. De |
0.0 |
100.0 |
0.0 |
100.0 |
||||
|
Paso a desnivel Av.
Convención 1914 y Av. Gabiela Mistral. |
|
0.0 |
91.0 |
0.0 |
91.0 |
|||
|
Paso a desnivel
Oriente Av. López Mateos y Av. Convención 1914 |
|
0.0 |
119.0 |
0.0 |
119.0 |
|||
|
Paso a desnivel
Carretera 70 Oriente y Av. Tecnológico |
|
|
0.0 |
50.0 |
0.0 |
50.0 |
||
|
|
|
|
|
|
|
|
|
|
|
BAJA CALIFORNIA |
|
|
|
585.0 |
444.3 |
0.0 |
1,029.3 |
|
|
Carretera Libre
Tijuana Ensenada, Tramo del km. 10+000 al km. 22+000. |
|
5.0 |
0.0 |
0.0 |
5.0 |
|||
|
Maneadero-Punta Colonet |
|
|
|
0.0 |
100.0 |
0.0 |
100.0 |
|
|
Mexicali - San
Felipe, Tramo El Faro - San Felipe |
|
|
230.0 |
0.0 |
0.0 |
230.0 |
||
|
Segundo Acceso a
Playas de Tijuana |
|
|
0.0 |
70.0 |
0.0 |
70.0 |
||
|
Tecate-El Sauzal,
Tramo: Tecate-San Antonio de las Minas. |
|
250.0 |
0.0 |
0.0 |
250.0 |
|||
|
Tijuana - Tecate,
Tramo: km 136+380-km 162+050. |
|
|
100.0 |
74.3 |
0.0 |
174.3 |
||
|
Carretera
Puertecitos - Laguna de Chapala 3ra Etapa |
|
|
0.0 |
130.0 |
0.0 |
130.0 |
||
|
Tecate-Tijuana/Nodo
San Pedro Valle de las Palmas |
|
|
0.0 |
70.0 |
0.0 |
70.0 |
||
|
|
|
|
|
|
|
|
|
|
|
BAJA CALIFORNIA
SUR |
|
|
|
391.0 |
146.0 |
0.0 |
537.0 |
|
|
Cd. Insurgentes - |
16.0 |
26.0 |
0.0 |
42.0 |
||||
|
San Pedro-Cabo San
Lucas Tramo: San Pedro-Cabo San Lucas y Libramiento de Todos los Santos |
375.0 |
0.0 |
0.0 |
375.0 |
||||
|
San Pedro Cabo San Lucas
Km 65+800 al 71+000 |
|
|
0.0 |
120.0 |
0.0 |
120.0 |
||
|
|
|
|
|
|
|
|
|
|
|
CAMPECHE |
|
|
|
|
580.0 |
220.0 |
0.0 |
800.0 |
|
Campeche-Mérida |
|
|
|
0.0 |
50.0 |
0.0 |
50.0 |
|
|
Cd. Del
Carmen-Champotón Playa Esmeralda |
|
|
0.0 |
50.0 |
0.0 |
50.0 |
||
|
Ciudad Del
Carmen-Lim. Edos. Tab-Cam. Tramo: San Pedro-Zacatal. |
|
40.0 |
0.0 |
0.0 |
40.0 |
|||
|
Escárcega -
Champotón; Tramo del Km. 78+600 al Km. 1+640. |
|
190.0 |
0.0 |
0.0 |
190.0 |
|||
|
Escárcega-Xpujil. |
|
|
|
|
200.0 |
0.0 |
0.0 |
200.0 |
|
Puente de la Unidad |
|
|
|
0.0 |
120.0 |
0.0 |
120.0 |
|
|
Villahermosa-Escárcega.
Tramo: Escárcega-Lim. Edo. Tabasco. |
|
150.0 |
0.0 |
0.0 |
150.0 |
|||
|
|
|
|
|
|
|
|
|
|
|
CHIAPAS |
|
|
|
|
400.0 |
550.0 |
0.0 |
950.0 |
|
Libramiento Sur de
Tuxtla Gutiérrez |
|
|
|
0.0 |
150.0 |
0.0 |
150.0 |
|
|
Ruta Bicentenario: |
0.0 |
200.0 |
0.0 |
200.0 |
||||
|
San Cristóbal de
las Casas-Palenque, Tramo: San Cristóbal de las Casas-Rancho Nuevo. |
200.0 |
200.0 |
0.0 |
400.0 |
||||
|
Tapanatepec-Tuxtla
Gutiérrez, Tramo: Entronque Carretera (Arriaga Ocozocoautla) - Entronque La |
100.0 |
0.0 |
0.0 |
100.0 |
||||
|
Tuxtla Gutiérrez -
Angostura, Tramo: Ramal América Libre, Km. 0+000 19+500 |
100.0 |
0.0 |
0.0 |
100.0 |
||||
|
|
|
|
|
|
|
|
|
|
|
CHIHUAHUA |
|
|
|
|
320.0 |
340.0 |
145.0 |
515.0 |
|
Chihuahua-Parral
(Vía Corta) |
|
|
|
0.0 |
100.0 |
0.0 |
100.0 |
|
|
Estación Chicolote
Ojinaga-El Oasis, E.C. Km 108+000 (Carretera Julimes-El Cuervo) |
40.0 |
0.0 |
0.0 |
40.0 |
||||
|
Jiménez-Chihuahua,
Tr: Delicias-Chihuahua |
|
|
245.0 |
0.0 |
145.0 |
100.0 |
||
|
Libramiento
Norte-Sur, Parral |
|
|
|
20.0 |
0.0 |
0.0 |
20.0 |
|
|
Libramiento Sur de
Cuauhtémoc |
|
|
|
0.0 |
50.0 |
0.0 |
50.0 |
|
|
Matamoros-Parral |
|
|
|
|
15.0 |
70.0 |
0.0 |
85.0 |
|
Nuevo Casas
Grandes-Puerto Palomas |
|
|
0.0 |
50.0 |
0.0 |
50.0 |
||
|
Sueco-Janos, Tr:
Galeana-Nuevo Casas Grandes |
|
|
0.0 |
70.0 |
0.0 |
70.0 |
||
|
|
|
|
|
|
|
|
|
|
|
COAHUILA |
|
|
|
|
420.0 |
282.0 |
0.0 |
702.0 |
|
Piedras Negras - Acuña |
|
|
|
240.0 |
85.0 |
0.0 |
325.0 |
|
|
San Buenaventura-Cuatro Cienegas,
Nadadores-Cuatrociénegas, Tramo: km 28+800 km 80+800 |
45.0 |
197.0 |
0.0 |
242.0 |
||||
|
Zacatecas-Saltillo, tramo Concepción del
Oro-Saltillo |
|
|
135.0 |
0.0 |
0.0 |
135.0 |
||
|
|
|
|
|
|
|
|
|
|
|
COLIMA |
|
|
|
|
180.0 |
260.0 |
0.0 |
440.0 |
|
Distribuidor Vial en el Cruce del Libramiento
Poniente, Arco sur con carretera Colima-Manzanillo |
0.0 |
60.0 |
0.0 |
60.0 |
||||
|
Entr. Cerro de Ortega |
|
|
|
0.0 |
40.0 |
0.0 |
40.0 |
|
|
Entr. Madrid |
|
|
|
|
60.0 |
0.0 |
0.0 |
60.0 |
|
Libramiento Arco Norte de Colima |
|
|
|
0.0 |
60.0 |
0.0 |
60.0 |
|
|
Libramiento Arco Poniente de Colima |
|
|
|
0.0 |
60.0 |
0.0 |
60.0 |
|
|
Libramiento de Cihuatlán |
|
|
|
120.0 |
0.0 |
0.0 |
120.0 |
|
|
Manzanillo-Melaque |
|
|
|
0.0 |
40.0 |
0.0 |
40.0 |
|
|
|
|
|
|
|
|
|
|
|
|
DURANGO |
|
|
|
|
600.0 |
830.0 |
350.0 |
1,080.0 |
|
Blvd. Miguel Aleman de Gómez Palacio |
|
|
0.0 |
50.0 |
0.0 |
50.0 |
||
|
Corredor Vial del Norte |
|
|
|
0.0 |
100.0 |
0.0 |
100.0 |
|
|
Durango-Fresnillo |
|
|
|
|
0.0 |
350.0 |
0.0 |
350.0 |
|
Durango-Parral; Tr: Morcillo-Guadalupe
Aguilera |
|
|
100.0 |
60.0 |
0.0 |
160.0 |
||
|
Libramiento Periférico -Ejercito
Mexicano-Gómez Palacio-Lerdo |
|
0.0 |
100.0 |
0.0 |
100.0 |
|||
|
Libramiento Sur de Durango |
|
|
|
500.0 |
0.0 |
350.0 |
150.0 |
|
|
Ramales de acceso al Libramiento de Durango |
|
|
0.0 |
90.0 |
0.0 |
90.0 |
||
|
Carretera |
|
|
|
0.0 |
20.0 |
0.0 |
20.0 |
|
|
Salida Carretera Gómez Palacio - Málaga |
|
|
0.0 |
30.0 |
0.0 |
30.0 |
||
|
Entronque Mezquital Dolores Hidalgo al Libramiento
Sur |
0.0 |
30.0 |
0.0 |
30.0 |
||||
|
|
|
|
|
|
|
|
|
|
|
GUANAJUATO |
|
|
|
|
600.0 |
753.4 |
0.0 |
1,353.4 |
|
Autopista Irapuato |
|
|
30.0 |
0.0 |
0.0 |
30.0 |
||
|
Celaya-Salvatierra |
|
|
|
225.0 |
0.0 |
0.0 |
225.0 |
|
|
Comonfort-San Miguel Allende |
|
|
|
100.0 |
0.0 |
0.0 |
100.0 |
|
|
Dolores Hidalgo-San Miguel Allende |
|
|
|
125.0 |
0.0 |
0.0 |
125.0 |
|
|
Entr. Buenavista-Dolores Hidalgo |
|
|
|
120.0 |
133.5 |
0.0 |
253.5 |
|
|
Puente Castro del Río S/C.F. 45 (2da. Etapa) |
|
|
0.0 |
40.0 |
0.0 |
40.0 |
||
|
Autopista Guanajuato-San Miguel de Allende |
|
|
0.0 |
150.0 |
0.0 |
150.0 |
||
|
Carretera Romita-Puerto Interior Fed. 45 |
|
|
0.0 |
110.0 |
0.0 |
110.0 |
||
|
Modernización San Diego de |
|
|
0.0 |
180.0 |
0.0 |
180.0 |
||
|
Salamanca-Irapuato-León |
|
|
|
0.0 |
114.9 |
0.0 |
114.9 |
|
|
Segunda etapa Acambaro-Morelia |
|
|
|
0.0 |
10.0 |
0.0 |
10.0 |
|
|
Valle Yuriria-Lagunilla de Mogotes |
|
|
|
0.0 |
15.0 |
0.0 |
15.0 |
|
|
|
|
|
|
|
|
|
|
|
|
GUERRERO |
|
|
|
|
519.0 |
100.0 |
150.0 |
469.0 |
|
Acapulco-Huatulco, Tr:Entr. Cayaco |
|
|
|
100.0 |
0.0 |
50.0 |
50.0 |
|
|
Acapulco-Huatulco, Tr:Las Vigas-San Marcos |
|
|
0.0 |
50.0 |
0.0 |
50.0 |
||
|
Acapulco-Zihuatanejo |
|
|
|
100.0 |
0.0 |
50.0 |
50.0 |
|
|
Cuernavaca-Chilpancingo, Tr: Zumpango-Chilpancingo |
26.0 |
0.0 |
0.0 |
26.0 |
||||
|
Iguala-Taxco-Ixtapan de |
|
|
0.0 |
50.0 |
0.0 |
50.0 |
||
|
Libramiento Chilpancingo-Montaña Baja |
|
|
60.0 |
0.0 |
0.0 |
60.0 |
||
|
Mozimba-Pie de la Cuesta |
|
|
|
83.0 |
0.0 |
0.0 |
83.0 |
|
|
Zihuatanejo-La Mira, Tr:
Zihuatenejo-Entr.Feliciano |
|
|
130.0 |
0.0 |
50.0 |
80.0 |
||
|
PIV de |
|
|
|
20.0 |
0.0 |
0.0 |
20.0 |
|
|
|
|
|
|
|
|
|
|
|
|
HIDALGO |
|
|
|
|
550.0 |
0.0 |
150.0 |
400.0 |
|
Atotonilco El Grande-Mineral del Monte |
|
|
150.0 |
0.0 |
0.0 |
150.0 |
||
|
Pachuca-Cd. Sahagún |
|
|
|
200.0 |
0.0 |
100.0 |
100.0 |
|
|
Portezuelo-Palmillas |
|
|
|
200.0 |
0.0 |
50.0 |
150.0 |
|
|
|
|
|
|
|
|
|
|
|
|
JALISCO |
|
|
|
|
895.0 |
1,020.5 |
245.0 |
1,670.5 |
|
2do. Tunel de Luis Donaldo Colosio |
|
|
|
0.0 |
90.0 |
0.0 |
90.0 |
|
|
Ameca-Ameca |
|
|
|
|
65.0 |
35.0 |
0.0 |
100.0 |
|
Cihuatlán-Melaque |
|
|
|
50.0 |
0.0 |
0.0 |
50.0 |
|
|
Guadalajara Barra de Navidad, Tr: Entr.
Acatlán-Cocula |
230.0 |
70.0 |
0.0 |
300.0 |
||||
|
Guadalajara-Jiquilpan, Tr: Entr.
Acatlán-Jocotepec |
|
|
70.0 |
130.0 |
0.0 |
200.0 |
||
|
Guadalajara-Zapotlanejo |
|
|
|
70.0 |
50.0 |
0.0 |
120.0 |
|
|
Lagos de Moreno-San
Luis Potosí, Tr: Lagos de Moreno-Las Amarillas |
|
250.0 |
0.0 |
245.0 |
5.0 |
|||
|
Puerto Vallarta-El
Tuito |
|
|
|
0.0 |
200.0 |
0.0 |
200.0 |
|
|
Santa Rosa-Ocotlán- |
90.0 |
58.0 |
0.0 |
148.0 |
||||
|
Carretera
Guadalajara-Saltillo Proyecto ejecutivo de puente sobre rio santiago |
0.0 |
20.0 |
0.0 |
20.0 |
||||
|
Libramiento
Melaque, Entronque Aguacate |
|
|
70.0 |
0.0 |
0.0 |
70.0 |
||
|
Modernización
carretera Entronque Ameca-Tequila. |
|
|
0.0 |
120.0 |
0.0 |
120.0 |
||
|
Puente La
Barca-Briseño |
|
|
|
0.0 |
35.0 |
0.0 |
35.0 |
|
|
Libramiento
carretero de Cabecera Municipal, Encarnación de Diaz |
|
0.0 |
31.0 |
0.0 |
31.0 |
|||
|
Tlajomulco-Tlaquepaque-El
Salto |
|
|
|
0.0 |
62.0 |
0.0 |
62.0 |
|
|
Puente Vehicular
Río Ameca y Av. Federación |
|
|
0.0 |
75.0 |
0.0 |
75.0 |
||
|
Prolongación
Periférico Tlaquepaque |
|
|
|
0.0 |
20.0 |
0.0 |
20.0 |
|
|
Carretera Tonala-El
Vado |
|
|
|
0.0 |
20.0 |
0.0 |
20.0 |
|
|
Carretera Puente
Grande-El Vado |
|
|
|
0.0 |
4.5 |
0.0 |
4.5 |
|
|
|
|
|
|
|
|
|
|
|
|
MÉXICO |
|
|
|
|
660.0 |
1,016.2 |
0.0 |
1,676.2 |
|
Blvd. Chimalhuacán
(Elaboración de Estudios y Proyectos) |
|
0.0 |
1.0 |
0.0 |
1.0 |
|||
|
Jorobas-Tula |
|
|
|
|
0.0 |
56.2 |
0.0 |
56.2 |
|
México-Cuautla;
Tramo: Chalco-Nepantla-Limite Estados México-Morelos |
|
170.0 |
50.0 |
0.0 |
220.0 |
|||
|
Naucalpan - Toluca,
tramo Xonacatlán - Boulevard Aeropuerto |
|
100.0 |
100.0 |
0.0 |
200.0 |
|||
|
Puente Vehicular
Blvd. Magnocentro-Vía Magna (Krispy Kreme) |
|
0.0 |
100.0 |
0.0 |
100.0 |
|||
|
Texcoco-Calpulalpan |
|
|
|
90.0 |
50.0 |
0.0 |
140.0 |
|
|
Toluca - Palmillas,
Tramo: Atlacomulco - Palmillas |
|
|
300.0 |
130.0 |
0.0 |
430.0 |
||
|
Toluca-Cd.
Altamirano, Tr: Zinacantepec-Entr. |
0.0 |
90.0 |
0.0 |
90.0 |
||||
|
Toluca-Morelia |
|
|
|
|
0.0 |
50.0 |
0.0 |
50.0 |
|
Acceso Ixtapaluca
km 41+000 México-Puebla |
|
|
0.0 |
50.0 |
0.0 |
50.0 |
||
|
Cuautitlan Izcalli
Av. Nopaltepec (Viaducto Poniente Bicentenario:Adecuaciones, Viajes, Estudio
y Proyecto) |
0.0 |
40.0 |
0.0 |
40.0 |
||||
|
Santa Maria
Texcapilla-Pueblo de Venta de Morelos |
|
|
0.0 |
50.0 |
0.0 |
50.0 |
||
|
Temascalcingo-Ex
Hacienda Solis |
|
|
|
0.0 |
49.0 |
0.0 |
49.0 |
|
|
Modernización de
vialiadades primaria en el municipio de Chimalhuacán |
|
0.0 |
200.0 |
0.0 |
200.0 |
|||
|
|
|
|
|
|
|
|
|
|
|
MICHOACÁN |
|
|
|
|
350.0 |
551.9 |
0.0 |
901.9 |
|
Costera Coahuayana
de Hidalgo-Lázaro Cárdenas, |
300.0 |
201.9 |
0.0 |
501.9 |
||||
|
Anillo Periférico
Oriente de |
0.0 |
50.0 |
0.0 |
50.0 |
||||
|
Distribuidor Vial
El Pípila |
|
|
|
0.0 |
200.0 |
0.0 |
200.0 |
|
|
Distribuidor Vial
Salida Quiroga |
|
|
|
0.0 |
100.0 |
0.0 |
100.0 |
|
|
Ent. Los Reyes-Los
Reyes |
|
|
|
50.0 |
0.0 |
0.0 |
50.0 |
|
|
|
|
|
|
|
|
|
|
|
|
MORELOS |
|
|
|
|
396.0 |
234.9 |
0.0 |
630.9 |
|
Acatlipa-Alpuyeca |
|
|
|
151.0 |
50.0 |
0.0 |
201.0 |
|
|
Cuautla-Izucar de
Matamoros |
|
|
|
240.0 |
0.0 |
0.0 |
240.0 |
|
|
Segundo Piso
Avenida Plan de Ayala |
|
|
0.0 |
184.9 |
0.0 |
184.9 |
||
|
Terminación del P.I.V. Km 0+948 del Libramiento de
Cuautla |
5.0 |
0.0 |
0.0 |
5.0 |
||||
|
|
|
|
|
|
|
|
|
|
|
NAYARIT |
|
|
|
|
200.0 |
14.9 |
50.0 |
164.9 |
|
E.C. (Tepic-Aguascalientes)-La Yesca |
|
|
50.0 |
0.0 |
0.0 |
50.0 |
||
|
Tepic-San Blas |
|
|
|
|
150.0 |
0.0 |
50.0 |
100.0 |
|
Construcción de la
carretera Rosamorada-San Juan |
|
|
0.0 |
14.9 |
0.0 |
14.9 |
||
|
|
|
|
|
|
|
|
|
|
|
NUEVO LEÓN |
|
|
|
|
500.0 |
437.0 |
50.0 |
887.0 |
|
Accesos a
Interpuerto |
|
|
|
0.0 |
100.0 |
0.0 |
100.0 |
|
|
Cd.
Victoria-Monterrey, Tr: Allende-Monterrey |
|
|
100.0 |
0.0 |
0.0 |
100.0 |
||
|
Libramiento Oriente
de Monterrey |
|
|
|
0.0 |
50.0 |
0.0 |
50.0 |
|
|
Monterrey-Cd. Mier, Tr: Monterrey-Lím. Edos.
N.L./Tamps. |
350.0 |
0.0 |
50.0 |
300.0 |
||||
|
Monterrey-Reynosa,
Tr: Cadereyta-La Sierrita |
|
|
50.0 |
0.0 |
0.0 |
50.0 |
||
|
Monterrey-Salinas
Victoria |
|
|
|
0.0 |
150.0 |
0.0 |
150.0 |
|
|
Prolongación Av.
Ignacio Morones Prieto (Elaboración de Estudio y Proyecto) |
0.0 |
7.0 |
0.0 |
7.0 |
||||
|
Cadereyta-Allende
el Reparo |
|
|
|
0.0 |
30.0 |
0.0 |
30.0 |
|
|
Corredor de
Transporte Público Av. Lincoln - Ruiz Cortines (Proyecto Ejecutivo) |
0.0 |
20.0 |
0.0 |
20.0 |
||||
|
Paso a Desnivel
Miguel Alemán-Concordia |
|
|
0.0 |
60.0 |
0.0 |
60.0 |
||
|
Libramiento a
Cadereyta |
|
|
|
0.0 |
20.0 |
0.0 |
20.0 |
|
|
|
|
|
|
|
|
|
|
|
|
OAXACA |
|
|
|
|
935.0 |
65.0 |
125.0 |
875.0 |
|
Acceso al Puerto de
Salina Cruz. Construcción de acceso |
|
100.0 |
0.0 |
30.0 |
70.0 |
|||
|
Arriaga-La Ventosa |
|
|
|
260.0 |
0.0 |
80.0 |
180.0 |
|
|
Libramiento de
Ocotlan |
|
|
|
215.0 |
0.0 |
15.0 |
200.0 |
|
|
Mitla-Entr.
Tehuantepec II |
|
|
|
0.0 |
65.0 |
0.0 |
65.0 |
|
|
Oaxaca-Puerto
Escondido-Huatulco, Tr: |
360.0 |
0.0 |
0.0 |
360.0 |
||||
|
|
|
|
|
|
|
|
|
|
|
PUEBLA |
|
|
|
|
200.0 |
200.0 |
0.0 |
400.0 |
|
Ampliación Puebla -
Tlaxcala |
|
|
|
0.0 |
20.0 |
0.0 |
20.0 |
|
|
Atlixco - Izucar de
Matamoros, Tr. Puebla - Huajuapan de León Izucar de Matamoros -Huajuapan de
León, Tr. IZucar de Matamoros Acatlán de Osorio |
100.0 |
0.0 |
0.0 |
100.0 |
||||
|
Av. 18 de Noviembre
Puebla Orizaba - Fed Tehuacán (Reconstrucción) |
|
0.0 |
40.0 |
0.0 |
40.0 |
|||
|
Boulevard
Libramiento Tianguis, San Martín Texmelucan |
|
|
0.0 |
40.0 |
0.0 |
40.0 |
||
|
Izucar de
Matamoros-Huajuapan de León, Tr. Izucar de Matamoros Acatlán de Osorio |
100.0 |
0.0 |
0.0 |
100.0 |
||||
|
E.C. Carretera
Federal Puebla-Tlaxcala 119 (Vía Covadonga) |
|
0.0 |
100.0 |
0.0 |
100.0 |
|||
|
|
|
|
|
|
|
|
|
|
|
QUERÉTARO |
|
|
|
|
240.0 |
120.0 |
15.0 |
345.0 |
|
Autopista Querétaro-San Luis Potosí (laterales km
10+000 al km 20+275) |
0.0 |
100.0 |
0.0 |
100.0 |
||||
|
Entronque Coroneo |
|
|
|
125.0 |
0.0 |
0.0 |
125.0 |
|
|
|
|
|
|
115.0 |
0.0 |
15.0 |
100.0 |
|
|
Tequisquiapan-Ezequiel
Montes |
|
|
|
0.0 |
20.0 |
0.0 |
20.0 |
|
|
|
|
|
|
|
|
|
|
|
|
QUINTANA ROO |
|
|
|
490.0 |
50.0 |
0.0 |
540.0 |
|
|
Cafetal-Tulum |
|
|
|
|
235.0 |
0.0 |
0.0 |
235.0 |
|
Libramiento Tulum |
|
|
|
|
0.0 |
50.0 |
0.0 |
50.0 |
|
Reforma Agraria-Puerto Juárez,
Tr: Paso por Playa del Carmen |
255.0 |
0.0 |
0.0 |
255.0 |
||||
|
|
|
|
|
|
|
|
|
|
|
SAN LUIS POTOSI |
|
|
|
230.0 |
260.0 |
0.0 |
490.0 |
|
|
Cd. Valles-Tampico,
Tr: Tamuin-Lím. Edos. S.L.P. |
|
|
0.0 |
40.0 |
0.0 |
40.0 |
||
|
Lagos de Moreno-San
Luis Potosí, Tr: Villa de Arriaga-San Luis Potosí |
|
230.0 |
0.0 |
0.0 |
230.0 |
|||
|
Libramiento Tamazunchale |
|
|
|
0.0 |
50.0 |
0.0 |
50.0 |
|
|
Libramiento Villa de Reyes |
|
|
|
0.0 |
50.0 |
0.0 |
50.0 |
|
|
PSV Periférico Oriente-Av. Cactus-Av. Lagos
de Moreno |
|
0.0 |
50.0 |
0.0 |
50.0 |
|||
|
PSV Tangamanga I. |
|
|
|
0.0 |
70.0 |
0.0 |
70.0 |
|
|
|
|
|
|
|
|
|
|
|
|
SINALOA |
|
|
|
|
465.0 |
273.2 |
190.0 |
548.2 |
|
Circuito Exterior de Culiacán |
|
|
|
0.0 |
80.0 |
0.0 |
80.0 |
|
|
Culiacán-Los Mochis |
|
|
|
0.0 |
40.0 |
0.0 |
40.0 |
|
|
México 15, Ampliación Puente Mocorito |
|
|
0.0 |
43.2 |
0.0 |
43.2 |
||
|
México 15-Trebol (Costerita) Trm. PSV
Obregon-Costerita |
|
60.0 |
0.0 |
0.0 |
60.0 |
|||
|
Tepic-Mazatlán, Tr: Entr. Tecualilla-Entr.
Escuinapa |
|
|
85.0 |
0.0 |
0.0 |
85.0 |
||
|
Tepic-Mazatlán, Tr: PSV, Entr. Entrada Norte
Mazatlan |
|
|
60.0 |
0.0 |
0.0 |
60.0 |
||
|
Villa Unión-Entr. Camino El Recodo |
|
|
|
260.0 |
0.0 |
190.0 |
70.0 |
|
|
Carretera Culiacán-Navolato-Entr. Al Aeropuerto
Culiacán |
0.0 |
50.0 |
0.0 |
50.0 |
||||
|
Tepic-Mazatlán, Tr: PSV, Entr. El Conchi |
|
|
0.0 |
60.0 |
0.0 |
60.0 |
||
|
|
|
|
|
|
|
|
|
|
|
SONORA |
|
|
|
|
490.0 |
0.0 |
0.0 |
490.0 |
|
Caborca-Sonoyta,
Tr: Km 108+000-251+100 |
|
|
228.0 |
0.0 |
0.0 |
228.0 |
||
|
Sonoyta-San Luis
Río Colorado |
|
|
|
262.0 |
0.0 |
0.0 |
262.0 |
|
|
|
|
|
|
|
|
|
|
|
|
TABASCO |
|
|
|
|
840.0 |
100.0 |
65.0 |
875.0 |
|
Cárdenas-Huimanguillo,
carretera: Malpaso-El Bellote |
|
|
30.0 |
0.0 |
0.0 |
30.0 |
||
|
Entronque Tabscoob |
|
|
|
160.0 |
0.0 |
0.0 |
160.0 |
|
|
Libramiento de
Villahermosa |
|
|
|
250.0 |
50.0 |
0.0 |
300.0 |
|
|
Raudales de
Malpaso-El Bellote, Tr: Comalcalco-Paraiso-El Bellote |
|
80.0 |
0.0 |
0.0 |
80.0 |
|||
|
Villahermosa-Cd.
Del Carmen (Entronque) Tr: Entronque |
0.0 |
50.0 |
0.0 |
50.0 |
||||
|
Villahermosa-Cd. Del Carmen, Tr:
Villahermosa-Macultepec |
220.0 |
0.0 |
65.0 |
155.0 |
||||
|
Villahermosa-Escárcega, Tr: Macuspana-Lím. Edo.
Tab./Camp. |
100.0 |
0.0 |
0.0 |
100.0 |
||||
|
|
|
|
|
|
|
|
|
|
|
TAMAULIPAS |
|
|
|
|
395.0 |
500.0 |
65.0 |
830.0 |
|
Acceso Modernizacion Monterrey-Nuevo Laredo,
Acceso a Nuevo Laredo (Entrada Digna) |
0.0 |
100.0 |
0.0 |
100.0 |
||||
|
Cd. Victoria-Soto |
75.0 |
0.0 |
45.0 |
30.0 |
||||
|
Libramiento Cd. Victoria |
|
|
|
0.0 |
50.0 |
0.0 |
50.0 |
|
|
Libramiento Mex II |
|
|
|
170.0 |
0.0 |
20.0 |
150.0 |
|
|
Manuel Aldama-Soto La Marina-Rayones |
|
|
100.0 |
0.0 |
0.0 |
100.0 |
||
|
Puente Magiscatzin II |
|
|
|
0.0 |
100.0 |
0.0 |
100.0 |
|
|
Tampico-Cd. Mante, Tr: González-Cd. Mante |
|
|
50.0 |
150.0 |
0.0 |
200.0 |
||
|
Viaducto Reynosa, Tr: (Monterrey-Reynosa)-(San
Fernando-Reynosa) |
0.0 |
100.0 |
0.0 |
100.0 |
||||
|
|
|
|
|
|
|
|
|
|
|
TLAXCALA |
|
|
|
|
470.0 |
189.0 |
0.0 |
659.0 |
|
Calpulalpan-Ocotoxco |
|
|
|
140.0 |
139.0 |
0.0 |
279.0 |
|
|
Libramiento de Apizaco |
|
|
|
150.0 |
0.0 |
0.0 |
150.0 |
|
|
Libramiento de Tlaxcala |
|
|
|
130.0 |
0.0 |
0.0 |
130.0 |
|
|
Los Reyes, Mex.-Zacatepec, Pue. |
|
|
|
0.0 |
50.0 |
0.0 |
50.0 |
|
|
Tlaxcala-Zacatelco |
|
|
|
50.0 |
0.0 |
0.0 |
50.0 |
|
|
|
|
|
|
|
|
|
|
|
|
VERACRUZ |
|
|
|
|
400.0 |
325.0 |
280.0 |
445.0 |
|
Acayucan-La Ventosa |
|
|
|
300.0 |
0.0 |
230.0 |
70.0 |
|
|
Paso del Toro-Boca del Río |
|
|
|
100.0 |
0.0 |
50.0 |
50.0 |
|
|
Acceso al Puerto de Coatzacoalcos |
|
|
|
0.0 |
75.0 |
0.0 |
75.0 |
|
|
Libramiento de Coatepec |
|
|
|
0.0 |
50.0 |
0.0 |
50.0 |
|
|
Acceso a |
|
|
0.0 |
150.0 |
0.0 |
150.0 |
||
|
Distribuidor Vial Boticaria |
|
|
|
0.0 |
50.0 |
0.0 |
50.0 |
|
|
|
|
|
|
|
|
|
|
|
|
YUCATÁN |
|
|
|
|
445.0 |
40.0 |
0.0 |
485.0 |
|
Campeche-Mérida |
|
|
|
100.0 |
0.0 |
0.0 |
100.0 |
|
|
Chemax-Cobá |
|
|
|
|
60.0 |
0.0 |
0.0 |
60.0 |
|
Distribuidor Vial de Acceso al Puerto
Progreso |
|
|
0.0 |
40.0 |
0.0 |
40.0 |
||
|
Mérida-Celestúm, Tr: Mérida-Tétiz |
|
|
|
65.0 |
0.0 |
0.0 |
65.0 |
|
|
Mérida-Puerto Juárez, Tr: Valladolid-Chemax |
|
|
110.0 |
0.0 |
0.0 |
110.0 |
||
|
Teya-Lím. Edos. Yuc./Q.Roo., Tr: Peto-Lím. Edos.
Yuc./Q.Roo |
110.0 |
0.0 |
0.0 |
110.0 |
||||
|
|
|
|
|
|
|
|
|
|
|
ZACATECAS |
|
|
|
|
549.0 |
648.1 |
0.0 |
1,197.1 |
|
Entr. Tesistán-Entr. Malpaso, Tr:
Malpaso-Jerez |
|
|
100.0 |
0.0 |
0.0 |
100.0 |
||
|
Las Palmas-Lím. Edos. Zac./Dgo. |
|
|
|
149.0 |
51.0 |
0.0 |
200.0 |
|
|
Periférico Bicentenario |
|
|
|
0.0 |
200.0 |
0.0 |
200.0 |
|
|
Zacatecas-Saltillo, Tr: Entr. Villa de
Cos-Lim. Edos. Zac./Coah. |
|
300.0 |
168.0 |
0.0 |
468.0 |
|||
|
Entronque Rivier San Marcos-Lim. Loreto
Zac/Ags |
|
|
0.0 |
20.0 |
0.0 |
20.0 |
||
|
Guadalajara-Zacatecas,
Tramo La Escondida-Malpaso |
|
|
0.0 |
90.0 |
0.0 |
90.0 |
||
|
Guadalajara-Zacatecas,
Tramo Villanueva-Malpaso |
|
|
0.0 |
60.0 |
0.0 |
60.0 |
||
|
PSV El Jorobado
(Salida Fresnillo) |
|
|
|
0.0 |
49.0 |
0.0 |
49.0 |
|
|
Construcción de la
carretera La Concepción-Hinojosa |
|
|
0.0 |
10.1 |
0.0 |
10.1 |
||
|
GASTO NETO TOTAL |
14,732.5 |
10,578.9 |
2,227.5 |
23,083.9 |
||||
|
ANEXO 30. AMPLIACIONES EN INFRAESTRUCTURA CARRETERA,
FERROVIARIA Y OTROS |
||||||||
|
B. CAMINOS RURALES Y CARRETERAS ALIMENTADORAS
(millones de pesos) |
||||||||
|
|
|
|
|
|
|
|
|
|
|
|
|
|
|
|
Proyecto |
Ampliaciones |
Reducciones |
Presupuesto
Aprobado |
|
|
|
|
|
|
|
|
|
|
|
AGUASCALIENTES |
|
|
|
37.3 |
140.7 |
13.0 |
165.0 |
|
|
Calvillo, Ags.-Tabasco, Zac. |
|
|
|
25.6 |
0.0 |
0.0 |
25.6 |
|
|
Conservación de Caminos Rurales |
|
|
|
6.0 |
0.0 |
0.0 |
6.0 |
|
|
E.C. (J. Gómez portugal-San Antonio)-La Claveña-La
Loma |
|
0.0 |
9.3 |
0.0 |
9.3 |
|||
|
E.C. (Tortugas-Túnel de Potrerillos)-Bocatúnel |
|
|
0.0 |
19.0 |
5.0 |
14.0 |
||
|
E.C. Luis Moya-E.C. Ojo Zarco-Col. Adolfo López
Mateos |
|
0.0 |
10.0 |
0.0 |
10.0 |
|||
|
Estudios y Proyectos |
|
|
|
5.7 |
0.0 |
0.0 |
5.7 |
|
|
Norias del Cedazo-E.C. 45 (León-Aguascalientes) |
|
|
0.0 |
8.0 |
8.0 |
0.0 |
||
|
Puertecito de |
|
|
0.0 |
16.5 |
0.0 |
16.5 |
||
|
Puerto Concepción-Tepezalá |
|
|
|
0.0 |
13.0 |
0.0 |
13.0 |
|
|
Aguascalientes-Pocitos-Jesús María |
|
|
|
0.0 |
24.7 |
0.0 |
24.7 |
|
|
Ampliación a tipo Blvar, Clouthier a Maravillas |
|
|
0.0 |
21.2 |
0.0 |
21.2 |
||
|
Aguascalientes -Norias Ojo Caliente |
|
|
|
0.0 |
13.0 |
0.0 |
13.0 |
|
|
Construcción de puente vehícular en San Miguelito |
|
|
0.0 |
6.0 |
0.0 |
6.0 |
||
|
|
|
|
|
|
|
|
|
|
|
BAJA CALIFORNIA |
|
|
|
12.6 |
69.0 |
0.0 |
81.6 |
|
|
Conservación de Caminos Rurales |
|
|
|
6.0 |
0.0 |
0.0 |
6.0 |
|
|
Estudios y Proyectos |
|
|
|
6.6 |
0.0 |
0.0 |
6.6 |
|
|
Isla de Cedros |
|
|
|
|
0.0 |
5.0 |
0.0 |
5.0 |
|
Km. 76.8 Carretera Tecate-Ensenada-Valle de
Guadalupe-Francisco Zarco-El Porvenir-Tigre |
0.0 |
14.0 |
0.0 |
14.0 |
||||
|
Segundo Acceso a Playas de Tijuana |
|
|
0.0 |
50.0 |
0.0 |
50.0 |
||
|
|
|
|
|
|
|
|
|
|
|
BAJA CALIFORNIA SUR |
|
|
|
70.0 |
311.2 |
0.0 |
381.2 |
|
|
Bahía Asunción-E.C. Vizcaíno Bahía de Tortugas |
|
|
0.0 |
40.0 |
0.0 |
40.0 |
||
|
Campo Fisher-Punta Abreojos |
|
|
|
0.0 |
20.0 |
0.0 |
20.0 |
|
|
Conservación de Caminos Rurales |
|
|
|
15.0 |
10.0 |
0.0 |
25.0 |
|
|
E.C. 9+500-Ramal a Puerto San Carlos-Benito
Juárez-Villa Hidalgo-Ramaditas |
0.0 |
2.4 |
0.0 |
2.4 |
||||
|
Estudios y Proyectos |
|
|
|
4.0 |
12.0 |
0.0 |
16.0 |
|
|
Francisco Villa-San Miguel de Comondú |
|
|
0.0 |
40.0 |
0.0 |
40.0 |
||
|
Las Barrancas-El Chicharrón-Los Burros-San Juanico |
|
|
51.0 |
6.8 |
0.0 |
57.8 |
||
|
Punta Eugenia-E.C. Vizcaíno-Bahía de Tortugas |
|
|
0.0 |
40.0 |
0.0 |
40.0 |
||
|
San Francisco de la Sierra |
|
|
|
0.0 |
40.0 |
0.0 |
40.0 |
|
|
San Ignacio-La Laguna |
|
|
|
0.0 |
50.0 |
0.0 |
50.0 |
|
|
San Javier-Loreto |
|
|
|
|
0.0 |
50.0 |
0.0 |
50.0 |
|
|
|
|
|
|
|
|
|
|
|
CAMPECHE |
|
|
|
|
66.5 |
98.0 |
0.0 |
164.5 |
|
Camp./Yuc. |
0.0 |
22.7 |
0.0 |
22.7 |
||||
|
Centenario-Laguna Grande |
|
|
|
0.0 |
22.0 |
0.0 |
22.0 |
|
|
Conservación de Caminos Rurales |
|
|
|
9.0 |
0.0 |
0.0 |
9.0 |
|
|
E.C. (Escárcega-Champotón)-E.C. (Díaz Ordaz-Sabancuy) |
|
0.0 |
23.3 |
0.0 |
23.3 |
|||
|
Estudios y Proyectos |
|
|
|
3.0 |
0.0 |
0.0 |
3.0 |
|
|
Hopelchen - Dzibalchen |
|
|
|
54.5 |
0.0 |
0.0 |
54.5 |
|
|
Villahermosa-Escárcega-División del Norte-Candelaria |
|
|
0.0 |
30.0 |
0.0 |
30.0 |
||
|
|
|
|
|
|
|
|
|
|
|
CHIAPAS |
|
|
|
|
130.8 |
720.7 |
21.0 |
830.5 |
|
30 de Noviembre (Jobo Dulce) - Nueva Independencia |
|
|
0.0 |
15.0 |
0.0 |
15.0 |
||
|
Acapetahua-El Arenal-Embarcadero Río Arriba Km. 8+000
al 12+000 |
|
0.0 |
15.0 |
0.0 |
15.0 |
|||
|
Angel Albino Corzo - Siltepec |
|
|
|
80.0 |
0.0 |
0.0 |
80.0 |
|
|
Ángel Albino Corzo-La Trinitaria |
|
|
|
0.0 |
0.0 |
0.0 |
0.0 |
|
|
Barra de San Simón-Mazatán |
|
|
|
0.0 |
13.2 |
0.0 |
13.2 |
|
|
Belisario Domínguez - Vicente Guerrero |
|
|
0.0 |
0.0 |
0.0 |
0.0 |
||
|
Belisario Dominguez-Las Cabañas Km. 8+000 al 12+000 |
|
0.0 |
10.0 |
0.0 |
10.0 |
|||
|
Belisario Domínguez-San José Ixtepec |
|
|
17.8 |
0.0 |
0.0 |
17.8 |
||
|
Bochil-Ixvontic |
|
|
|
|
0.0 |
12.0 |
0.0 |
12.0 |
|
Cabecera Municipal de Tenejapa-Cañada Grande; Mpio.
Tenejapa |
|
0.0 |
8.0 |
0.0 |
8.0 |
|||
|
Camino a |
|
|
0.0 |
4.0 |
0.0 |
4.0 |
||
|
Camino a |
|
0.0 |
10.0 |
0.0 |
10.0 |
|||
|
Camino a |
|
|
|
0.0 |
4.3 |
0.0 |
4.3 |
|
|
Camino a Las Pilas (Finiquito) |
|
|
|
0.0 |
0.5 |
0.0 |
0.5 |
|
|
Camino Velasco Suárez-Paso Hondo, Tr: Km
0+000-8+256.10, Mpio. Tzimol |
0.0 |
15.0 |
0.0 |
15.0 |
||||
|
Camino Viejo Paraíso, -Mpio. Francisco León |
|
|
18.0 |
0.0 |
0.0 |
18.0 |
||
|
Cash-San Miguel Tinajab |
|
|
|
0.0 |
1.2 |
0.0 |
1.2 |
|
|
Chanal -La Mendoza |
|
|
|
0.0 |
0.0 |
0.0 |
0.0 |
|
|
Chicomuselo-Rizo de Oro |
|
|
|
0.0 |
10.0 |
0.0 |
10.0 |
|
|
Chicomuselo-Chicharra-Emiliano Zapata |
|
|
0.0 |
0.0 |
0.0 |
0.0 |
||
|
Coapa-Ceniceros, Mpio. Pijijiapan |
|
|
|
0.0 |
12.0 |
0.0 |
12.0 |
|
|
Cojtomil-Jetja El Diamante |
|
|
|
0.0 |
15.0 |
0.0 |
15.0 |
|
|
Comitán-Pavimentación del Camino a |
|
0.0 |
0.0 |
0.0 |
0.0 |
|||
|
Conservación de Caminos Rurales |
|
|
|
0.0 |
0.0 |
0.0 |
0.0 |
|
|
Crucero Tonina- Monte Libano |
|
|
|
0.0 |
10.0 |
0.0 |
10.0 |
|
|
Cuauhtémoc - El Palmar |
|
|
|
0.0 |
15.0 |
0.0 |
15.0 |
|
|
Domingo Chanona-Los Ángeles |
|
|
|
0.0 |
12.0 |
0.0 |
12.0 |
|
|
E.C. (Chicomuselo)-Cárdenas-Ojo de Agua |
|
|
0.0 |
15.0 |
0.0 |
15.0 |
||
|
E.C. (Cintalapa-Triunfo de Madero)-Francisco I.
Madero-Tr: Cintalapa |
|
0.0 |
15.0 |
0.0 |
15.0 |
|||
|
E.C. (Motozintla - Niquivil - Barrio Carrizal ) -La
soledad |
|
0.0 |
20.0 |
0.0 |
20.0 |
|||
|
E.C. (Yajalon-Sabanilla)-Paraíso |
|
|
|
0.0 |
4.2 |
0.0 |
4.2 |
|
|
E.C. Amatenango del Valle- Comitan - San Jose Cruz
Quemada - La Merced |
0.0 |
0.0 |
0.0 |
0.0 |
||||
|
E.C. Desvío Candelaria-Baja California-E.C. Santa
Isabel, Villa Flores(Puente Quemado)(Mpio. Jiquipilas) |
0.0 |
8.0 |
0.0 |
8.0 |
||||
|
E.C. Huitiupan-Simojovel-El Ocotal |
|
|
|
0.0 |
0.0 |
0.0 |
0.0 |
|
|
E.C. Isable Villa Flores-A. Los Ángeles, Subtramo
(Mpio. Villaflores) |
|
0.0 |
0.0 |
0.0 |
0.0 |
|||
|
E.C. Revolución Mexicana-Independencia al Ejido Nuevo
Vicente Guerrero-Nuevo San Juan, Subtramo (Mpio. Villa Corzo) |
0.0 |
10.0 |
0.0 |
10.0 |
||||
|
E.C.(Cd. Cuauhtemoc-Chihuahua)-Ángel Albino Corzo |
0.0 |
15.0 |
0.0 |
15.0 |
||||
|
Ejido Francisco Mujica - Rancheria la Campana |
|
|
0.0 |
15.0 |
0.0 |
15.0 |
||
|
El Contento - Sibaca - Guaquitepec |
|
|
|
0.0 |
15.0 |
0.0 |
15.0 |
|
|
El Jobito - Nueva Independencia |
|
|
|
0.0 |
8.0 |
0.0 |
8.0 |
|
|
El Paraiso - El Nopal |
|
|
|
0.0 |
16.0 |
0.0 |
16.0 |
|
|
Entr. Monte Cristo de Guerrero - Las Suizas |
|
|
0.0 |
10.0 |
0.0 |
10.0 |
||
|
Estudios y Proyectos |
|
|
|
0.0 |
0.0 |
0.0 |
0.0 |
|
|
Frontera Comalapa - Nueva Independencia Km. 11+000 al
14+500 |
|
0.0 |
39.0 |
21.0 |
18.0 |
|||
|
Huitiupan - Sombra Carrizal |
|
|
|
0.0 |
15.0 |
0.0 |
15.0 |
|
|
Iganacio Zaragoza-Ejido Francisco I. Madero Km. 2+000
al 5+000 |
|
0.0 |
10.0 |
0.0 |
10.0 |
|||
|
Las Choapas-Ocozocuautla-Ejido Ocuilapan-Entronque a
Ocozocuautla Tr: Mpio Ocozocuautla |
0.0 |
9.0 |
0.0 |
9.0 |
||||
|
|
|
0.0 |
5.0 |
0.0 |
5.0 |
|||
|
Mapastepec-3 de Mayo km 14+000 al km 18+000 |
|
|
0.0 |
18.5 |
0.0 |
18.5 |
||
|
Nueva Esperanza - Chinintie |
|
|
|
0.0 |
12.5 |
0.0 |
12.5 |
|
|
Nueva Independencia-José María Pino Suárez-Cuahutémoc
(Mpio. Jiquipilas) |
0.0 |
23.0 |
0.0 |
23.0 |
||||
|
Nueva Tenochtitlan-Ejido Bremen Km. 6+000 al 9+000 |
|
|
0.0 |
15.0 |
0.0 |
15.0 |
||
|
Nuevo Limar - Usipa |
|
|
|
0.0 |
10.0 |
0.0 |
10.0 |
|
|
Pueblo Nuevo Solistahuacan - Chapayal |
|
|
0.0 |
12.3 |
0.0 |
12.3 |
||
|
Sabanilla-Moyos |
|
|
|
|
0.0 |
15.0 |
0.0 |
15.0 |
|
San Antonio Tsalani |
|
|
|
0.0 |
4.2 |
0.0 |
4.2 |
|
|
San Cristobal - La Candelaria |
|
|
|
0.0 |
16.0 |
0.0 |
16.0 |
|
|
San Pedro-Buenavista- Ignacio Zaragoza |
|
|
0.0 |
20.0 |
0.0 |
20.0 |
||
|
San Rafael-Pushilá |
|
|
|
0.0 |
15.5 |
0.0 |
15.5 |
|
|
Santa Catarina Mpio. De Huitiupan - Ejido Los
Naranjos |
|
|
0.0 |
15.0 |
0.0 |
15.0 |
||
|
Simojovel - Pueblo Nuevo - Sitala |
|
|
|
0.0 |
12.2 |
0.0 |
12.2 |
|
|
Socoltenango - Pavimentación de camino El Porvenir -
Samuel León Brindis |
0.0 |
16.0 |
0.0 |
16.0 |
||||
|
Tapachula-Canton El Aguinal-Silvano Gatica Km. 5+100
al 9+000 |
|
0.0 |
10.0 |
0.0 |
10.0 |
|||
|
Tila- Chulum Juarez |
|
|
|
0.0 |
10.0 |
0.0 |
10.0 |
|
|
Tumbala-Xhanil |
|
|
|
|
0.0 |
0.0 |
0.0 |
0.0 |
|
Valdivia-Palmarcito Km. 27+500 al 30+500 |
|
|
0.0 |
12.0 |
0.0 |
12.0 |
||
|
Venustiano Carranza-Emiliano Zapata |
|
|
15.0 |
5.0 |
0.0 |
20.0 |
||
|
Villaflores-Villa Hidalgo |
|
|
|
0.0 |
11.4 |
0.0 |
11.4 |
|
|
Yajalon - Amado Nervo |
|
|
|
0.0 |
17.9 |
0.0 |
17.9 |
|
|
Cabecera Municipal de Zinacantan-Bochobjo Alto |
|
|
0.0 |
17.5 |
0.0 |
17.5 |
||
|
Monte Líbano-San José |
|
|
|
0.0 |
7.0 |
0.0 |
7.0 |
|
|
Puente vehicular Ejido San Juan Tulije, Palenque |
|
|
0.0 |
6.3 |
0.0 |
6.3 |
||
|
Tzaja-Tenango |
|
|
|
|
0.0 |
7.0 |
0.0 |
7.0 |
|
|
|
|
|
|
|
|
|
|
|
CHIHUAHUA |
|
|
|
|
345.0 |
269.1 |
109.0 |
505.1 |
|
Bocoyna-Sisoguichi |
|
|
|
0.0 |
30.0 |
0.0 |
30.0 |
|
|
Conservación de Caminos Rurales |
|
|
|
15.0 |
0.0 |
0.0 |
15.0 |
|
|
Escalón-Estación Carrillo |
|
|
|
0.0 |
40.0 |
0.0 |
40.0 |
|
|
Estudios y Proyectos |
|
|
|
10.0 |
0.0 |
0.0 |
10.0 |
|
|
Guachochi-Baborigame |
|
|
|
0.0 |
19.1 |
0.0 |
19.1 |
|
|
Guachochi-Yoquivo-Morelos |
|
|
|
0.0 |
60.0 |
0.0 |
60.0 |
|
|
Juan Mata Ortiz-Mesa del Huracán |
|
|
|
100.0 |
0.0 |
20.0 |
80.0 |
|
|
Metatitos-Tecorachi-El Tigre-El Vergel |
|
|
0.0 |
15.0 |
0.0 |
15.0 |
||
|
Nonoava-Rocheachi, Subtramo: Nonoava-Km. 47+000 |
|
|
0.0 |
40.0 |
0.0 |
40.0 |
||
|
Puerto Sabinal-Badiguarato, Tr: Puerto Sabinal-Los
Frailes (Lím. Edos. Sin.-Dgo.-Chih.) |
149.0 |
0.0 |
89.0 |
60.0 |
||||
|
San Rafael-Bahuichivo |
|
|
|
71.0 |
0.0 |
0.0 |
71.0 |
|
|
Temosachi-Cocomorachi |
|
|
|
0.0 |
40.0 |
0.0 |
40.0 |
|
|
E.C. Km 112+000 (Juárez-Janos)-Puerto Palomas |
|
|
0.0 |
25.0 |
0.0 |
25.0 |
||
|
|
|
|
|
|
|
|
|
|
|
COAHUILA |
|
|
|
|
120.0 |
376.9 |
0.0 |
496.9 |
|
Camino a Ejido Hedionda Grande |
|
|
|
0.0 |
25.0 |
0.0 |
25.0 |
|
|
Camino a Ejido Palma Gorda |
|
|
|
0.0 |
20.0 |
0.0 |
20.0 |
|
|
Camino al Ejido Palestina |
|
|
|
0.0 |
14.5 |
0.0 |
14.5 |
|
|
Camino Aura - Pirineos |
|
|
|
0.0 |
20.0 |
0.0 |
20.0 |
|
|
Camino de acceso al Ejido Piedra Blanca |
|
|
0.0 |
5.9 |
0.0 |
5.9 |
||
|
Camino Entronque Zacatecas - Saltillo 5a. Etapa |
|
|
0.0 |
25.0 |
0.0 |
25.0 |
||
|
Camino |
|
|
0.0 |
12.2 |
0.0 |
12.2 |
||
|
Camino |
|
|
0.0 |
14.4 |
0.0 |
14.4 |
||
|
Camino Libramiento Carlos Salinas - Fresnillo -
Pozuelos de Arriba 2a. Etapa |
0.0 |
23.6 |
0.0 |
23.6 |
||||
|
Camino Mayrán - San Nicolás |
|
|
|
0.0 |
11.8 |
0.0 |
11.8 |
|
|
Carretera Vizcaya - Tacubaya |
|
|
|
0.0 |
20.0 |
0.0 |
20.0 |
|
|
Libertad - Guadalupe Victoria |
|
|
|
0.0 |
5.5 |
0.0 |
5.5 |
|
|
Múzquiz-Ojinaga |
|
|
|
|
0.0 |
20.0 |
0.0 |
20.0 |
|
Palaú - El Sauz |
|
|
|
|
120.0 |
30.0 |
0.0 |
150.0 |
|
Solís - Granada |
|
|
|
|
0.0 |
9.0 |
0.0 |
9.0 |
|
Torreón - San Pedro; tramo Nudo Mixteco - La Concha |
|
|
0.0 |
20.0 |
0.0 |
20.0 |
||
|
Viesca - Parras |
|
|
|
|
0.0 |
20.0 |
0.0 |
20.0 |
|
Viesca-Ahuichila |
|
|
|
|
0.0 |
32.0 |
0.0 |
32.0 |
|
Ramal a Nuevo Delicias |
|
|
|
0.0 |
18.0 |
0.0 |
18.0 |
|
|
Ramal a Nueva Victoria |
|
|
|
0.0 |
30.0 |
0.0 |
30.0 |
|
|
|
|
|
|
|
|
|
|
|
|
COLIMA |
|
|
|
|
23.3 |
150.0 |
0.9 |
172.4 |
|
Asmoles-Los Ortíces |
|
|
|
0.0 |
10.0 |
0.0 |
10.0 |
|
|
Camotlán-Ciruelito de Marina. |
|
|
|
13.0 |
0.0 |
0.0 |
13.0 |
|
|
Conservación de Caminos Rurales y Alimentadores |
|
|
6.0 |
0.0 |
0.9 |
5.1 |
||
|
Estudios y Proyectos |
|
|
|
4.3 |
0.0 |
0.0 |
4.3 |
|
|
La Fundición-La Atravesada-Coalatilla |
|
|
0.0 |
20.0 |
0.0 |
20.0 |
||
|
Los Asmoles-Jiliotupa-Tamala |
|
|
|
0.0 |
12.0 |
0.0 |
12.0 |
|
|
Pueblo Juárez-La Fundición |
|
|
|
0.0 |
20.0 |
0.0 |
20.0 |
|
|
Puente Zinacamitlán |
|
|
|
0.0 |
20.0 |
0.0 |
20.0 |
|
|
Puerta de Anzar-Estapilla |
|
|
|
0.0 |
15.0 |
0.0 |
15.0 |
|
|
Puerta de Anzar-Tepames |
|
|
|
0.0 |
13.0 |
0.0 |
13.0 |
|
|
San Antonio-Agua Salada-La Loma |
|
|
|
0.0 |
20.0 |
0.0 |
20.0 |
|
|
Veladero de Camotlán-La Rosa-La Fundición |
|
|
0.0 |
20.0 |
0.0 |
20.0 |
||
|
|
|
|
|
|
|
|
|
|
|
DURANGO |
|
|
|
|
302.6 |
262.1 |
30.0 |
534.7 |
|
Durango-Tepic |
|
|
|
|
80.0 |
0.0 |
0.0 |
80.0 |
|
El Tablón-La hierbabuena |
|
|
|
0.0 |
15.0 |
0.0 |
15.0 |
|
|
Estudios y Proyectos |
|
|
|
6.6 |
0.0 |
0.0 |
6.6 |
|
|
Gomez Palacio-Gregorio García |
|
|
|
0.0 |
25.0 |
0.0 |
25.0 |
|
|
Independencia-Libertad Tuitan |
|
|
|
0.0 |
10.0 |
0.0 |
10.0 |
|
|
La Flor-El Pueblito |
|
|
|
0.0 |
30.0 |
0.0 |
30.0 |
|
|
|
|
|
|
0.0 |
20.0 |
0.0 |
20.0 |
|
|
Los Altares-Otáez |
|
|
|
|
0.0 |
20.0 |
0.0 |
20.0 |
|
Los Herrera-Tamazula |
|
|
|
166.0 |
0.0 |
10.0 |
156.0 |
|
|
Mezquital-Charcos |
|
|
|
50.0 |
0.0 |
20.0 |
30.0 |
|
|
Navíos-Regocijo |
|
|
|
|
0.0 |
30.0 |
0.0 |
30.0 |
|
Otinapa-Ignacio Zaragoza |
|
|
|
0.0 |
30.0 |
0.0 |
30.0 |
|
|
Puente la Hierbabuena |
|
|
|
0.0 |
20.0 |
0.0 |
20.0 |
|
|
Puente la Petaca |
|
|
|
|
0.0 |
22.1 |
0.0 |
22.1 |
|
Tepehuanes-San Juan El Negro |
|
|
|
0.0 |
20.0 |
0.0 |
20.0 |
|
|
Indé-E.C. (El Palmito-La Zarca)-El Ventarron |
|
|
0.0 |
20.0 |
0.0 |
20.0 |
||
|
|
|
|
|
|
|
|
|
|
|
GUANAJUATO |
|
|
|
|
45.0 |
160.0 |
0.0 |
205.0 |
|
Amoles-San Isidro-Ojo de Agua |
|
|
|
0.0 |
6.3 |
0.0 |
6.3 |
|
|
C.R. Serrano-Santa Bárbara-San Agustín |
|
|
0.0 |
10.0 |
0.0 |
10.0 |
||
|
Camino a la Concepción Vieja |
|
|
|
0.0 |
2.0 |
0.0 |
2.0 |
|
|
Camino a la Estancia |
|
|
|
0.0 |
10.0 |
0.0 |
10.0 |
|
|
Camino Al Xoconoxtle |
|
|
|
0.0 |
1.8 |
0.0 |
1.8 |
|
|
Conservación de Caminos Rurales |
|
|
|
29.0 |
0.0 |
0.0 |
29.0 |
|
|
El Gato-E.C.(Dolores Hidalgo-San Diego de |
|
|
0.0 |
9.5 |
0.0 |
9.5 |
||
|
Estación Manzano-Chamacuaro |
|
|
|
0.0 |
9.3 |
0.0 |
9.3 |
|
|
Estudios y Proyectos |
|
|
|
3.4 |
0.0 |
0.0 |
3.4 |
|
|
La Barranca-Candelas |
|
|
|
0.0 |
5.0 |
0.0 |
5.0 |
|
|
Pueblo Nuevo-Irapuato (Rehabilitación) |
|
|
0.0 |
10.0 |
0.0 |
10.0 |
||
|
Roque-San Cayetano |
|
|
|
0.0 |
9.1 |
0.0 |
9.1 |
|
|
San Antonio del Pochote-Santana del Conde |
|
|
0.0 |
12.3 |
0.0 |
12.3 |
||
|
San Bernardo-E.C. Sotelo-Morelos |
|
|
|
0.0 |
1.0 |
0.0 |
1.0 |
|
|
San José de Guanajuato-Entr. Autopista de San Antonio
Morales |
|
0.0 |
1.3 |
0.0 |
1.3 |
|||
|
San Juan de |
|
|
0.0 |
17.4 |
0.0 |
17.4 |
||
|
San Luis de |
|
0.0 |
15.0 |
0.0 |
15.0 |
|||
|
San Rafael-La Palma |
|
|
|
12.6 |
0.0 |
0.0 |
12.6 |
|
|
Santa Rita-Mexicanos |
|
|
|
0.0 |
15.0 |
0.0 |
15.0 |
|
|
Segunda etapa Acambaro-Morelia |
|
|
|
0.0 |
10.0 |
0.0 |
10.0 |
|
|
Valle Yuriria-Lagunilla de Mogotes |
|
|
|
0.0 |
15.0 |
0.0 |
15.0 |
|
|
|
|
|
|
|
|
|
|
|
|
GUERRERO |
|
|
|
|
306.6 |
797.2 |
138.2 |
965.6 |
|
Altamirano-Tlalchapa-Placeritos (Mpio. Pungarabato) |
|
|
0.0 |
5.0 |
0.0 |
5.0 |
||
|
Ampliación a 4 carriles El Rincón-Ocotito |
|
|
0.0 |
20.0 |
0.0 |
20.0 |
||
|
Ayutla-Acatepec,Tr: San José la Hacienda-Encino
Amarillo |
|
0.0 |
10.0 |
0.0 |
10.0 |
|||
|
Ayutla-Colotipla |
|
|
|
|
0.0 |
10.0 |
0.0 |
10.0 |
|
Ayutla-Pascala del Oro |
|
|
|
0.0 |
10.0 |
0.0 |
10.0 |
|
|
Azoyú-Maxmadi-Cuanacaxtitlán |
|
|
|
0.0 |
15.0 |
0.0 |
15.0 |
|
|
Buenavista de Cuéllar-Coxcatlán-Tlamacazapa |
|
|
29.0 |
0.0 |
4.0 |
25.0 |
||
|
Boulevard Zihuatanejo |
|
|
|
0.0 |
15.0 |
0.0 |
15.0 |
|
|
Camino a Colotepec (reencarpetado) |
|
|
|
0.0 |
10.0 |
0.0 |
10.0 |
|
|
Chapultepec-Chacámero Grande (Mpio. Tlalchapa) |
|
|
0.0 |
9.4 |
0.0 |
9.4 |
||
|
Chilapa-Atzacoaloya-Hueycantenango-Ixcatla-El
Jaguey-Zizicazapa |
|
0.0 |
10.0 |
0.0 |
10.0 |
|||
|
Chilpancingo-Amojileca-Omiltemi |
|
|
|
0.0 |
23.0 |
0.0 |
23.0 |
|
|
Conservación de Caminos Rurales |
|
|
|
30.0 |
0.0 |
5.0 |
25.0 |
|
|
Coyuca de Benítez-Tepetixtla |
|
|
|
0.0 |
20.0 |
0.0 |
20.0 |
|
|
Cruz Grande-Boca del Río (Zona Delta) |
|
|
0.0 |
15.0 |
0.0 |
15.0 |
||
|
Cuautepec-Cihoalpoloya |
|
|
|
0.0 |
10.0 |
0.0 |
10.0 |
|
|
E.C. (Tlapa-Marquelia)-Iliatenco |
|
|
|
0.0 |
10.0 |
0.0 |
10.0 |
|
|
El Coquillo - San Agustín Cuilutla (Mpio. Cuautepec) |
|
|
0.0 |
15.0 |
0.0 |
15.0 |
||
|
Estudios y Proyectos |
|
|
|
8.4 |
0.0 |
0.0 |
8.4 |
|
|
Hacienda Nueva-E.C. (Iguala-Cd. Altamirano)-Santo
Niño |
|
0.0 |
5.0 |
0.0 |
5.0 |
|||
|
Ixcateopan-Tlalixtaquilla (incluye puente) |
|
|
0.0 |
10.0 |
0.0 |
10.0 |
||
|
La Florida-Arroyo Grande |
|
|
|
0.0 |
16.0 |
0.0 |
16.0 |
|
|
Las Ánimas-Huamuchapa (Mpio.Tecoanapa) |
|
|
0.0 |
10.0 |
0.0 |
10.0 |
||
|
Libramiento Tlapa |
|
|
|
|
0.0 |
25.0 |
0.0 |
25.0 |
|
Lucerito-Tlacoapa |
|
|
|
|
0.0 |
20.0 |
0.0 |
20.0 |
|
Metlatónoc-Tlacoachistlahuaca, Tramo: Rancho Nuevo de
la Democracia |
|
150.0 |
0.0 |
60.0 |
90.0 |
|||
|
Mixteca Gro.-Mixteca Oax. (Caliguala-Alcozauca),Tr: |
0.0 |
15.0 |
0.0 |
15.0 |
||||
|
Mochitlán-Coaxtlahuacán |
|
|
|
0.0 |
10.0 |
0.0 |
10.0 |
|
|
Ocotito-Tlahuizapa-Coacoyulillo-Jaleaca de Catalán |
|
|
0.0 |
25.0 |
0.0 |
25.0 |
||
|
Ometepec-Las Iguanas-Charco de la Puerta |
|
|
0.0 |
20.0 |
0.0 |
20.0 |
||
|
Pénjamo-El Terrero |
|
|
|
0.0 |
10.0 |
0.0 |
10.0 |
|
|
Placeres del Oro-San Rafael (Mpio. Zirándaro) |
|
|
0.0 |
12.0 |
0.0 |
12.0 |
||
|
Playa Blanca-Aeropuerto Zihuatanejo |
|
|
|
0.0 |
10.0 |
0.0 |
10.0 |
|
|
Playa Ventura-Copala |
|
|
|
0.0 |
12.0 |
0.0 |
12.0 |
|
|
Potrerillo del Rincón-Pueblo Hidalgo-Buenavista-Río
Iguapa |
|
0.0 |
15.0 |
0.0 |
15.0 |
|||
|
Presa Caracol-Tlacotepec |
|
|
|
0.0 |
15.0 |
0.0 |
15.0 |
|
|
Providencia-Pueblos Santos |
|
|
|
0.0 |
20.0 |
0.0 |
20.0 |
|
|
Puente Oztocingo, Km 9+500 s/c Atlamajalcingo del
Monte-Copanatoyac |
|
0.0 |
5.0 |
0.0 |
5.0 |
|||
|
Puente Paso Real |
|
|
|
0.0 |
4.0 |
0.0 |
4.0 |
|
|
Puente San Bartolo (E.C. Estatal)-Santa Rosa Primera |
|
|
0.0 |
3.0 |
0.0 |
3.0 |
||
|
Puente Yucatán de las Flores (Mpio. San Marcos) |
|
|
0.0 |
10.1 |
0.0 |
10.1 |
||
|
Puerto de Gallo-Filo de Caballos, Tr: Filo de
Caballos-Cruz de Ocote-El Jilguero |
0.0 |
25.0 |
0.0 |
25.0 |
||||
|
Puerto del Varal-Corral de Piedra |
|
|
|
0.0 |
15.0 |
0.0 |
15.0 |
|
|
Quechultenango-Jalapa-Pueblo Viejo |
|
|
|
0.0 |
10.0 |
0.0 |
10.0 |
|
|
Ramal al Calabazalito |
|
|
|
0.0 |
10.0 |
0.0 |
10.0 |
|
|
Ramal San Cristóbal |
|
|
|
0.0 |
10.0 |
0.0 |
10.0 |
|
|
San José La Pala-Las Lechugas |
|
|
|
0.0 |
20.0 |
0.0 |
20.0 |
|
|
San Marcos-Tecomate Pesquería |
|
|
|
0.0 |
10.0 |
0.0 |
10.0 |
|
|
Tecpan-El Balcón |
|
|
|
|
0.0 |
20.0 |
0.0 |
20.0 |
|
Tetipac-Pilcaya, incluye puente en el Km 11+800 |
|
|
0.0 |
10.0 |
0.0 |
10.0 |
||
|
Tierra Colorada-Ayutla, Cruz Grande-Ayutla
(reencarpetado) |
|
0.0 |
10.0 |
0.0 |
10.0 |
|||
|
Tierra Colorada-La Garrapata |
|
|
|
0.0 |
5.0 |
0.0 |
5.0 |
|
|
Tierra Colorada-Potrero Oriental |
|
|
|
0.0 |
15.0 |
0.0 |
15.0 |
|
|
Tinoco-Chacámero Grande (Mpio. Tlapehuala) |
|
|
0.0 |
15.7 |
0.0 |
15.7 |
||
|
Tlacoachistlahuaca-Metlatónoc Tramo: Jicayán de
Tovar-Metlatónoc |
|
0.0 |
35.0 |
0.0 |
35.0 |
|||
|
Tlacotepec-Acatlán del Río |
|
|
|
0.0 |
35.0 |
0.0 |
35.0 |
|
|
Tlacotepec-Paraje Laureles |
|
|
|
0.0 |
8.0 |
0.0 |
8.0 |
|
|
Tlalixtaquilla-Santa Cruz |
|
|
|
0.0 |
8.0 |
0.0 |
8.0 |
|
|
Tlapa,Gro.-Huajuapan de León, Oax. Tramo: (lim.
Gro/Oax-La Luz de Juárez) |
0.0 |
10.0 |
0.0 |
10.0 |
||||
|
Tlapa-Alcozauca |
|
|
|
|
89.2 |
0.0 |
69.2 |
20.0 |
|
Xalitla-San Franscisco Ozomatlán-Ahuetlixpa |
|
|
0.0 |
10.0 |
0.0 |
10.0 |
||
|
Xochistlahuaca-Plan de Guadalupe |
|
|
|
0.0 |
15.0 |
0.0 |
15.0 |
|
|
Zacapuato-Camutla (Mpio. Cutzamala de Pinzón) |
|
|
0.0 |
6.0 |
0.0 |
6.0 |
||
|
Zitlala-Tlacozoltitlán |
|
|
|
0.0 |
15.0 |
0.0 |
15.0 |
|
|
|
|
|
|
|
|
|
|
|
|
HIDALGO |
|
|
|
|
123.8 |
734.3 |
20.5 |
837.6 |
|
Acceso a Nopala de Villagrán, Tr: Entr. Km 107 de |
|
0.0 |
24.1 |
0.0 |
24.1 |
|||
|
Agua Blanca, Hgo.-Zacualpan, Ver. |
|
|
|
12.7 |
0.0 |
0.0 |
12.7 |
|
|
Alfajayucan-Chilcuautla |
|
|
|
0.0 |
10.0 |
0.0 |
10.0 |
|
|
Almoloya-Tepozán |
|
|
|
0.0 |
10.0 |
0.0 |
10.0 |
|
|
Blvd. San Agustín-Tlaxiaca |
|
|
|
0.0 |
21.5 |
0.0 |
21.5 |
|
|
Boulevard las Torres |
|
|
|
0.0 |
7.0 |
0.0 |
7.0 |
|
|
Boxaxni-Lagunilla |
|
|
|
|
10.5 |
0.0 |
0.0 |
10.5 |
|
Boye-Taxtho |
|
|
|
|
0.0 |
10.0 |
0.0 |
10.0 |
|
C.E. Ixtlahuaco-Calnali |
|
|
|
0.0 |
15.0 |
0.0 |
15.0 |
|
|
C.E. Progreso-El Tephe |
|
|
|
0.0 |
44.5 |
0.0 |
44.5 |
|
|
C.F. Pachuca-Tampico "Libramiento
Huejutla", 1ra Etapa |
|
0.0 |
20.0 |
0.0 |
20.0 |
|||
|
Camino Puente de Doria-Tlaxxocoyucan 2da Etapa |
|
|
0.0 |
13.4 |
0.0 |
13.4 |
||
|
Carboneras-Mineral del Chico |
|
|
|
0.0 |
12.8 |
0.0 |
12.8 |
|
|
Cardenal-Arenalito- |
|
0.0 |
10.0 |
0.0 |
10.0 |
|||
|
Circuito Chapultepec |
|
|
|
0.0 |
25.1 |
0.0 |
25.1 |
|
|
Colonia Benito Juárez-San José Capulines |
|
|
0.0 |
5.8 |
0.0 |
5.8 |
||
|
Conservación de Caminos Rurales |
|
|
|
24.0 |
0.0 |
0.0 |
24.0 |
|
|
Distribuidor Vial el Tephe 3ra. Etapa |
|
|
|
0.0 |
20.0 |
0.0 |
20.0 |
|
|
E.C. (San Bartolo-San Miguel)-Pie del Cerro, 1ra
etapa |
|
|
0.0 |
5.0 |
0.0 |
5.0 |
||
|
E.C. km.12+000 (Molango - Xochicoatán) - Zapocoatlán
- Texcaco |
|
0.0 |
15.0 |
0.0 |
15.0 |
|||
|
El Dexthi-San Juanico, Tr: del Km 6+180-9+252 |
|
|
12.7 |
0.0 |
0.0 |
12.7 |
||
|
Estudios y Proyectos |
|
|
|
8.4 |
0.0 |
0.0 |
8.4 |
|
|
Fray Francisco-San Jerónimo |
|
|
|
16.5 |
0.0 |
6.5 |
10.0 |
|
|
Huapacalco-Estación de Apulco, Tr:
Hupalcalco-Estación Apulco, 2da. Etapa |
0.0 |
15.0 |
0.0 |
15.0 |
||||
|
Huaxto-Actopan |
|
|
|
|
0.0 |
10.0 |
0.0 |
10.0 |
|
Huazalingo - Tlanchilchol |
|
|
|
0.0 |
10.0 |
0.0 |
10.0 |
|
|
Huehuetla-San Lorenzo Achiotepec |
|
|
|
0.0 |
40.0 |
0.0 |
40.0 |
|
|
Juárez-Hidalgo -Tlahuiltepa |
|
|
|
0.0 |
15.0 |
0.0 |
15.0 |
|
|
La Estancia-Pacula |
|
|
|
39.0 |
0.0 |
14.0 |
25.0 |
|
|
Nicolás Flores - Cerritos |
|
|
|
0.0 |
8.3 |
0.0 |
8.3 |
|
|
Paso a Denivel Pachuca-Tulancingo, E.C. Pachuca, Real
del Monte 4ta Etapa |
0.0 |
20.0 |
0.0 |
20.0 |
||||
|
Pisaflores - Chalahuite |
|
|
|
0.0 |
10.0 |
0.0 |
10.0 |
|
|
PIV en |
|
|
|
0.0 |
50.0 |
0.0 |
50.0 |
|
|
Puente vehicular "T" Cruz 2da. Etapa |
|
|
0.0 |
24.5 |
0.0 |
24.5 |
||
|
Puente Vehicular Las Adjuntas |
|
|
|
0.0 |
8.5 |
0.0 |
8.5 |
|
|
Puente vehicular Río Rosas |
|
|
|
0.0 |
15.0 |
0.0 |
15.0 |
|
|
Puente vehicular Sta. María amajac-Barrio Sur, 2da
etapa |
|
0.0 |
6.0 |
0.0 |
6.0 |
|||
|
Puente Vehicular tres culturas |
|
|
|
0.0 |
15.0 |
0.0 |
15.0 |
|
|
Puerto Dañu, Mpio. De Nopala de Villagran |
|
|
0.0 |
6.6 |
0.0 |
6.6 |
||
|
Quetzalapa-Chichicaxtla, 3ra estapa |
|
|
|
0.0 |
10.0 |
0.0 |
10.0 |
|
|
Reconstrucción Pachuca-Tulancingo-Los romeros |
|
|
0.0 |
7.4 |
0.0 |
7.4 |
||
|
San Juan Tepha - E.C.(Tecamalt - Teocalco) |
|
|
0.0 |
10.0 |
0.0 |
10.0 |
||
|
Santa Ma. Quelites-San José Piedra Gorda |
|
|
0.0 |
4.0 |
0.0 |
4.0 |
||
|
Santa María Nativitas - Chacalapa |
|
|
|
0.0 |
15.0 |
0.0 |
15.0 |
|
|
Santo Domingo-Zapoyo II-Nexpa |
|
|
|
0.0 |
10.0 |
0.0 |
10.0 |
|
|
Tecamatl – Teocalco |
|
|
|
0.0 |
20.0 |
0.0 |
20.0 |
|
|
Tenango-San Bartolo |
|
|
|
0.0 |
25.0 |
0.0 |
25.0 |
|
|
Tepemaxac - Amajac |
|
|
|
0.0 |
10.0 |
0.0 |
10.0 |
|
|
Tianguistengo-Atlapexco |
|
|
|
0.0 |
20.0 |
0.0 |
20.0 |
|
|
Tizayuca - Temaxcalapa - Corrugados |
|
|
0.0 |
10.0 |
0.0 |
10.0 |
||
|
Tolago - Chinconcuac |
|
|
|
0.0 |
15.0 |
0.0 |
15.0 |
|
|
Zacualtipan-Atopixco |
|
|
|
0.0 |
8.0 |
0.0 |
8.0 |
|
|
Zoquiatipan - Santa Teresa |
|
|
|
0.0 |
10.0 |
0.0 |
10.0 |
|
|
C.E. Tecozautla-Tasquillo Tramo: El
Salto-Caltimacan |
|
0.0 |
10.0 |
0.0 |
10.0 |
|||
|
Metzquititla-Huizticola |
|
|
|
0.0 |
6.8 |
0.0 |
6.8 |
|
|
Distribuidor Vial Tepeji del Rio |
|
|
|
0.0 |
20.0 |
0.0 |
20.0 |
|
|
|
|
|
|
|
|
|
|
|
|
JALISCO |
|
|
|
|
219.4 |
495.8 |
0.0 |
715.2 |
|
Buen País-Tonilita-Tonila |
|
|
|
0.0 |
20.0 |
0.0 |
20.0 |
|
|
Chapala-Jocotepec, Tr: San Juan Cosala-Jocotepec |
|
|
15.0 |
0.0 |
0.0 |
15.0 |
||
|
Chapala-San Nicolás de Ibarra-Lim. Mpio. |
|
|
0.0 |
26.0 |
0.0 |
26.0 |
||
|
Chimaltitlán-Florencia |
|
|
|
0.0 |
20.0 |
0.0 |
20.0 |
|
|
Concepción de Buenos Aires-Teocuitlán de Corona |
|
|
0.0 |
15.0 |
0.0 |
15.0 |
||
|
Conservación de Caminos Rurales |
|
|
|
15.0 |
0.0 |
0.0 |
15.0 |
|
|
E.C. (Tapalpa-Chiquistlán)-Ferrería de Tula |
|
|
0.0 |
15.0 |
0.0 |
15.0 |
||
|
El Grullo-Zenzontla-Tuxcacuesco |
|
|
|
21.4 |
0.0 |
0.0 |
21.4 |
|
|
El Salvador-Presa de Santa Rosa |
|
|
|
0.0 |
5.0 |
0.0 |
5.0 |
|
|
Estudios y Proyectos |
|
|
|
6.0 |
5.0 |
0.0 |
11.0 |
|
|
Libramiento de Cihuatlán |
|
|
|
0.0 |
5.5 |
0.0 |
5.5 |
|
|
Los Ocotes-San Isidro Mazatepec |
|
|
|
0.0 |
30.0 |
0.0 |
30.0 |
|
|
Santa Rosa-San Juan-Cuyután |
|
|
|
0.0 |
20.0 |
0.0 |
20.0 |
|
|
Tepic-Aguascalientes, Tr: Lím. Edos. Nay./Jal.
Bolaños |
|
|
100.0 |
0.0 |
0.0 |
100.0 |
||
|
Tizapán el Alto-San José de Gracia, Mich. |
|
|
0.0 |
5.0 |
0.0 |
5.0 |
||
|
Tlapa-Llano Grande-Tomatlán |
|
|
|
0.0 |
12.0 |
0.0 |
12.0 |
|
|
Tultitlán-Unión de Guadalupe |
|
|
|
0.0 |
26.0 |
0.0 |
26.0 |
|
|
Villa Hidalgo-Colotlán-Carrizal |
|
|
|
0.0 |
30.0 |
0.0 |
30.0 |
|
|
Villa Hidalgo-Las Flores |
|
|
|
0.0 |
12.0 |
0.0 |
12.0 |
|
|
Zapotitlán-Comalá |
|
|
|
|
0.0 |
5.7 |
0.0 |
5.7 |
|
Camino a Ruiseñores-El Arenal |
|
|
|
0.0 |
18.0 |
0.0 |
18.0 |
|
|
Camino el Tuito Chacala Kilometro 3.24 al 7.24 |
|
|
0.0 |
17.0 |
0.0 |
17.0 |
||
|
Camino Etzatlán-Santa Rosalia |
|
|
|
0.0 |
14.0 |
0.0 |
14.0 |
|
|
Camino tipo c tramo temahuixtle-tuito en bolaños |
|
|
0.0 |
16.0 |
0.0 |
16.0 |
||
|
Colotlán-El Epazote |
|
|
|
0.0 |
20.0 |
0.0 |
20.0 |
|
|
Crucero San Miguel-Cuyutlán-Crucero Cajitlan,
Tlajomulco |
|
0.0 |
18.0 |
0.0 |
18.0 |
|||
|
El Amarillo-La Vega |
|
|
|
0.0 |
8.1 |
0.0 |
8.1 |
|
|
Estancita-Providencia Entronque Refugio San Marcos |
|
|
0.0 |
18.0 |
0.0 |
18.0 |
||
|
Jalisco Oconahua- Jesús Maria Nayarit |
|
|
0.0 |
20.0 |
0.0 |
20.0 |
||
|
Jilotlán de los Dolores-Cuatro Caminos |
|
|
30.0 |
0.0 |
0.0 |
30.0 |
||
|
Libramiento Tecalitlán |
|
|
|
32.0 |
0.0 |
0.0 |
32.0 |
|
|
Pavimentación camino Villa Guerrero-Azqueltan |
|
|
0.0 |
20.0 |
0.0 |
20.0 |
||
|
Santa Cruz de las Flores-Tala |
|
|
|
0.0 |
24.5 |
0.0 |
24.5 |
|
|
Santa Maria de los Angeles, Huacaxco-El jaguey |
|
|
0.0 |
30.0 |
0.0 |
30.0 |
||
|
Sayula-Tapalpa |
|
|
|
|
0.0 |
20.0 |
0.0 |
20.0 |
|
|
|
|
|
|
|
|
|
|
|
MÉXICO |
|
|
|
|
112.9 |
549.1 |
0.0 |
662.0 |
|
Acceso a Santo Domingo Aztacameca (Ampliación a 4
carriles) Tr: 9+250-10+250 |
0.0 |
10.0 |
0.0 |
10.0 |
||||
|
Ahuatenco-Colonia Campesina, San Antonio del
Progreso, Tr: Km 3+500-5+000 |
0.0 |
10.0 |
0.0 |
10.0 |
||||
|
Amanalco de Becerra-Valle de Bravo- Turcio |
|
|
0.0 |
1.5 |
0.0 |
1.5 |
||
|
Autopista (Toluca-Atlacomulco)-Santa Clara |
|
|
0.0 |
10.0 |
0.0 |
10.0 |
||
|
Barrio Las Ánimas Villeje-Mavoro E.C. 5.8
(Toluca-Palmillas) |
|
0.0 |
6.0 |
0.0 |
6.0 |
|||
|
Boulevard Chiahutla, Tr:
Boulevard Circuito Escolar, Tr: Km 0+000-1+171 |
|
0.0 |
15.0 |
0.0 |
15.0 |
|||
|
Camino Real San Jerónimo Xonacahuacán, Tecámac |
|
|
0.0 |
2.3 |
0.0 |
2.3 |
||
|
Camino: Km.49.9 |
|
12.8 |
0.0 |
0.0 |
12.8 |
|||
|
Carretera Libre (Toluca-Atlacomulco)-Barrio El Ruso |
|
|
0.0 |
10.0 |
0.0 |
10.0 |
||
|
Chapa de Mota Doxchicho-Jilotepec-Chapa de Mota |
|
|
0.0 |
2.5 |
0.0 |
2.5 |
||
|
Chapa de Mota, Tr: San Francisco de las Tablas, Tr:
Km 0+000-2+580 |
|
0.0 |
15.0 |
0.0 |
15.0 |
|||
|
Ciénega-Amola, San Isidro Amola, Ocuilan |
|
|
6.5 |
0.0 |
0.0 |
6.5 |
||
|
Circuito Mavoro-Casa Blanca |
|
|
|
0.0 |
15.0 |
0.0 |
15.0 |
|
|
Colonia Álvaro Obregón-Pueblo Nuevo |
|
|
0.0 |
10.0 |
0.0 |
10.0 |
||
|
Concepción-La Venta |
|
|
|
0.0 |
5.0 |
0.0 |
5.0 |
|
|
Conservación de Caminos Rurales |
|
|
|
24.0 |
0.0 |
0.0 |
24.0 |
|
|
Cuendo-San Lorenzo-Tlacotepec-E.C. Libramiento
Atlacomulco |
|
0.0 |
10.0 |
0.0 |
10.0 |
|||
|
E.C 14.8 (Ixtlahuaca-San Felipe del Progreso)-Santa
Ana |
0.0 |
10.0 |
0.0 |
10.0 |
||||
|
E.C. (San Felipe del Progreso-Carmona)-Rincón de los
Pirules |
|
0.0 |
10.0 |
0.0 |
10.0 |
|||
|
E.C. México 134 El Espino |
|
|
|
6.0 |
0.0 |
0.0 |
6.0 |
|
|
El Arco Cachi-Emiliano Zapata-San Ignacio El Pedregal |
|
|
0.0 |
10.0 |
0.0 |
10.0 |
||
|
El Quelite-Ramejé-Providencia |
|
|
|
0.0 |
10.0 |
0.0 |
10.0 |
|
|
El Quinte-Chapa de Mota |
|
|
|
0.0 |
10.0 |
0.0 |
10.0 |
|
|
Entr. Chapa de Mota-El Quinté Km 9.5, Tr: San Juan
Tuxtepec-San Antonio-El Membrillo del Km 0+000-5+740 y 500 mts, Entr.
Carretera |
0.0 |
15.0 |
0.0 |
15.0 |
||||
|
Estudios y Proyectos |
|
|
|
3.0 |
0.0 |
0.0 |
3.0 |
|
|
Ganzda-Santiago Oxtoc Toxhie-Carretera Panamericana |
|
0.0 |
10.0 |
0.0 |
10.0 |
|||
|
Guadalupe Chico-La Mesa-E.C. (Villa Victoria-El Oro) |
|
|
0.0 |
15.0 |
0.0 |
15.0 |
||
|
Jiquipilco El Viejo |
|
|
|
|
0.0 |
10.5 |
0.0 |
10.5 |
|
|
|
0.0 |
10.0 |
0.0 |
10.0 |
|||
|
|
0.0 |
10.0 |
0.0 |
10.0 |
||||
|
Libramiento Norte de Aculco |
|
|
|
0.0 |
5.0 |
0.0 |
5.0 |
|
|
Nepantla-Tlalamac y Ramal a Alotepec |
|
|
0.0 |
10.0 |
0.0 |
10.0 |
||
|
Ojo de Agua-Loma de Endare (Santa María Endare) |
|
|
0.0 |
5.0 |
0.0 |
5.0 |
||
|
Plan de San Miguel-Ixtapan de la Sal |
|
|
0.0 |
10.0 |
0.0 |
10.0 |
||
|
Providencia-Huemetla |
|
|
|
0.0 |
10.0 |
0.0 |
10.0 |
|
|
Puente San Lucas, ubicado en el Km 1+470 del Camino
Santo Tomás de las Flores-San Lucas-La Unión |
0.0 |
10.0 |
0.0 |
10.0 |
||||
|
Rosa Morada-E.C. (Toluca-Amanalco de Becerra) |
|
|
0.0 |
13.7 |
0.0 |
13.7 |
||
|
San Lucas del Maíz-San José de |
|
0.0 |
10.0 |
0.0 |
10.0 |
|||
|
San Francisco del Río-San Cristobal de los
Baños-Xalapa, Tr: Km 3+050-5+000 |
0.0 |
15.0 |
0.0 |
15.0 |
||||
|
San José Chalmita-San Miguel Actopan, Tenancingo |
|
|
0.0 |
10.0 |
0.0 |
10.0 |
||
|
San José El Cuartel-Santiago-Teresita Acatzingo,
Tenancingo |
|
7.8 |
2.5 |
0.0 |
10.3 |
|||
|
San Juan de las Tablas - Los Dolores - E.C. (Arcos
del Sitio) |
|
11.3 |
0.0 |
0.0 |
11.3 |
|||
|
San Juan El Temporal-Ramal San Bartolo |
|
|
0.0 |
15.0 |
0.0 |
15.0 |
||
|
San Lucas-Las Vigas |
|
|
|
0.0 |
10.0 |
0.0 |
10.0 |
|
|
San Lucas-San Martín Cuautlalpan-Santa María
Huexoluco, Calpuluac |
|
0.0 |
10.0 |
0.0 |
10.0 |
|||
|
San Martín Palmar de guadalupe-Pachuquilla-El
Zapote-Agua Dulce-Lím. Mpal. Zumpahuacan |
0.0 |
10.0 |
0.0 |
10.0 |
||||
|
San Miguel Temextepec-San Simón de la Laguna |
|
|
0.0 |
4.0 |
0.0 |
4.0 |
||
|
San Nicolás Peralta-El Espino |
|
|
|
10.0 |
0.0 |
0.0 |
10.0 |
|
|
San Pablo Tlalchichipan-San Francisco Tlalchichilpan |
|
|
0.0 |
10.0 |
0.0 |
10.0 |
||
|
Santa Catarina-La Capilla-Huitzizilapan |
|
|
0.0 |
6.0 |
0.0 |
6.0 |
||
|
Santa María Citendejé-Santiago Casandeje |
|
|
0.0 |
10.0 |
0.0 |
10.0 |
||
|
Soyaniquilpan, Camino Auditorio - Quinta Manzana
(Santa Cruz). |
|
15.5 |
0.0 |
0.0 |
15.5 |
|||
|
Soyaniquilpan, Camino clinica San Agustín Buenavista
- Xochitlán |
|
16.0 |
0.0 |
0.0 |
16.0 |
|||
|
Soyaniquilpan, Camino Ignacio Zaragoza-Los Encinos |
|
|
0.0 |
5.0 |
0.0 |
5.0 |
||
|
Soyaniquilpan, Camino |
|
|
0.0 |
5.0 |
0.0 |
5.0 |
||
|
Tejocotillos-Espino Peralta |
|
|
|
0.0 |
5.6 |
0.0 |
5.6 |
|
|
Tejocotillos-Santiago Tejocotillas |
|
|
|
0.0 |
2.0 |
0.0 |
2.0 |
|
|
Temascaltepec-Las Juntas |
|
|
|
0.0 |
11.5 |
0.0 |
11.5 |
|
|
Tenancingo-San Antonio Agua Bendita |
|
|
0.0 |
10.0 |
0.0 |
10.0 |
||
|
Camino al Chopo-Entr. Carretera Melchor
Ocampo-Zumpango |
|
0.0 |
3.0 |
0.0 |
3.0 |
|||
|
Libramiento Coatepec Tr: San Francisco-Coatepec,
Ixtapaluca |
|
0.0 |
10.0 |
0.0 |
10.0 |
|||
|
Ampliación y Pavimentación
Tonatico-Talacopan-Yautepec |
|
0.0 |
17.0 |
0.0 |
17.0 |
|||
|
Cabecera Municipal y San Juan del Cuervo |
|
|
0.0 |
15.0 |
0.0 |
15.0 |
||
|
Camino en Sultepec |
|
|
|
0.0 |
15.0 |
0.0 |
15.0 |
|
|
Onofre-Batahilotzingo |
|
|
|
0.0 |
5.5 |
0.0 |
5.5 |
|
|
Ramal Los Reyes-FFCC Tramo: Circuito Exterior
Mexiquense-Vialidad Mexiquense |
0.0 |
16.0 |
0.0 |
16.0 |
||||
|
San Simón-Rancho Viejo |
|
|
|
0.0 |
9.5 |
0.0 |
9.5 |
|
|
|
|
|
|
|
|
|
|
|
|
MICHOACÁN |
|
|
|
|
225.5 |
368.9 |
53.7 |
540.7 |
|
Conservación de Caminos Rurales |
|
|
|
30.0 |
0.0 |
0.0 |
30.0 |
|
|
Estudios y Proyectos |
|
|
|
8.5 |
0.0 |
0.0 |
8.5 |
|
|
Cd. Hidalgo-Maravatío |
|
|
|
30.0 |
0.0 |
0.0 |
30.0 |
|
|
Tacámbaro-Paso de Morelos |
|
|
|
29.9 |
0.0 |
14.9 |
15.0 |
|
|
Aguililla-Coalcoman |
|
|
|
52.1 |
0.0 |
15.8 |
36.3 |
|
|
Villa Victoria-Tehuantepec |
|
|
|
9.0 |
0.0 |
0.0 |
9.0 |
|
|
San Isidro-Cuamacuaro |
|
|
|
22.4 |
0.0 |
4.4 |
18.0 |
|
|
Libramiento Tepaltepec |
|
|
|
28.0 |
0.0 |
13.0 |
15.0 |
|
|
Tupataro (Mich.)-Piñicuaro (Gto.), Huandacareo
(Mich.)-Piñicuaro (Gto.) |
|
15.6 |
0.0 |
5.6 |
10.0 |
|||
|
Paso de la Virgen-El Olivo |
|
|
|
0.0 |
10.0 |
0.0 |
10.0 |
|
|
Cotija-Gallineros |
|
|
|
|
0.0 |
5.0 |
0.0 |
5.0 |
|
Puerto del Rayo-Las Gallinas-Los Puentes |
|
|
0.0 |
11.0 |
0.0 |
11.0 |
||
|
Uruapan-Sabino-San Marcos |
|
|
|
0.0 |
5.0 |
0.0 |
5.0 |
|
|
El Paraíso-Nueva Esperanza |
|
|
|
0.0 |
7.0 |
0.0 |
7.0 |
|
|
Camino Tierras Blancas-Santa María |
|
|
|
0.0 |
5.0 |
0.0 |
5.0 |
|
|
Circuito Turistico Lago Zirahuen |
|
|
|
0.0 |
13.1 |
0.0 |
13.1 |
|
|
Cojumatlán-El Nogal |
|
|
|
0.0 |
10.0 |
0.0 |
10.0 |
|
|
Camino Rincón de Zetina-Las Cuevas |
|
|
0.0 |
5.0 |
0.0 |
5.0 |
||
|
Camino Real de Otzumatlán-San José de la Cumbre |
|
|
0.0 |
3.0 |
0.0 |
3.0 |
||
|
Tepehuaje-Alzangarro |
|
|
|
0.0 |
4.0 |
0.0 |
4.0 |
|
|
Panindicuaro-El Fresno de la Reforma |
|
|
0.0 |
2.0 |
0.0 |
2.0 |
||
|
Churumuco-Poturo |
|
|
|
0.0 |
15.0 |
0.0 |
15.0 |
|
|
Ciudad Hidalgo-Casas Pintas; Cuitzillos-José María
Morelos; Tierras Coloradas-Puente de Tierra |
0.0 |
5.0 |
0.0 |
5.0 |
||||
|
El Oro-Tepetongo |
|
|
|
|
0.0 |
10.0 |
0.0 |
10.0 |
|
Camino Real de Otzumatlán-Milpillas |
|
|
|
0.0 |
10.0 |
0.0 |
10.0 |
|
|
San Pedro-Los Brasiles, Mpio San Lucas |
|
|
0.0 |
18.0 |
0.0 |
18.0 |
||
|
Curungueo-Donaciano Ojeda |
|
|
|
0.0 |
5.0 |
0.0 |
5.0 |
|
|
Zitácuaro-Curungueo-Loma Larga-Zitacuaro |
|
|
0.0 |
5.4 |
0.0 |
5.4 |
||
|
Uruapan-Santa Rosa-San Marcos |
|
|
|
0.0 |
24.5 |
0.0 |
24.5 |
|
|
Libramiento Venustiano Carranza |
|
|
|
0.0 |
9.6 |
0.0 |
9.6 |
|
|
E.C. Estatal ( |
|
0.0 |
10.0 |
0.0 |
10.0 |
|||
|
Las Letras-Casa Blanca |
|
|
|
0.0 |
6.5 |
0.0 |
6.5 |
|
|
Los Ranchos-Los Trojes |
|
|
|
0.0 |
8.0 |
0.0 |
8.0 |
|
|
Limón de Papatzingán-El Tepehuaje |
|
|
|
0.0 |
15.0 |
0.0 |
15.0 |
|
|
Uricho-Picharato |
|
|
|
|
0.0 |
12.0 |
0.0 |
12.0 |
|
Parácuaro-Jucutacato |
|
|
|
0.0 |
10.0 |
0.0 |
10.0 |
|
|
El Saus-El Tzintzun |
|
|
|
0.0 |
10.0 |
0.0 |
10.0 |
|
|
Libramiento Álvaro Obregón |
|
|
|
0.0 |
4.5 |
0.0 |
4.5 |
|
|
Fontezuelas-Chapultepec |
|
|
|
0.0 |
6.0 |
0.0 |
6.0 |
|
|
Churintzio-El Guayabo |
|
|
|
0.0 |
4.0 |
0.0 |
4.0 |
|
|
Tangamandapio-La Cantera |
|
|
|
0.0 |
6.0 |
0.0 |
6.0 |
|
|
Tafetan-Platanillo |
|
|
|
|
0.0 |
6.0 |
0.0 |
6.0 |
|
Las Pilas-La Estancia |
|
|
|
0.0 |
6.0 |
0.0 |
6.0 |
|
|
CBTA-Terrenates |
|
|
|
|
0.0 |
6.0 |
0.0 |
6.0 |
|
Copándaro-Susupuato |
|
|
|
0.0 |
6.0 |
0.0 |
6.0 |
|
|
Carácuaro-Cuitzillo |
|
|
|
0.0 |
6.0 |
0.0 |
6.0 |
|
|
Capire de Bravo-Acuyo |
|
|
|
0.0 |
6.0 |
0.0 |
6.0 |
|
|
Chilchota-Huecato |
|
|
|
0.0 |
3.5 |
0.0 |
3.5 |
|
|
Camino derrumbadero |
|
|
|
0.0 |
10.8 |
0.0 |
10.8 |
|
|
Periban Tancitaro |
|
|
|
|
0.0 |
15.0 |
0.0 |
15.0 |
|
Santa Rosa San Marcos |
|
|
|
0.0 |
21.0 |
0.0 |
21.0 |
|
|
Pavimentación de la calle Francisco I. Madero en la
comunidad de Patamban |
0.0 |
8.0 |
0.0 |
8.0 |
||||
|
|
|
|
|
|
|
|
|
|
|
MORELOS |
|
|
|
|
28.6 |
25.5 |
0.0 |
54.1 |
|
Conservación de Caminos Rurales |
|
|
|
6.0 |
0.0 |
0.0 |
6.0 |
|
|
Estudios y Proyectos |
|
|
|
2.6 |
0.0 |
0.0 |
2.6 |
|
|
Ramal a la Tigra |
|
|
|
|
0.0 |
8.0 |
0.0 |
8.0 |
|
Telixtac-Axochiapan |
|
|
|
4.5 |
0.0 |
0.0 |
4.5 |
|
|
Tlayacapan-Totolapan |
|
|
|
15.5 |
0.0 |
0.0 |
15.5 |
|
|
Remodelación Paseo Cuaunahuac |
|
|
|
0.0 |
17.5 |
0.0 |
17.5 |
|
|
|
|
|
|
|
|
|
|
|
|
NAYARIT |
|
|
|
|
390.3 |
200.0 |
100.0 |
490.3 |
|
Conservación de Caminos Rurales |
|
|
|
24.0 |
0.0 |
0.0 |
24.0 |
|
|
Estudios y Proyectos |
|
|
|
5.0 |
0.0 |
0.0 |
5.0 |
|
|
Huaristemba-Reforma Agraria, San Blas |
|
|
0.0 |
15.0 |
0.0 |
15.0 |
||
|
Jomulco-Los Aguajes |
|
|
|
34.3 |
0.0 |
0.0 |
34.3 |
|
|
Ruiz-Zacatecas (Tr: Jesús María-Lím. Edo.) |
|
|
0.0 |
60.0 |
0.0 |
60.0 |
||
|
Santa Cruz - San Andrés Santiago |
|
|
|
0.0 |
20.0 |
0.0 |
20.0 |
|
|
San Francisco I. Madero-Santiago Pochotitan-Aguapan |
|
|
0.0 |
20.0 |
0.0 |
20.0 |
||
|
San Juan de Abajo-Valle de Banderas |
|
|
25.0 |
0.0 |
0.0 |
25.0 |
||
|
San Pedro Ixcatlán-Jesús María |
|
|
|
180.0 |
0.0 |
80.0 |
100.0 |
|
|
Santa Fe-Agua Aceda-Ejido San Juan Corapan |
|
|
0.0 |
25.0 |
0.0 |
25.0 |
||
|
Santiago Ixcuintla - Paredones |
|
|
|
0.0 |
18.0 |
0.0 |
18.0 |
|
|
Tecuala-Milpas Viejas-Filo Huachochita |
|
|
2.0 |
0.0 |
0.0 |
2.0 |
||
|
Tepic-Aguascalientes, Tr: El Cajón-Lím. Edos.
Nay./Jal. |
|
120.0 |
0.0 |
20.0 |
100.0 |
|||
|
Bulevar Carretera 15 Acceso a Ixtlan del Río |
|
|
0.0 |
15.0 |
0.0 |
15.0 |
||
|
El Macho-Los Murillo |
|
|
|
0.0 |
7.1 |
0.0 |
7.1 |
|
|
Huajicori-San Andrés Milpillas |
|
|
|
0.0 |
19.9 |
0.0 |
19.9 |
|
|
|
|
|
|
|
|
|
|
|
|
NUEVO LEÓN |
|
|
|
|
270.7 |
416.8 |
25.0 |
662.5 |
|
Arramberry-Zaragoza |
|
|
|
0.0 |
13.0 |
0.0 |
13.0 |
|
|
China Méndez |
|
|
|
|
0.0 |
23.4 |
0.0 |
23.4 |
|
Conservación de Caminos Rurales |
|
|
|
12.0 |
0.0 |
0.0 |
12.0 |
|
|
Dieciocho de Marzo-Ciénega del Toro |
|
|
0.0 |
28.0 |
0.0 |
28.0 |
||
|
Dr. Arroyo-San Isidro de las Colonias |
|
|
0.0 |
36.0 |
0.0 |
36.0 |
||
|
Eje interestatal: Matehuala-Cd. Victoria,
Tr:Lím.Edos. S.L.P., N.L. Dr. Arroyo-E.C. El Carmen |
74.4 |
0.0 |
0.0 |
74.4 |
||||
|
Ejido San Isidro Lim de Edos N.L./Tam |
|
|
0.0 |
20.0 |
0.0 |
20.0 |
||
|
El Charquillo-San Ramón de Martínez |
|
|
0.0 |
10.0 |
0.0 |
10.0 |
||
|
El Goche-Emilio-Carranza |
|
|
|
23.7 |
0.0 |
0.0 |
23.7 |
|
|
Entr. Autopista Monterrey-Saltillo-Hacienda
Rinconada-Los Fierros García |
|
45.0 |
0.0 |
0.0 |
45.0 |
|||
|
Estudios y Proyectos |
|
|
|
6.6 |
18.4 |
0.0 |
25.0 |
|
|
Joya de Bocacelly-Lím. Edos. N.L. / Tamps. |
|
|
34.0 |
0.0 |
0.0 |
34.0 |
||
|
Las Catorce-Presa de Maltos |
|
|
|
0.0 |
8.0 |
0.0 |
8.0 |
|
|
Melchor Ocampo-Los Aldama |
|
|
|
0.0 |
20.0 |
0.0 |
20.0 |
|
|
Montemorelos-Entr. San Roberto |
|
|
|
75.0 |
0.0 |
25.0 |
50.0 |
|
|
Puente Vehicular s/Arroyo Topo Chico y Av. Arturo B.
de la Garza |
|
0.0 |
30.0 |
0.0 |
30.0 |
|||
|
Zaragoza - Tepozanes - El Refugio |
|
|
|
0.0 |
30.0 |
0.0 |
30.0 |
|
|
Paso superior vehicular Alfonso Reyes y Servicio
Postal |
|
0.0 |
140.0 |
0.0 |
140.0 |
|||
|
Puente Vehicular s/Arroyo Topo Chico y Montes
Berneses |
|
0.0 |
40.0 |
0.0 |
40.0 |
|||
|
|
|
|
|
|
|
|
|
|
|
OAXACA |
|
|
|
|
262.5 |
843.1 |
51.6 |
1,054.0 |
|
Acceso a Loma Bonita-Lím. Con Edo. De Ver. |
|
|
23.8 |
0.0 |
1.6 |
22.2 |
||
|
Acceso a Rancho Salinas |
|
|
|
0.0 |
8.0 |
0.0 |
8.0 |
|
|
Agencia |
|
|
|
0.0 |
15.0 |
0.0 |
15.0 |
|
|
Agua de Gancho-Cerro Zongolica |
|
|
|
0.0 |
10.0 |
0.0 |
10.0 |
|
|
Alvaro Obregón-San Pedro Huilotepec-Salina Cruz |
|
|
0.0 |
10.0 |
0.0 |
10.0 |
||
|
Amate Colorado-Zaragoza Itundujía |
|
|
|
0.0 |
15.0 |
0.0 |
15.0 |
|
|
Asunción Atoyaquillo-Putla Guerrero |
|
|
|
0.0 |
30.0 |
0.0 |
30.0 |
|
|
Boca del Perro-San Juan Teita |
|
|
|
0.0 |
10.0 |
0.0 |
10.0 |
|
|
Cazadero Arriba-Cerro Iguana |
|
|
|
0.0 |
15.0 |
0.0 |
15.0 |
|
|
Conservación de Caminos Rurales |
|
|
|
30.0 |
0.0 |
0.0 |
30.0 |
|
|
E.C. El Amate-Cozolapa-La Margarita-Tabacalera |
|
|
0.0 |
10.0 |
0.0 |
10.0 |
||
|
E.C. Santiago Chazumba-Salitrillo-Lunatitlán del
Progreso-San Juan Yuxtlahuaca-San José Chichihualtepec-Totoltepec de Guerrero
(Puebla)-Entr. San Juan Ixcaquixtla Acatlán de Osorio (Puebla) |
0.0 |
15.0 |
0.0 |
15.0 |
||||
|
E.C. Transismica-San Juan Guichicovi (Acceso a San
Juan Huichicovi (Rehabilitación) |
0.0 |
15.0 |
0.0 |
15.0 |
||||
|
Eje Miahuatlán-San Carlos Yautepec |
|
|
|
0.0 |
20.0 |
0.0 |
20.0 |
|
|
Eje Miahuatlán-San Pablo Coatlán-San Jerónimo
Coatlán-Piedra Larga-La Palma |
0.0 |
20.0 |
0.0 |
20.0 |
||||
|
El Paraiso-Santa María Tepata |
|
|
|
0.0 |
8.0 |
0.0 |
8.0 |
|
|
El Tapanco-San Vicente Piñas |
|
|
|
0.0 |
12.0 |
0.0 |
12.0 |
|
|
Entr. Tres Cruces de San Juan Mixtepec Distrito de
Tlaxiaco-San Juan Diquiyú |
0.0 |
10.0 |
0.0 |
10.0 |
||||
|
Estudios y Proyectos |
|
|
|
9.5 |
0.0 |
0.0 |
9.5 |
|
|
Ixtepec-Santiago Laollaga-Guevea de Humbold |
|
|
0.0 |
20.0 |
0.0 |
20.0 |
||
|
Jalapa de Diaz-San Felipe de Usila |
|
|
|
3.5 |
0.0 |
0.0 |
3.5 |
|
|
José María Morelos-El Potrero |
|
|
|
0.0 |
7.5 |
0.0 |
7.5 |
|
|
Km 263.1 E.C.(Tehuantepec-Juchitán)-Álvaro -Obregón |
|
|
0.0 |
30.7 |
0.0 |
30.7 |
||
|
Km 30+400 E.C. (Miahuatlán-San José Lachiguiri)-San
Andrés Mixtepec-Santa Catarina Quiaquitani y puentes Quioquitani y
Quioquitani II |
0.0 |
10.0 |
0.0 |
10.0 |
||||
|
Km 55+000 E.C.(San Pedro y San Pablo Ayutla)-Asunción
Cacalotepec-San Isidro Huayapan-Santa María Alotepec |
55.0 |
0.0 |
0.0 |
55.0 |
||||
|
Km 65+000 E.C. (Huajuapan de León-Tehuacán)-Trinidad
Huaxtepec-Acaquizapa-Joluxtla-Cosoltepec-Tultitlán de Guadalcazar-San Miguel
Ixtapan |
0.0 |
20.8 |
0.0 |
20.8 |
||||
|
Km 89+000 E.C. (Mitla-Zacatepec)-Santa María
Yacochi-Totontepec Villa de Morelos-Lím. Edos. De Veracruz |
50.0 |
0.0 |
20.0 |
30.0 |
||||
|
|
|
|
|
0.0 |
20.0 |
0.0 |
20.0 |
|
|
|
|
0.0 |
10.0 |
0.0 |
10.0 |
|||
|
Lachixova-Hondura Lucero |
|
|
|
0.0 |
8.1 |
0.0 |
8.1 |
|
|
Loma Bonita-E.C. (Tuxtepec-Palomares), Tr: km
11+300-35+000 |
|
7.0 |
0.0 |
0.0 |
7.0 |
|||
|
Los Llanos de Amuzgos-Santa María Ipalapa-Santa María
del Rincón |
|
0.0 |
10.0 |
0.0 |
10.0 |
|||
|
Mariscala-Santiago Tamazola-Santa Cruz de Bravo
Calihuala-Luz de Juárez |
0.0 |
10.0 |
0.0 |
10.0 |
||||
|
Mesones Hidalgo-El Carmen Tuxtitlan |
|
|
0.0 |
10.0 |
0.0 |
10.0 |
||
|
Nejapa de Madero-Santa Ana Tavela |
|
|
|
18.1 |
0.0 |
10.0 |
8.1 |
|
|
Nochixtlan-San Miguel Piedras del Km 19+500 al 23+240 |
|
0.0 |
15.0 |
0.0 |
15.0 |
|||
|
Ojite-Cuauhtémoc-Santa Cruz itundujía |
|
|
0.0 |
15.0 |
0.0 |
15.0 |
||
|
Puente Santiago Ixtayutla sobre Río Verde |
|
|
15.0 |
0.0 |
0.0 |
15.0 |
||
|
Puente Vehicular Santiago Ixtlayutla S/Río Verde |
|
|
0.0 |
15.0 |
0.0 |
15.0 |
||
|
Reconstrucción de camino acatlan-La Capilla |
|
|
0.0 |
10.0 |
0.0 |
10.0 |
||
|
Reforma-Nejapa |
|
|
|
|
0.0 |
15.0 |
0.0 |
15.0 |
|
San Felipe Tindaco-San Mateo Sindihui |
|
|
0.0 |
10.0 |
0.0 |
10.0 |
||
|
San José de las Flores-Santiago Ixtlayutla |
|
|
0.0 |
10.0 |
0.0 |
10.0 |
||
|
San Juan Mixtepec-Tejocotes-Santiago Juxtlahuaca |
|
|
0.0 |
15.0 |
0.0 |
15.0 |
||
|
San Martín del Estado-Santiago Yucuchachi |
|
|
0.0 |
10.0 |
0.0 |
10.0 |
||
|
San Martín-Distrito de Villa Silacayoapan |
|
|
0.0 |
15.0 |
0.0 |
15.0 |
||
|
San Mateo Etlaltongo-San Miguel Tecomatlán-San
Francisco Jaltepetongo-Km 89 Huajuapan, Oax. |
10.6 |
0.0 |
0.0 |
10.6 |
||||
|
San Miguel Ahuehuetitlán-San Juan Hihualtepec |
|
|
0.0 |
10.0 |
0.0 |
10.0 |
||
|
San Miguel El Grande-Cañana Morelos |
|
|
0.0 |
10.0 |
0.0 |
10.0 |
||
|
San Pablo Tijaltepec-Santa Catarina Ticua |
|
|
0.0 |
16.0 |
0.0 |
16.0 |
||
|
San Pedro Chayuco-Unión de los Ángeles |
|
|
0.0 |
15.0 |
0.0 |
15.0 |
||
|
San Pedro Ixtlahuaca-Atzompan |
|
|
|
0.0 |
10.0 |
0.0 |
10.0 |
|
|
San Pedro Mixtepec-Bajos de Chila |
|
|
|
0.0 |
10.0 |
0.0 |
10.0 |
|
|
San Pedro Toltila-San Felipe Jalapa de Díaz |
|
|
0.0 |
10.0 |
0.0 |
10.0 |
||
|
San Pedro y San Pablo Tequixtepec-Santa Catarina
Chinango |
|
0.0 |
15.0 |
0.0 |
15.0 |
|||
|
Santa Catarina Juquila-San Marcos Zacatepec |
|
|
0.0 |
30.0 |
0.0 |
30.0 |
||
|
Santa María Chilchotla-Monte Horeb |
|
|
|
0.0 |
10.0 |
0.0 |
10.0 |
|
|
Santa María Huatulco-Pluma Hidalgo-Copalita |
|
|
0.0 |
25.0 |
0.0 |
25.0 |
||
|
Santa María Nutio-Nuevo Progreso |
|
|
|
0.0 |
5.5 |
0.0 |
5.5 |
|
|
Santa María Zacatepec-San Antonio Atotonilco |
|
|
0.0 |
27.0 |
0.0 |
27.0 |
||
|
Santiago Ixtayutla, Tr: Santiago Jamiltepec-Santa
Elena Comaltepec-San José de las Flores |
0.0 |
15.0 |
0.0 |
15.0 |
||||
|
Santiago Naranjas-Lázaro Cárdenas-Santa María
Yuquinicoco |
|
0.0 |
8.0 |
0.0 |
8.0 |
|||
|
Santiago Tamazola-Santa Cruz de Bravo, Tr:Santa Cruz
de Bravo-Santa Bárbara Huacapa-El Zapote |
0.0 |
8.0 |
0.0 |
8.0 |
||||
|
Santiago Tilantongo-San Miguel Tecomatlán |
|
|
0.0 |
15.0 |
0.0 |
15.0 |
||
|
Santos Reyes Tepejillo-Mesón de Guadalupe |
|
|
0.0 |
0.0 |
0.0 |
0.0 |
||
|
Tamazulapan-Tepelmeme |
|
|
|
0.0 |
10.0 |
0.0 |
10.0 |
|
|
Tezoatlán de Segura y Luna-San Juan Diquiyú (Incluye
Puente "El Carrizal") |
0.0 |
17.0 |
0.0 |
17.0 |
||||
|
Tezoatlán de Segura y Luna-Santos Reyes Tepejillo-San
Juan Mixtepec-San Martín Itunyoso, Km 102+000 E.C. (Yucudaa-Pinotepa
Nacional) |
0.0 |
20.0 |
0.0 |
20.0 |
||||
|
Zaachila-C.B.T.A. 78-San Miguel Peras |
|
|
40.0 |
0.0 |
20.0 |
20.0 |
||
|
Bulevar Puerto Escondido |
|
|
|
0.0 |
12.0 |
0.0 |
12.0 |
|
|
Juquila-San Miguel Panixtlahuaca |
|
|
|
0.0 |
10.0 |
0.0 |
10.0 |
|
|
Puentes Vehiculares 1 y 2 sobre Río Grande y Arrollo
Las hoyas |
|
0.0 |
9.0 |
0.0 |
9.0 |
|||
|
Puente "Santa Bárbara Huacapa", Mpio. De
Silacayoapan |
|
0.0 |
7.0 |
0.0 |
7.0 |
|||
|
Puente Usila, Camino Jalapa de Diaz-San Felipe Usila |
|
|
0.0 |
3.5 |
0.0 |
3.5 |
||
|
Sant Cruz Mixtepec-San Bernardo Mixtepec |
|
|
0.0 |
5.0 |
0.0 |
5.0 |
||
|
|
|
|
|
|
|
|
|
|
|
PUEBLA |
|
|
|
|
355.6 |
655.7 |
117.1 |
894.2 |
|
(INTERSERRANA) ZACATLAN - AHUACATLAN - TEPANGO -
ZAPOTITLAN - XOCHITLAN - NAUZONTLA - |
0.0 |
30.0 |
0.0 |
30.0 |
||||
|
ACOCULCO - TRES CABEZAS |
|
|
|
0.0 |
19.5 |
0.0 |
19.5 |
|
|
AHUACATLAN - SAN LUCAS TEJALUCA |
|
|
0.0 |
9.5 |
0.0 |
9.5 |
||
|
AHUATEMPAN - ACATLAN DE OSORIO |
|
|
0.0 |
15.0 |
0.0 |
15.0 |
||
|
AHUAZOTEPEC - LAGUNA SECA |
|
|
0.0 |
7.0 |
0.0 |
7.0 |
||
|
AYOTOXCO - BUENA VISTA - SAN ANTONIO RAYON |
|
0.0 |
10.0 |
0.0 |
10.0 |
|||
|
CAÑADA DE COLOTLA - EL TEPETATE |
|
|
0.0 |
7.0 |
0.0 |
7.0 |
||
|
CHAPULTEPEC - AHUACATLAN |
|
|
|
0.0 |
10.0 |
0.0 |
10.0 |
|
|
CHAZUMBA - SAN JOSÉ RUJAPAN - SAN PEDRO ATZUMBA |
|
77.3 |
0.0 |
26.6 |
50.7 |
|||
|
CHIGNAHUAPAN - LLANO VERDE - PAREDON |
|
|
0.0 |
10.0 |
0.0 |
10.0 |
||
|
CONSERVACION DE CAMINOS RURALES |
|
|
30.0 |
0.0 |
0.0 |
30.0 |
||
|
CONSTRUCCIÓN DEL LIBRAMIENTO TEPEOJUMA-EPATLÁN (14.80
KM) |
0.0 |
38.0 |
0.0 |
38.0 |
||||
|
CUACNOPALAN - CAÑADA MORELOS |
|
|
41.0 |
0.0 |
16.0 |
25.0 |
||
|
CUETZALAN - MAZATEPEC |
|
|
|
30.0 |
0.0 |
5.0 |
25.0 |
|
|
E. C. (TECAMACHALCO - CAÑADA) - CUACNOPALAN - CUESTA
BLANCA - SANTA CATARINA LOS REYES Y RAMAL A CUESTA BLANCA |
0.0 |
10.0 |
0.0 |
10.0 |
||||
|
E.C. (EL SECO -AZUMBILLA) -PUERTA CAÑADA - LOS
GARCIAS -CUESTA BLANCA |
10.5 |
0.0 |
2.5 |
8.0 |
||||
|
E.C. (TENAMPULCO-EL PALMAR) - EL CHACAL |
|
|
0.0 |
7.2 |
0.0 |
7.2 |
||
|
E.C. KM 4.8 ( |
0.0 |
9.0 |
0.0 |
9.0 |
||||
|
E.C. KM.13.0 ( INTERMIXTECA ) - TEOPANTLAN -
HUEHUETLAN |
0.0 |
10.0 |
0.0 |
10.0 |
||||
|
EL PROGRESO - CUAUXOCOTA |
|
|
|
0.0 |
11.0 |
0.0 |
11.0 |
|
|
EL PROGRESO - YETLA - OLOMATLAN |
|
|
0.0 |
8.2 |
0.0 |
8.2 |
||
|
ESPERANZA - SAN JOSÉ CUYACHAPA |
|
|
0.0 |
5.0 |
0.0 |
5.0 |
||
|
ESTUDIOS Y PROYECTOS |
|
|
|
9.0 |
0.0 |
0.0 |
9.0 |
|
|
GUADALUPE VICTORIA - MARAVILLAS - GONZALEZ ORTEGA |
|
16.2 |
0.0 |
3.0 |
13.2 |
|||
|
IZUCAR - BARRANCA DEL MUERTO ( LÍMITE DE ESTADOS ) |
|
0.0 |
9.0 |
0.0 |
9.0 |
|||
|
LA CEIBA-LA UNION |
|
|
|
0.0 |
9.0 |
0.0 |
9.0 |
|
|
|
|
|
0.0 |
9.0 |
0.0 |
9.0 |
||
|
|
|
|
|
0.0 |
18.0 |
0.0 |
18.0 |
|
|
LAS MARGARITAS - ACATENO - TLAPACOYAN (PASO REAL) |
|
0.0 |
10.0 |
0.0 |
10.0 |
|||
|
LIBRAMIENTO SUR DE TECAMACHALCO |
|
|
57.0 |
0.0 |
27.0 |
30.0 |
||
|
LIBRAMIENTO ZACATLAN |
|
|
|
0.0 |
10.0 |
0.0 |
10.0 |
|
|
LIBRES - NUEVO MÉXICO |
|
|
|
0.0 |
5.0 |
0.0 |
5.0 |
|
|
LLANO VERDE - RINCONADA |
|
|
|
0.0 |
10.0 |
0.0 |
10.0 |
|
|
MANCUERNAS - XALTIPANAPA |
|
|
|
0.0 |
6.0 |
0.0 |
6.0 |
|
|
MAZATEPEC-AYOTOXCO DE GUERRERO (INCLUYE |
0.0 |
20.0 |
0.0 |
20.0 |
||||
|
MODERNIZACION ACUACO - HUEHUETLA, EN EL TRAMO ACUACO
EQUIMITA Y EQUIMITA - CUETZALAN |
0.0 |
58.0 |
0.0 |
58.0 |
||||
|
PUENTE MAZATEPEC |
|
|
|
0.0 |
14.0 |
0.0 |
14.0 |
|
|
PUENTE VEHICULAR ZACATEPEC - PIEDRAS ENCIMADAS |
|
0.0 |
6.0 |
0.0 |
6.0 |
|||
|
QUECHULAC - GUADALUPE VICTORIA |
|
|
0.0 |
8.5 |
0.0 |
8.5 |
||
|
QUIMIXTLAN-TOZIHUIC-HUAXCALECA |
|
|
0.0 |
10.0 |
0.0 |
10.0 |
||
|
RAMAL A HERMENEGILDO GALEANA - RANCHO NUEVO |
|
0.0 |
8.0 |
0.0 |
8.0 |
|||
|
RAMAL A SANTA ANA TELOXTOC |
|
|
35.0 |
0.0 |
15.0 |
20.0 |
||
|
SAN CRSITOBAL LOS NAVA - SAN MATEO PARRA |
|
0.0 |
5.0 |
0.0 |
5.0 |
|||
|
SAN FRANCISCO DE ASIS - E.C. MÉXICO-OAXACA |
|
0.0 |
8.0 |
0.0 |
8.0 |
|||
|
SAN JERONIMO XAYACATLAN - GABINO BARREDA |
|
0.0 |
10.0 |
0.0 |
10.0 |
|||
|
SAN JOSÉ CHIAPA - SAN JOSÉ OSUMBA |
|
|
0.0 |
5.0 |
0.0 |
5.0 |
||
|
SAN JOSÉ TETLA - PIAXTLA |
|
|
|
0.0 |
11.0 |
0.0 |
11.0 |
|
|
SAN JUAN ACATENO - COYOPOL |
|
|
0.0 |
10.0 |
0.0 |
10.0 |
||
|
SAN MATIAS TLALANCALECA - SAN FRANCISCO TLATLOC |
|
10.0 |
0.0 |
3.0 |
7.0 |
|||
|
SAN NICOLAS BUENOS AIRES - VENUSTIANO CARRANZA |
|
0.0 |
6.0 |
0.0 |
6.0 |
|||
|
SANTA MARIA COHETZALA - AYOCHUXTLA DE ZAPATA |
|
0.0 |
3.0 |
0.0 |
3.0 |
|||
|
TATOXCA - OYAMETEPEC |
|
|
|
0.0 |
9.0 |
0.0 |
9.0 |
|
|
TEHUITZINGO-LOS HORNOS DE ZARAGOZA-SAN PEDRO CUAYUCA |
0.0 |
10.0 |
0.0 |
10.0 |
||||
|
TEPEACA-PARDIÑAS-CUAUTINCHAN-ALMOLOYA |
|
0.0 |
10.5 |
0.0 |
10.5 |
|||
|
TEPETZINTLA- E.C. (ZACATLAN -
AHUACATLAN) |
|
|
0.0 |
10.0 |
0.0 |
10.0 |
||
|
TEPEYAC - LA PEDRERA |
|
|
|
0.0 |
8.0 |
0.0 |
8.0 |
|
|
TETELA-CUAUTEMPAN |
|
|
|
0.0 |
10.0 |
0.0 |
10.0 |
|
|
TETELOLOYA - SAN LORENZO |
|
|
|
0.0 |
7.0 |
0.0 |
7.0 |
|
|
TEXCAPA -TLAPACOYA |
|
|
|
39.6 |
0.0 |
19.0 |
20.6 |
|
|
TLAPACOYA - AHUACATLAYA |
|
|
|
0.0 |
20.0 |
0.0 |
20.0 |
|
|
TULCINGO DEL VALLE - SAN MIGUEL TLALTEPEXI - XIXINGO
DE LOS REYES |
0.0 |
11.8 |
0.0 |
11.8 |
||||
|
VILLA REAL - TEXOCUIXPAN |
|
|
|
0.0 |
10.0 |
0.0 |
10.0 |
|
|
XONACATLAN -GUADALUPE VICTORIA - BUENA VISTA DE
GUERRERO |
0.0 |
10.0 |
0.0 |
10.0 |
||||
|
METLATOYUCA-MECAPALAPA-EJIDO DOS PASOS |
|
0.0 |
5.5 |
0.0 |
5.5 |
|||
|
SAN PEDRO PETITLÁN SAN GABRIEL CHILAC |
|
|
0.0 |
13.0 |
0.0 |
13.0 |
||
|
XOCHITLÁN TODOS LOS SANTOS |
|
|
0.0 |
10.0 |
0.0 |
10.0 |
||
|
PUENTE VEHICULAR TOTOLTEPEC |
|
|
0.0 |
20.0 |
0.0 |
20.0 |
||
|
XICOTLAN-CHILA DE LA SAL |
|
|
|
0.0 |
3.0 |
0.0 |
3.0 |
|
|
ITZOTENO-E.C. PUEBLA-JALAPA |
|
|
0.0 |
3.0 |
0.0 |
3.0 |
||
|
|
|
|
|
|
|
|
|
|
|
QUERÉTARO |
|
|
|
|
51.7 |
382.6 |
0.0 |
434.3 |
|
Apartadero-Alamos-Llanos de Sta. Clara |
|
|
0.0 |
16.0 |
0.0 |
16.0 |
||
|
Boye-Pathe |
|
|
|
|
0.0 |
12.0 |
0.0 |
12.0 |
|
Camargo-Río Blanco |
|
|
|
0.0 |
15.0 |
0.0 |
15.0 |
|
|
Colón-Fuenteño |
|
|
|
|
0.0 |
10.0 |
0.0 |
10.0 |
|
Conca-La Florida |
|
|
|
|
0.0 |
10.0 |
0.0 |
10.0 |
|
Conservación de Caminos Rurales |
|
|
|
6.0 |
0.0 |
0.0 |
6.0 |
|
|
E.C. (Mojonera-El Aguacuate) |
|
|
|
0.0 |
10.0 |
0.0 |
10.0 |
|
|
E.C. (S.J.R.- Xilitla San Joaquín)-Maconi-Piñones |
|
|
0.0 |
15.0 |
0.0 |
15.0 |
||
|
E.C. (S.J.R.-Xilitla San Joaquín)-Maconi-Piñones |
|
|
27.7 |
0.0 |
0.0 |
27.7 |
||
|
El Lindero-El Portuguez |
|
|
|
0.0 |
15.0 |
0.0 |
15.0 |
|
|
El Zapote-Santa Bárbara |
|
|
|
0.0 |
10.0 |
0.0 |
10.0 |
|
|
Estudios y Proyectos |
|
|
|
3.0 |
0.0 |
0.0 |
3.0 |
|
|
Huimilpan-Taponas-Bravo |
|
|
|
0.0 |
10.0 |
0.0 |
10.0 |
|
|
Landa-Pacula |
|
|
|
|
0.0 |
10.0 |
0.0 |
10.0 |
|
Noria Nueva-Quintanares |
|
|
|
10.0 |
10.0 |
0.0 |
20.0 |
|
|
Ovejas-Apartadero |
|
|
|
0.0 |
13.0 |
0.0 |
13.0 |
|
|
Peñamiller-San Miguel Palmas-La Ordeña |
|
|
0.0 |
20.0 |
0.0 |
20.0 |
||
|
Purisima-San Juan Buenaventura |
|
|
|
0.0 |
15.0 |
0.0 |
15.0 |
|
|
San Ignacio-El Sauz |
|
|
|
0.0 |
9.0 |
0.0 |
9.0 |
|
|
Tolimán-Peñamiller |
|
|
|
0.0 |
10.0 |
0.0 |
10.0 |
|
|
Villa Progreso-Sombrerete |
|
|
|
0.0 |
7.0 |
0.0 |
7.0 |
|
|
Zapote-Higuerillas |
|
|
|
|
0.0 |
15.0 |
0.0 |
15.0 |
|
Zituni-San Martín Florida |
|
|
|
0.0 |
5.0 |
0.0 |
5.0 |
|
|
Zituní-San Martín Florida |
|
|
|
5.0 |
0.0 |
0.0 |
5.0 |
|
|
Camino E.C. San Joaquín-Los Juárez |
|
|
0.0 |
6.3 |
0.0 |
6.3 |
||
|
Camino el Madroño-Tres Lagunas |
|
|
|
0.0 |
15.0 |
0.0 |
15.0 |
|
|
Camino pavimentado cabecera municipal- La Botija |
|
|
0.0 |
8.8 |
0.0 |
8.8 |
||
|
Camino pavimentado Tramo E.C. Rincón de Agua Buena-
San Miguel |
|
0.0 |
20.0 |
0.0 |
20.0 |
|||
|
Entronque Av. Corregidora y Bulevar Bernardo Quintana |
|
0.0 |
50.0 |
0.0 |
50.0 |
|||
|
Entronque Av. Universidad y Blv Bernardo Quintana |
|
|
0.0 |
25.0 |
0.0 |
25.0 |
||
|
Puente vehicular Vialidad Juárez-Luis Romero Soto |
|
|
0.0 |
13.0 |
0.0 |
13.0 |
||
|
Santa Fe a las Vías del Ferrocarril |
|
|
|
0.0 |
7.5 |
0.0 |
7.5 |
|
|
|
|
|
|
|
|
|
|
|
|
QUINTANA ROO |
|
|
|
70.0 |
296.0 |
0.0 |
366.0 |
|
|
Cancún-Isla Blanca, 1ra. Etapa |
|
|
|
0.0 |
50.0 |
0.0 |
50.0 |
|
|
Caobas-Arroyo Negro |
|
|
|
0.0 |
60.0 |
0.0 |
60.0 |
|
|
Conservación de Caminos Rurales |
|
|
|
12.0 |
0.0 |
0.0 |
12.0 |
|
|
Dziuche-Tihosuco |
|
|
|
|
15.0 |
30.0 |
0.0 |
45.0 |
|
E.C.F. Chetumal-Escárcega-Tomás Garrido-Dos Aguadas |
|
0.0 |
15.0 |
0.0 |
15.0 |
|||
|
Estudios y Proyectos |
|
|
|
3.0 |
0.0 |
0.0 |
3.0 |
|
|
Ideal-Kantunilkin |
|
|
|
|
40.0 |
20.0 |
0.0 |
60.0 |
|
Libramiento Leona Vicario |
|
|
|
0.0 |
21.0 |
0.0 |
21.0 |
|
|
Perimetral de Cozumel |
|
|
|
0.0 |
50.0 |
0.0 |
50.0 |
|
|
Ucum-La Unión |
|
|
|
|
0.0 |
50.0 |
0.0 |
50.0 |
|
|
|
|
|
|
|
|
|
|
|
SAN LUIS POTOSI |
|
|
|
170.3 |
215.7 |
0.0 |
386.0 |
|
|
Aquismón-El Saucito |
|
|
|
0.0 |
30.0 |
0.0 |
30.0 |
|
|
Camino Antiguo a Santa María-16 de septiembre |
|
|
0.0 |
4.2 |
0.0 |
4.2 |
||
|
Cañas-Ignacio Allende |
|
|
|
8.5 |
0.0 |
0.0 |
8.5 |
|
|
Cd. Valles-Chantol-Las Huertas |
|
|
|
68.0 |
0.0 |
0.0 |
68.0 |
|
|
Conservación de Caminos Rurales |
|
|
|
30.0 |
0.0 |
0.0 |
30.0 |
|
|
Estudios y Proyectos |
|
|
|
5.0 |
0.0 |
0.0 |
5.0 |
|
|
Puente El Detalle |
|
|
|
|
0.0 |
2.0 |
0.0 |
2.0 |
|
Puente La Lagartija |
|
|
|
58.8 |
0.0 |
0.0 |
58.8 |
|
|
Retroceso-Barrio Progreso |
|
|
|
0.0 |
18.9 |
0.0 |
18.9 |
|
|
San José del Grito-Las Cruces-Yoliatl-San Francisco |
|
|
0.0 |
16.1 |
0.0 |
16.1 |
||
|
Xilitla-Plan de Juárez-El Sabino |
|
|
|
0.0 |
22.5 |
0.0 |
22.5 |
|
|
Aquismon-Tampaxal |
|
|
|
0.0 |
5.0 |
0.0 |
5.0 |
|
|
Camino San Ciro de Acosta-La Tinaja- Corral Quemado |
|
|
0.0 |
21.0 |
0.0 |
21.0 |
||
|
Prolongación Boulevard Río Santiago del Km 0+000 al
4+500 |
|
0.0 |
18.5 |
0.0 |
18.5 |
|||
|
Santa anita a Palo de Arco |
|
|
|
0.0 |
15.0 |
0.0 |
15.0 |
|
|
Tamazunchale-Tezapotla |
|
|
|
0.0 |
15.0 |
0.0 |
15.0 |
|
|
Tampaxal a Solmon |
|
|
|
0.0 |
11.0 |
0.0 |
11.0 |
|
|
Tlamanchilocuitl Taman a El Banco Xihuaso |
|
|
0.0 |
16.5 |
0.0 |
16.5 |
||
|
Puente Interestatal Matehuala-Dr Arroyo |
|
|
0.0 |
20.0 |
0.0 |
20.0 |
||
|
|
|
|
|
|
|
|
|
|
|
SINALOA |
|
|
|
|
247.8 |
318.0 |
50.0 |
515.8 |
|
Badiguarato-Santiago Caballeros |
|
|
|
50.0 |
0.0 |
0.0 |
50.0 |
|
|
Calle 5, Tr. E.C. Int. México 15 - Calle 300 |
|
|
0.0 |
10.0 |
0.0 |
10.0 |
||
|
Calle 800, Tr. Ejido Revolución Mexicana - Carrizo -
El Fuerte |
|
0.0 |
7.0 |
0.0 |
7.0 |
|||
|
Calle 9, Tr: Entr. Carretera Internacional No.
15-Entr. Calle 100 |
|
0.0 |
10.0 |
0.0 |
10.0 |
|||
|
Choix-Lím. Edos. Sin./Chih. |
|
|
|
40.0 |
0.0 |
0.0 |
40.0 |
|
|
Conservación de Caminos Rurales |
|
|
|
24.0 |
0.0 |
10.0 |
14.0 |
|
|
E.C. Cruz Segunda-Guadalupe Victoria |
|
|
0.0 |
10.0 |
0.0 |
10.0 |
||
|
E.C. El Fuerte - Chinobambo |
|
|
|
0.0 |
10.0 |
0.0 |
10.0 |
|
|
E.C. Int. México 15-Francisco Serrano-Estación
Capomas |
|
0.0 |
20.0 |
0.0 |
20.0 |
|||
|
E.C. Internacional México 15-Batamote |
|
|
0.0 |
7.0 |
0.0 |
7.0 |
||
|
E.C. Internacional México 15-Cosala |
|
|
0.0 |
30.0 |
0.0 |
30.0 |
||
|
E.C. Internacional México 15-El Tamarindo |
|
|
0.0 |
20.0 |
0.0 |
20.0 |
||
|
E.C. Internacional México 15-Est. Abuya |
|
|
0.0 |
15.0 |
0.0 |
15.0 |
||
|
E.C. Internacional México 15-Las Tapias |
|
|
0.0 |
15.0 |
0.0 |
15.0 |
||
|
E.C. Internacional México 15-Monteverde, Culiacan |
|
|
0.0 |
14.0 |
0.0 |
14.0 |
||
|
E.C. La Florida-Quila |
|
|
|
0.0 |
15.0 |
0.0 |
15.0 |
|
|
El Dorado-El Salado |
|
|
|
0.0 |
40.0 |
0.0 |
40.0 |
|
|
El Ranchito-Costa Rica |
|
|
|
14.0 |
0.0 |
0.0 |
14.0 |
|
|
Entr. Carretera México 15-Ensenada, Tr:
Elota-Ensenada |
|
0.0 |
15.0 |
0.0 |
15.0 |
|||
|
Estudios y Proyectos |
|
|
|
9.0 |
0.0 |
0.0 |
9.0 |
|
|
|
|
|
0.0 |
25.0 |
0.0 |
25.0 |
||
|
Playa Segunda - Est. Naranjo - E.C. Sinaloa de Leyva |
|
|
0.0 |
15.0 |
0.0 |
15.0 |
||
|
Portaceli-Cruz de Navito-Culiacan |
|
|
|
0.0 |
10.0 |
0.0 |
10.0 |
|
|
Potrerrillos - Matadero |
|
|
|
0.0 |
10.0 |
0.0 |
10.0 |
|
|
Puente Vado:Acatitlán sobre Río Elotla |
|
|
10.0 |
0.0 |
0.0 |
10.0 |
||
|
San Ignacio-Lím. Edos. Sin./Dgo., Tr: Tepehuajes-Lím.
Edos. Sinaloa/Dgo.-Tayoltita |
20.8 |
0.0 |
0.0 |
20.8 |
||||
|
Topolobampo-Choix, Tr: San Blas-El Fuerte-Choix |
|
|
60.0 |
0.0 |
40.0 |
20.0 |
||
|
Valle de Huyaqui-La Compuerta |
|
|
|
20.0 |
0.0 |
0.0 |
20.0 |
|
|
E.C. Internacional México 15-Aguage de Castilla |
|
|
0.0 |
8.0 |
0.0 |
8.0 |
||
|
E.C. Internacional México 15-Abalito del Tubo |
|
|
0.0 |
10.0 |
0.0 |
10.0 |
||
|
E.C. Internacional México 15-Los Zapotes |
|
|
0.0 |
2.0 |
0.0 |
2.0 |
||
|
|
|
|
|
|
|
|
|
|
|
SONORA |
|
|
|
|
539.5 |
365.0 |
0.0 |
904.5 |
|
Conservación de Caminos Rurales |
|
|
|
30.0 |
0.0 |
0.0 |
30.0 |
|
|
Estudios y Proyectos |
|
|
|
9.7 |
0.0 |
0.0 |
9.7 |
|
|
Nogales-Santa Cruz |
|
|
|
55.8 |
0.0 |
0.0 |
55.8 |
|
|
Costera de Sonora, El Desemboque-Puerto Libertad |
|
|
80.0 |
30.0 |
0.0 |
110.0 |
||
|
Ures-Rayón |
|
|
|
|
48.8 |
0.0 |
0.0 |
48.8 |
|
|
|
|
|
30.0 |
0.0 |
0.0 |
30.0 |
|
|
El Coyote-Becadéhuachi-Nácori Chico |
|
|
175.0 |
0.0 |
0.0 |
175.0 |
||
|
E.C. Hermosillo-Sahuaripa-Soyopa-E.C.
Hermosillo-Yecora |
|
110.3 |
0.0 |
0.0 |
110.3 |
|||
|
Ampliacion del Boulevar Camino del Seri |
|
|
0.0 |
90.0 |
0.0 |
90.0 |
||
|
Bacoachi-La valdeza-La Pera |
|
|
|
0.0 |
47.0 |
0.0 |
47.0 |
|
|
Modernización Calle 26-Bulevar Quiroga (Hermosillo) |
|
|
0.0 |
10.0 |
0.0 |
10.0 |
||
|
Nahuibampo-San Juan-Cejaqui |
|
|
|
0.0 |
48.0 |
0.0 |
48.0 |
|
|
Vialidad Yaqui-Mayo |
|
|
|
0.0 |
140.0 |
0.0 |
140.0 |
|
|
|
|
|
|
|
|
|
|
|
|
TABASCO |
|
|
|
|
41.7 |
262.0 |
10.0 |
293.7 |
|
Acachapan y Colmena, Tr: Acachapan y Colmena 3ra,
Acachapan y Colmena 4ta, Acachapan y Colmena 5ta. |
0.0 |
20.0 |
1.0 |
19.0 |
||||
|
Barrial-Paso de |
|
|
0.0 |
20.0 |
1.0 |
19.0 |
||
|
Bellote-Jalapita-Sta. Cruz (Paraiso-Centla) |
|
|
0.0 |
20.0 |
1.0 |
19.0 |
||
|
Boca del Río Chico-Boca de San Antonio |
|
|
7.7 |
0.0 |
0.0 |
7.7 |
||
|
Cd. Pémex-Monte Grande (Macuspana-Jonuta) |
|
|
0.0 |
25.0 |
1.0 |
24.0 |
||
|
Conservación de Caminos Rurales |
|
|
|
24.0 |
0.0 |
1.0 |
23.0 |
|
|
E. Zapata-Tenosique, Tr: E. Zapata E.C. (Sitio
Arqueológico de Pomona) |
|
7.0 |
0.0 |
0.0 |
7.0 |
|||
|
E.C. (Jalapa-Tacotalpa)-Guanal 1ra Secc. |
|
|
0.0 |
12.0 |
0.0 |
12.0 |
||
|
E.C. (Zapata-Tenosique) Km 21+000-Pocvicuc |
|
|
0.0 |
6.0 |
0.0 |
6.0 |
||
|
Estudios y Proyectos |
|
|
|
3.0 |
0.0 |
0.0 |
3.0 |
|
|
EWO-Apatzingán |
|
|
|
|
0.0 |
20.0 |
1.0 |
19.0 |
|
Francisco Javier Mina-Allende Bajo 1ra |
|
|
0.0 |
20.0 |
1.0 |
19.0 |
||
|
Jalapa-Microondas-Chichonal-Belén, Tr: Jalapa-Macuspana |
|
0.0 |
15.0 |
0.0 |
15.0 |
|||
|
NCP Benito Juárez-Sánchez Mármol |
|
|
0.0 |
20.0 |
1.0 |
19.0 |
||
|
Tacotalpa-Lomas Alegres-Castañal, Tr: Pochitocal
2da.-Lomas Alegres-Castañal |
0.0 |
15.0 |
0.0 |
15.0 |
||||
|
Villahermosa-Nacajuja-Jalpa de Méndez, Tr: Jalpa de
Méndez-Vía Corta Cunduacán |
0.0 |
20.0 |
1.0 |
19.0 |
||||
|
W75 Tr: Norte 13 a Norte 20 |
|
|
|
0.0 |
20.0 |
1.0 |
19.0 |
|
|
Zapatero-Jonuta (Reconstrucción) |
|
|
|
0.0 |
10.0 |
0.0 |
10.0 |
|
|
Camino a Palankan |
|
|
|
0.0 |
12.0 |
0.0 |
12.0 |
|
|
Tulipan Poblado-Carlos Rubirosa |
|
|
|
0.0 |
7.0 |
0.0 |
7.0 |
|
|
|
|
|
|
|
|
|
|
|
|
TAMAULIPAS |
|
|
|
|
192.5 |
599.0 |
105.1 |
686.4 |
|
Altamira-Nuevo Progreso |
|
|
|
0.0 |
360.0 |
0.0 |
360.0 |
|
|
Burgos-Linares |
|
|
|
|
0.0 |
30.0 |
0.0 |
30.0 |
|
Conservación de Caminos Rurales |
|
|
|
24.0 |
0.0 |
5.1 |
18.9 |
|
|
E.C. Tampico-Mante Km 62-Santa Juana |
|
|
0.0 |
45.0 |
0.0 |
45.0 |
||
|
Eje Interregional Matehuala-Cd. Victoria, Tr:
Palmillas-Miquihuana |
|
150.0 |
0.0 |
100.0 |
50.0 |
|||
|
Estudios y Proyectos |
|
|
|
8.5 |
0.0 |
0.0 |
8.5 |
|
|
Matamoros-Mezquital |
|
|
|
0.0 |
50.0 |
0.0 |
50.0 |
|
|
Tula-Santa ana de Nahola |
|
|
|
0.0 |
10.0 |
0.0 |
10.0 |
|
|
Valadeces Lucio Blanco |
|
|
|
10.0 |
4.0 |
0.0 |
14.0 |
|
|
Vista Hermosa-El Costeño |
|
|
|
0.0 |
100.0 |
0.0 |
100.0 |
|
|
|
|
|
|
|
|
|
|
|
|
TLAXCALA |
|
|
|
|
70.0 |
184.0 |
0.0 |
254.0 |
|
Aldama-Españita |
|
|
|
|
0.0 |
7.0 |
0.0 |
7.0 |
|
Benito Juárez - Carrillo Puerto - Altzayanca, Tramo:
Carrillo Puerto - Altzayanca |
0.0 |
10.0 |
0.0 |
10.0 |
||||
|
Buenavista-Tepeyahualco-Lagunillas |
|
|
|
20.0 |
0.0 |
0.0 |
20.0 |
|
|
Buenavista-Tezoyo |
|
|
|
0.0 |
20.0 |
0.0 |
20.0 |
|
|
Camino a |
|
|
0.0 |
12.0 |
0.0 |
12.0 |
||
|
Colonia Aurora, Tlax.-Panotla de Xicoténcatl, Pue. |
|
|
29.0 |
0.0 |
0.0 |
29.0 |
||
|
Conservación de Caminos Rurales |
|
|
|
6.0 |
0.0 |
0.0 |
6.0 |
|
|
Consolidación y mejoramiento de vialidades rurales en
Apizaco |
|
0.0 |
35.2 |
0.0 |
35.2 |
|||
|
El Capulín-El molino-La Lima-Fco. I Madero-Fco. Villa
Tecoac |
|
10.0 |
0.0 |
0.0 |
10.0 |
|||
|
Estudios y Proyectos |
|
|
|
5.0 |
0.0 |
0.0 |
5.0 |
|
|
Insurgentes, Barrio de Xolalpa |
|
|
|
0.0 |
5.0 |
0.0 |
5.0 |
|
|
Mazaquiahuac-Graciano Sánchez-San José,
Tlaxcala-Zacatelco |
|
0.0 |
10.0 |
0.0 |
10.0 |
|||
|
Tetla - E.C. (Chautzingo - |
|
|
|
0.0 |
12.0 |
0.0 |
12.0 |
|
|
Tizatlán-E.C. San Matías-Tlacocalpan |
|
|
0.0 |
10.0 |
0.0 |
10.0 |
||
|
Tlacomulco-El Alto |
|
|
|
0.0 |
5.0 |
0.0 |
5.0 |
|
|
Cuapiaxtla-Col. Manuel Avila Camacho y Col. Loma
Bonita |
|
0.0 |
6.3 |
0.0 |
6.3 |
|||
|
Lazaro Cardenas-San Jose |
|
|
|
0.0 |
6.1 |
0.0 |
6.1 |
|
|
San Jose Teacalco-Guadalupe Tlaxco |
|
|
0.0 |
6.2 |
0.0 |
6.2 |
||
|
Circuito Terrenate |
|
|
|
0.0 |
19.2 |
0.0 |
19.2 |
|
|
Camino Real Tlaxcala-Totolac |
|
|
|
0.0 |
20.0 |
0.0 |
20.0 |
|
|
|
|
|
|
|
|
|
|
|
|
VERACRUZ |
|
|
|
|
19.2 |
1,055.4 |
3.0 |
1,071.6 |
|
Estudios y Proyectos |
|
|
|
4.2 |
0.0 |
0.0 |
4.2 |
|
|
El Diamante-E.C.(Úrsulo Galván-Arroyo Grande),
Incluye Ramal a Úrsulo Galván |
0.0 |
20.0 |
0.0 |
20.0 |
||||
|
Atzacan-Contla |
|
|
|
|
0.0 |
40.0 |
0.0 |
40.0 |
|
Paso Superior Tamaca |
|
|
|
0.0 |
40.0 |
0.0 |
40.0 |
|
|
Distribuidor Vial Dos Caminos |
|
|
|
0.0 |
100.0 |
0.0 |
100.0 |
|
|
Costero Huasteco |
|
|
|
0.0 |
15.0 |
0.0 |
15.0 |
|
|
Rafael Calería-Cerro del Gallero |
|
|
|
0.0 |
10.0 |
0.0 |
10.0 |
|
|
PSV E.C. Carretera Córdoba-Veracruz |
|
|
0.0 |
10.0 |
0.0 |
10.0 |
||
|
PSV Santa Fe |
|
|
|
|
0.0 |
30.0 |
0.0 |
30.0 |
|
PSV Villarín |
|
|
|
|
0.0 |
20.0 |
0.0 |
20.0 |
|
Puente El Jicacal |
|
|
|
|
0.0 |
30.0 |
0.0 |
30.0 |
|
Puente Capoacán |
|
|
|
|
0.0 |
100.0 |
0.0 |
100.0 |
|
Puente Aguascalientes |
|
|
|
0.0 |
30.0 |
0.0 |
30.0 |
|
|
Texistepec-San Lorenzo |
|
|
|
0.0 |
10.0 |
0.0 |
10.0 |
|
|
Tlapacoyan-Plan de Arroyos |
|
|
|
15.0 |
0.0 |
3.0 |
12.0 |
|
|
El Palmar-Monte de Oro-J. Guadalupe Rodríguez |
|
|
0.0 |
9.0 |
0.0 |
9.0 |
||
|
Puente El Zetal |
|
|
|
|
0.0 |
8.0 |
0.0 |
8.0 |
|
Palo Amarillo-Cabecera Municipal |
|
|
|
0.0 |
6.0 |
0.0 |
6.0 |
|
|
Coyolillo-Omiquila |
|
|
|
0.0 |
3.0 |
0.0 |
3.0 |
|
|
El Retache-La Trinidad-Tanceme |
|
|
|
0.0 |
9.0 |
0.0 |
9.0 |
|
|
Tempoal-Pochuco-Corozal |
|
|
|
0.0 |
9.0 |
0.0 |
9.0 |
|
|
Chiconquiaco-La Sombra |
|
|
|
0.0 |
30.0 |
0.0 |
30.0 |
|
|
Puente Xoltepec |
|
|
|
|
0.0 |
6.0 |
0.0 |
6.0 |
|
Hipólito Landero-La Virgen |
|
|
|
0.0 |
9.0 |
0.0 |
9.0 |
|
|
Capoacán-La Breña |
|
|
|
0.0 |
10.0 |
0.0 |
10.0 |
|
|
Rancho Nuevo-El Centenario |
|
|
|
0.0 |
10.0 |
0.0 |
10.0 |
|
|
Puente Zapoapan |
|
|
|
|
0.0 |
10.0 |
0.0 |
10.0 |
|
Acceso a Mandinga |
|
|
|
0.0 |
3.0 |
0.0 |
3.0 |
|
|
Naranjos-Chontla |
|
|
|
|
0.0 |
15.0 |
0.0 |
15.0 |
|
La Florida-Las Pasas |
|
|
|
0.0 |
9.0 |
0.0 |
9.0 |
|
|
Ojite-San Miguel |
|
|
|
|
0.0 |
6.0 |
0.0 |
6.0 |
|
|
|
|
0.0 |
10.0 |
0.0 |
10.0 |
||
|
Pajapan-Cerritos |
|
|
|
|
0.0 |
9.0 |
0.0 |
9.0 |
|
Tuxpan-Tamiahua |
|
|
|
|
0.0 |
10.0 |
0.0 |
10.0 |
|
Chocamán-Tetla-Xocotla |
|
|
|
0.0 |
9.0 |
0.0 |
9.0 |
|
|
Lázaro Cárdenas-Villa Alta |
|
|
|
0.0 |
3.0 |
0.0 |
3.0 |
|
|
Candelaría Bote en Bote-Piedras Negras |
|
|
0.0 |
6.0 |
0.0 |
6.0 |
||
|
Atzacan-Orizaba |
|
|
|
|
0.0 |
6.0 |
0.0 |
6.0 |
|
Aquila-Cumbres de Aquila |
|
|
|
0.0 |
6.0 |
0.0 |
6.0 |
|
|
Puente en el Camino E.C. (Chapopote-Llano de En
Medio)-Aguacate Vinazco |
0.0 |
10.0 |
0.0 |
10.0 |
||||
|
Puente El Cabellal |
|
|
|
0.0 |
3.0 |
0.0 |
3.0 |
|
|
Puente km 0+400 del camino Solís de Allende-Bejucal
Jiménez |
|
0.0 |
3.0 |
0.0 |
3.0 |
|||
|
Puente La Lima |
|
|
|
|
0.0 |
20.0 |
0.0 |
20.0 |
|
Puente El Terrero |
|
|
|
|
0.0 |
9.0 |
0.0 |
9.0 |
|
San Isidro-Xocotepec |
|
|
|
0.0 |
3.0 |
0.0 |
3.0 |
|
|
San Isidro-Ocotepec |
|
|
|
0.0 |
3.0 |
0.0 |
3.0 |
|
|
Sonzapotes-Manuel Ávila Camacho |
|
|
|
0.0 |
9.0 |
0.0 |
9.0 |
|
|
Cinco Palos-Consolapa |
|
|
|
0.0 |
9.0 |
0.0 |
9.0 |
|
|
Puente Santa Rosa |
|
|
|
0.0 |
9.0 |
0.0 |
9.0 |
|
|
Plan de Arroyos-Las Truchas |
|
|
|
0.0 |
9.0 |
0.0 |
9.0 |
|
|
Dos Aguas-Zapotitlán |
|
|
|
0.0 |
9.0 |
0.0 |
9.0 |
|
|
Coetzala-Coetzapotitla |
|
|
|
0.0 |
9.0 |
0.0 |
9.0 |
|
|
Poblado Dos-Poblado Tres |
|
|
|
0.0 |
9.0 |
0.0 |
9.0 |
|
|
Libertad-San Pedro Tepozoteco |
|
|
|
0.0 |
9.0 |
0.0 |
9.0 |
|
|
Los Berros-Zoncolco |
|
|
|
0.0 |
6.0 |
0.0 |
6.0 |
|
|
Cazones-La Encantada |
|
|
|
0.0 |
15.0 |
0.0 |
15.0 |
|
|
Brecha |
|
|
0.0 |
15.0 |
0.0 |
15.0 |
||
|
Cuichapa-La Patrona-Amatlan-Córdoba |
|
|
0.0 |
15.0 |
0.0 |
15.0 |
||
|
Cuitlahuac-Arroyo Azul |
|
|
|
0.0 |
9.0 |
0.0 |
9.0 |
|
|
El Cedro-Carretera Federal Papantla-Gutierrez Zamora |
|
|
0.0 |
10.0 |
0.0 |
10.0 |
||
|
Cinco de Mayo-Insurgentes Socialistas |
|
|
0.0 |
10.0 |
0.0 |
10.0 |
||
|
Zentla-Cuatro Caminos |
|
|
|
0.0 |
10.0 |
0.0 |
10.0 |
|
|
Actopan-Cerro Gordo-Vista Hermosa |
|
|
|
0.0 |
10.0 |
0.0 |
10.0 |
|
|
Otapa-Cinco de Mayo |
|
|
|
0.0 |
10.0 |
0.0 |
10.0 |
|
|
Tatahuicapan-Benigno Mendoza-Perla del Golfo |
|
|
0.0 |
10.0 |
0.0 |
10.0 |
||
|
E.C. Fed. 180-Llano de Bustos |
|
|
|
0.0 |
4.4 |
0.0 |
4.4 |
|
|
Puente Playa Hermosa sobre el Canal del Chijol |
|
|
0.0 |
10.0 |
0.0 |
10.0 |
||
|
E. C. (Mariano Escobedo-Loma Grande)- El Berro |
|
|
0.0 |
9.0 |
0.0 |
9.0 |
||
|
Cuitlahuac-Mesa Chica-Rancho Viejo |
|
|
0.0 |
10.0 |
0.0 |
10.0 |
||
|
Alpatlahuac-Coscomatepec |
|
|
|
0.0 |
5.0 |
0.0 |
5.0 |
|
|
Cuatotolapan-E.C. Autopista los Tuxtlas |
|
|
0.0 |
15.0 |
0.0 |
15.0 |
||
|
|
|
|
|
0.0 |
9.0 |
0.0 |
9.0 |
|
|
Ñape-Garza-Blanca-Mazoco |
|
|
|
0.0 |
8.0 |
0.0 |
8.0 |
|
|
Boulevard Costera del Golfo |
|
|
|
0.0 |
25.0 |
0.0 |
25.0 |
|
|
Puente San Cristobal |
|
|
|
0.0 |
6.0 |
0.0 |
6.0 |
|
|
Ixhuatlan de Madero-Pisa Flores |
|
|
|
0.0 |
15.0 |
0.0 |
15.0 |
|
|
Ahuateno-Tecomate-San Fernando |
|
|
|
0.0 |
15.0 |
0.0 |
15.0 |
|
|
Puente Xuchiles-Ejido La Laja |
|
|
|
0.0 |
10.0 |
0.0 |
10.0 |
|
|
Ejido Providencia-Ejido Toluquilla |
|
|
|
0.0 |
5.0 |
0.0 |
5.0 |
|
|
|
|
|
|
|
|
|
|
|
|
YUCATÁN |
|
|
|
|
95.5 |
304.9 |
0.0 |
400.4 |
|
Calotmul-Tahcabo |
|
|
|
|
0.0 |
40.0 |
0.0 |
40.0 |
|
Chikindzonot-Ekpedz-Xtobil |
|
|
|
68.5 |
0.0 |
0.0 |
68.5 |
|
|
Conkal-Chicxulub |
|
|
|
0.0 |
60.0 |
0.0 |
60.0 |
|
|
Conservación de Caminos Rurales |
|
|
|
24.0 |
0.0 |
0.0 |
24.0 |
|
|
Espita-Santa María |
|
|
|
0.0 |
25.0 |
0.0 |
25.0 |
|
|
Estudios y Proyectos |
|
|
|
3.0 |
0.0 |
0.0 |
3.0 |
|
|
La Sierra-Kantunlkin |
|
|
|
0.0 |
30.0 |
0.0 |
30.0 |
|
|
Libramiento de Valladolid |
|
|
|
0.0 |
30.0 |
0.0 |
30.0 |
|
|
Muna-Peto |
|
|
|
|
0.0 |
30.0 |
0.0 |
30.0 |
|
Peto-Valladolid |
|
|
|
|
0.0 |
30.0 |
0.0 |
30.0 |
|
Puente Coloradas |
|
|
|
|
0.0 |
28.0 |
0.0 |
28.0 |
|
Yucatán-Santa Clara-Nuevo Tesoco |
|
|
|
0.0 |
31.9 |
0.0 |
31.9 |
|
|
|
|
|
|
|
|
|
|
|
|
ZACATECAS |
|
|
|
|
126.8 |
126.2 |
7.0 |
246.0 |
|
Conservación de Caminos Rurales |
|
|
|
24.0 |
0.0 |
0.0 |
24.0 |
|
|
E.C. Huejucar/Monte Escobedo-San Luis |
|
|
0.0 |
30.0 |
0.0 |
30.0 |
||
|
El Carmen-El Porvenir |
|
|
|
0.0 |
5.0 |
0.0 |
5.0 |
|
|
El Saucito-Noria del Cerro |
|
|
|
0.0 |
2.2 |
0.0 |
2.2 |
|
|
El Vergel-Santa Potenciana-E.C. Santa Ana |
|
|
0.0 |
2.0 |
0.0 |
2.0 |
||
|
Emilio Carranza-Colonia Hidalgo |
|
|
|
27.0 |
0.0 |
7.0 |
20.0 |
|
|
Estudios y Proyectos |
|
|
|
6.2 |
0.0 |
0.0 |
6.2 |
|
|
|
|
|
|
0.0 |
15.0 |
0.0 |
15.0 |
|
|
Laguna Grande-Adjuntas del Refugio |
|
|
|
0.0 |
5.0 |
0.0 |
5.0 |
|
|
Los Campos-Potrerillos |
|
|
|
0.0 |
5.0 |
0.0 |
5.0 |
|
|
Luis Moya-Luis Echeverria (Sombrerete) |
|
|
39.6 |
0.0 |
0.0 |
39.6 |
||
|
Luis Moya-Luis Hecheverría E.C. Col. Hidalgo |
|
|
0.0 |
10.0 |
0.0 |
10.0 |
||
|
Nieves-Mazapil-Concepción del Oro, Tr: Estación
Camacho-Mazapil |
|
30.0 |
20.0 |
0.0 |
50.0 |
|||
|
Valparaiso-San Martín-Santa Ana |
|
|
|
0.0 |
5.0 |
0.0 |
5.0 |
|
|
Las Esperanzas Col. Fco. García Salinas |
|
|
0.0 |
13.0 |
0.0 |
13.0 |
||
|
Perales-La Purísima |
|
|
|
0.0 |
14.0 |
0.0 |
14.0 |
|
|
GASTO NETO TOTAL |
|
|
|
5,074.0 |
11,752.8 |
855.1 |
15,971.7 |
|
|
ANEXO 30. AMPLIACIONES EN INFRAESTRUCTURA CARRETERA,
FERROVIARIA Y OTROS |
||||||||
|
C. CONSERVACIÒN Y MANTENIMIENTO (millones de pesos) |
||||||||
|
|
|
|
|
|
|
|
|
|
|
|
|
|
|
|
Proyecto |
Ampliaciones |
Reducciones |
Presupuesto
Aprobado |
|
|
|
|
|
|
|
|
|
|
|
AGUASCALIENTES |
|
|
|
94.2 |
0.0 |
0.0 |
94.2 |
|
|
BAJA CALIFORNIA |
|
|
|
386.4 |
0.0 |
0.0 |
386.4 |
|
|
BAJA CALIFORNIA SUR |
|
|
|
295.3 |
0.0 |
0.0 |
295.3 |
|
|
CAMPECHE |
|
|
|
|
202.2 |
0.0 |
0.0 |
202.2 |
|
CHIAPAS |
|
|
|
|
516.2 |
0.0 |
0.0 |
516.2 |
|
CHIHUAHUA |
|
|
|
|
550.5 |
0.0 |
50.5 |
500.0 |
|
COAHUILA |
|
|
|
|
338.8 |
0.0 |
60.0 |
278.8 |
|
COLIMA |
|
|
|
|
426.9 |
0.0 |
0.0 |
426.9 |
|
DURANGO |
|
|
|
|
307.8 |
0.0 |
0.0 |
307.8 |
|
GUANAJUATO |
|
|
|
|
311.9 |
0.0 |
0.0 |
311.9 |
|
GUERRERO |
|
|
|
|
403.4 |
0.0 |
0.0 |
403.4 |
|
HIDALGO |
|
|
|
|
212.3 |
0.0 |
0.0 |
212.3 |
|
JALISCO |
|
|
|
|
520.2 |
0.0 |
0.0 |
520.2 |
|
MÉXICO |
|
|
|
|
327.1 |
0.0 |
0.0 |
327.1 |
|
MICHOACÁN |
|
|
|
|
455.1 |
0.0 |
0.0 |
455.1 |
|
MORELOS |
|
|
|
|
93.0 |
0.0 |
0.0 |
93.0 |
|
NAYARIT |
|
|
|
|
234.3 |
0.0 |
0.0 |
234.3 |
|
NUEVO LEÓN |
|
|
|
|
379.4 |
0.0 |
0.0 |
379.4 |
|
OAXACA |
|
|
|
|
372.8 |
0.0 |
0.0 |
372.8 |
|
PUEBLA |
|
|
|
|
268.0 |
0.0 |
0.0 |
268.0 |
|
QUERÉTARO |
|
|
|
|
151.9 |
0.0 |
0.0 |
151.9 |
|
QUINTANA ROO |
|
|
|
172.8 |
0.0 |
0.0 |
172.8 |
|
|
SAN LUIS POTOSI |
|
|
|
664.7 |
0.0 |
0.0 |
664.7 |
|
|
SINALOA |
|
|
|
|
302.2 |
0.0 |
0.0 |
302.2 |
|
SONORA |
|
|
|
|
292.8 |
0.0 |
0.0 |
292.8 |
|
TABASCO |
|
|
|
|
227.4 |
0.0 |
30.0 |
197.4 |
|
TAMAULIPAS |
|
|
|
|
382.0 |
0.0 |
0.0 |
382.0 |
|
TLAXCALA |
|
|
|
|
113.9 |
0.0 |
0.0 |
113.9 |
|
VERACRUZ |
|
|
|
|
657.7 |
0.0 |
157.7 |
500.0 |
|
YUCATÁN |
|
|
|
|
241.1 |
0.0 |
0.0 |
241.1 |
|
ZACATECAS |
|
|
|
|
329.0 |
0.0 |
0.0 |
329.0 |
|
GASTO NETO TOTAL |
|
|
|
10,231.3 |
0.0 |
298.2 |
9,933.1 |
|
|
ANEXO 30. AMPLIACIONES EN INFRAESTRUCTURA CARRETERA,
FERROVIARIA Y OTROS |
||||||||
|
D. PROGRAMA DE EMPLEO TEMPORAL (millones de pesos) |
|
|||||||
|
|
|
|
|
|
|
|
|
|
|
|
|
|
|
|
Proyecto |
Ampliaciones |
Reducciones |
Presupuesto
Aprobado |
|
|
|
|
|
|
|
|
|
|
|
AGUASCALIENTES |
|
|
|
17.6 |
0.0 |
0.0 |
17.6 |
|
|
BAJA CALIFORNIA |
|
|
|
19.6 |
0.0 |
0.0 |
19.6 |
|
|
BAJA CALIFORNIA SUR |
|
|
|
16.5 |
0.0 |
0.0 |
16.5 |
|
|
CAMPECHE |
|
|
|
|
23.3 |
0.0 |
0.0 |
23.3 |
|
CHIAPAS |
|
|
|
|
84.1 |
0.0 |
0.0 |
84.1 |
|
CHIHUAHUA |
|
|
|
|
44.1 |
0.0 |
0.0 |
44.1 |
|
COAHUILA |
|
|
|
|
32.1 |
0.0 |
0.0 |
32.1 |
|
COLIMA |
|
|
|
|
28.5 |
0.0 |
0.0 |
28.5 |
|
DURANGO |
|
|
|
|
33.2 |
0.0 |
0.0 |
33.2 |
|
GUANAJUATO |
|
|
|
|
25.7 |
0.0 |
0.0 |
25.7 |
|
GUERRERO |
|
|
|
|
62.0 |
0.0 |
12.0 |
50.0 |
|
HIDALGO |
|
|
|
|
66.0 |
0.0 |
0.0 |
66.0 |
|
JALISCO |
|
|
|
|
46.8 |
0.0 |
0.0 |
46.8 |
|
MÉXICO |
|
|
|
|
37.2 |
0.0 |
0.0 |
37.2 |
|
MICHOACÁN |
|
|
|
|
80.6 |
0.0 |
0.0 |
80.6 |
|
MORELOS |
|
|
|
|
26.8 |
0.0 |
0.0 |
26.8 |
|
NAYARIT |
|
|
|
|
35.5 |
0.0 |
0.0 |
35.5 |
|
NUEVO LEÓN |
|
|
|
|
32.1 |
0.0 |
0.0 |
32.1 |
|
OAXACA |
|
|
|
|
108.6 |
0.0 |
0.0 |
108.6 |
|
PUEBLA |
|
|
|
|
80.7 |
0.0 |
0.0 |
80.7 |
|
QUERÉTARO |
|
|
|
|
18.8 |
0.0 |
0.0 |
18.8 |
|
QUINTANA ROO |
|
|
|
32.1 |
0.0 |
0.0 |
32.1 |
|
|
SAN LUIS POTOSI |
|
|
|
43.2 |
6.8 |
0.0 |
50.0 |
|
|
SINALOA |
|
|
|
|
45.7 |
0.0 |
0.0 |
45.7 |
|
SONORA |
|
|
|
|
44.2 |
0.0 |
0.0 |
44.2 |
|
TABASCO |
|
|
|
|
44.3 |
0.0 |
0.0 |
44.3 |
|
TAMAULIPAS |
|
|
|
|
43.3 |
0.0 |
0.0 |
43.3 |
|
TLAXCALA |
|
|
|
|
22.0 |
0.0 |
0.0 |
22.0 |
|
VERACRUZ |
|
|
|
|
84.4 |
0.0 |
14.4 |
70.0 |
|
YUCATÁN |
|
|
|
|
44.3 |
0.0 |
0.0 |
44.3 |
|
ZACATECAS |
|
|
|
|
36.7 |
14.3 |
0.0 |
51.0 |
|
GASTO NETO TOTAL |
|
|
|
1,360.0 |
21.1 |
26.4 |
1,354.7 |
|
|
ANEXO 30. AMPLIACIONES EN INFRAESTRUCTURA CARRETERA,
FERROVIARIA Y OTROS |
|||||||||
|
E. INFRAESTRUCTURA FERROVIARIA, AEROPORTUARIA Y OTROS
(millones de pesos) |
|||||||||
|
|
|
|
|
|
|
|
|
|
|
|
|
|
|
|
|
Proyecto |
Ampliaciones |
Reducciones |
Presupuesto
Aprobado |
|
|
|
|
|
|
|
|
|
|
|
|
|
INFRAESTRUCTURA FERROVIARIA |
|
|
0 |
1,379.0 |
- |
1,379.0 |
|||
|
|
SISTEMA DE TRANSPORTE COLECTIVO METRO |
|
0 |
1,000.0 |
- |
1,000.0 |
|||
|
|
ESTUDIOS Y PROYECTOS PARA EL ANÁLISIS DE FACTIBILIDAD
TÉCNICA Y ECONÓMICA DE UN SISTEMA DE TRANSPORTE URBANO DE ALTA CAPACIDAD DE
GUADALAJARA - ZAPOPAN, ASÍ COMO PARA, EN SU CASO, |
0 |
150.0 |
- |
150.0 |
||||
|
|
REUBICACIÓN DE |
0 |
20.0 |
- |
20.0 |
||||
|
|
ESTUDIOS PARA |
0 |
22.0 |
- |
22.0 |
||||
|
|
LIBRAMIENTO FERROVIARIO DE TAPACHULA |
|
0 |
187.0 |
- |
187.0 |
|||
|
INFRAESTRUCTURA AEROPORTUARIA Y PORTUARIA |
|
0 |
669.0 |
- |
669.0 |
||||
|
|
AEROPUERTO MORELOS |
|
|
0 |
219.0 |
- |
219.0 |
||
|
|
AEROPUERTO DE PALENQUE |
|
|
0 |
200.0 |
- |
200.0 |
||
|
|
AEROPUERTO CREEL |
|
|
0 |
100.0 |
- |
100.0 |
||
|
|
AEROPUERTO DE |
0 |
60.0 |
- |
60.0 |
||||
|
|
CONSTRUCCIÓN DE DISPERSOR EN SÁNCHEZ MAGALLANES,
TABASCO |
0 |
30.0 |
- |
30.0 |
||||
|
|
CONSTRUCCIÓN DE UNA MARINA ECOTURÍSTICA EN EL
DESARROLLO ISLA DE CORTEZ, PUERTO DE ALTATA, MUNICIPIO DE NAVOLATO, SINALOA |
0 |
50.0 |
- |
50.0 |
||||
|
|
PUERTO DE FRONTERA, CONSTRUCCIÓN DE ESCOLLERAS Y
DRAGADO, TABASCO |
0 |
10.0 |
- |
10.0 |
||||
|
GASTO NETO TOTAL |
|
|
|
0 |
2,048.0 |
- |
2,048.0 |
||
|
|
|
|
|
|
|
|
|
|
|
|
1/ Los estudios incluirán el Análisis Costo -
Beneficio para la implementación de un tren eléctrico urbano u otro sistema
alterno. |
|||||||||
|
ANEXO 31. AMPLIACIONES A HACIENDA Y CRÉDITO
PÚBLICO (pesos) |
|||||||||||||
|
|
|
|
|
|
|
|
|
|
|||||
|
|
|
|
|
|
|
|
|
Monto |
|||||
|
RAMO 6: HACIENDA Y CRÉDITO PÚBLICO |
3,333,000,000 |
||||||||||||
|
|
Recopilación y Producción de Material
Informativo (NOTIMEX) |
|
|
|
38,000,000 |
||||||||
|
|
CONAVI: Programa de Esquema de Financiamiento
y Subsidio Federal para Vivienda |
|
|
1,000,000,000 |
|||||||||
|
|
Programa Especial Concurrente para el
Desarrollo Rural Sustentable 1/ |
|
|
|
1,800,000,000 |
||||||||
|
|
|
AGROASEMEX |
|
|
|
|
|
350,000,000 |
|||||
|
|
|
FINANCIERA RURAL |
|
|
|
|
550,000,000 |
||||||
|
|
|
BANSEFI |
|
|
|
|
|
150,000,000 |
|||||
|
|
|
Fondo de Capitalización e Inversión del
Sector Rural (FOCIR) |
|
|
|
100,000,000 |
|||||||
|
|
|
FIRA (Fideicomisos Instituidos en Relación
con |
|
|
|
500,000,000 |
|||||||
|
|
|
Atención a Indígenas (CONADEPI) 2/ |
|
|
|
150,000,000 |
|||||||
|
|
Comisión Nacional para el Desarrollo de los
Pueblos Indígenas (CONADEPI) 2/ |
|
|
|
300,000,000 |
||||||||
|
|
Erogaciones para |
|
|
|
195,000,000 |
||||||||
|
|
|
Fortalecimiento de Capacidades Indígenas
(CONADEPI) 2/ |
|
|
|
25,000,000 |
|||||||
|
|
|
Promoción y Coordinación de las Acciones para
|
|
|
70,000,000 |
||||||||
|
|
|
Fortalecimiento a |
|
|
|
100,000,000 |
|||||||
|
|
|
|
|
|
|
|
|
|
|||||
|
1/ Monto incluido en el Anexo 8: Programa
Especial Concurrente para el Desarrollo Rural Sustentable. |
|||||||||||||
|
2/ Monto contenido en el Anexo 7: Erogaciones
para el Desarrollo Integral de la Población Indígena. |
|||||||||||||
|
3/ Monto contenido en el Amexo 10:
Erogaciones para |
|||||||||||||
|
ANEXO 32. REASIGNACIONES GOBERNACIÓN (pesos) |
|||||||||
|
|
|
|
|
|
|
|
|
|
|
|
|
|
|
|
|
|
|
Reducción |
Ampliación |
|
|
RAMO 04: GOBERNACIÓN |
|
|
|
|
|
1,002,000,000 |
1,002,000,000 |
||
|
|
Cédula de Identidad |
|
|
|
|
|
1,002,000,000 |
|
|
|
|
Registro Nacional de Población |
|
|
|
|
|
855,000,000 |
||
|
|
Modernización de Registros Civiles |
|
|
|
|
|
147,000,000 |
||
|
ANEXO 33. AMPLIACIONES MARINA (pesos) |
||||||||
|
|
|
|
|
|
|
|
|
|
|
|
|
|
|
|
|
|
|
Monto |
|
RAMO 13: MARINA |
|
|
|
|
250,000,000 |
|||
|
|
Equipamiento para emplear el poder naval para
salvaguardar la soberanía y seguridad nacionales |
250,000,000 |
||||||
|
ANEXO 34. AMPLIACIONES AL RAMO 16 MEDIO AMBIENTE Y
RECURSOS NATURALES (pesos) |
||||||||
|
|
|
|
|
|
|
|
|
|
|
|
Monto |
|||||||
|
T O T A L |
6,471,900,000.0 |
|||||||
|
Programa Hidráulico 1/ |
|
|
|
|
|
|
4,818,000,000.0 |
|
|
Forestal (Incluye Proárbol con 270 millones de pesos
para Macizo Boscoso) 2/ |
|
|
|
300,000,000.0 |
||||
|
Definición de |
3,900,000.0 |
|||||||
|
|
|
|
|
|
|
|
|
|
|
Entidad Federativa |
1,350,000,000.0 |
|||||||
|
|
|
|
|
|
|
|
|
|
|
Aguascalientes |
|
|
|
|
|
|
|
20,322,000.0 |
|
Baja California |
|
|
|
|
|
|
|
67,462,000.0 |
|
Baja California Sur |
|
|
|
|
|
|
7,690,000.0 |
|
|
Campeche |
|
|
|
|
|
|
|
4,050,000.0 |
|
Chiapas |
|
|
|
|
|
|
|
41,275,711.0 |
|
Chihuahua |
|
|
|
|
|
|
|
15,000,000.0 |
|
Coahuila |
|
|
|
|
|
|
|
56,700,000.0 |
|
Colima |
|
|
|
|
|
|
|
3,207,901.0 |
|
Distrito Federal |
|
|
|
|
|
|
|
110,500,000.0 |
|
Durango |
|
|
|
|
|
|
|
40,000,000.0 |
|
Guanajuato |
|
|
|
|
|
|
|
57,347,840.0 |
|
Guerrero |
|
|
|
|
|
|
|
57,000,000.0 |
|
Hidalgo |
|
|
|
|
|
|
|
89,000,000.0 |
|
Jalisco |
|
|
|
|
|
|
|
41,092,336.0 |
|
México |
|
|
|
|
|
|
|
266,459,013.0 |
|
Michoacán |
|
|
|
|
|
|
|
55,284,289.0 |
|
Morelos |
|
|
|
|
|
|
|
39,868,204.0 |
|
Nayarit |
|
|
|
|
|
|
|
8,100,000.0 |
|
Nuevo León |
|
|
|
|
|
|
|
40,000,000.0 |
|
Oaxaca |
|
|
|
|
|
|
|
92,000,000.0 |
|
Puebla |
|
|
|
|
|
|
|
24,000,000.0 |
|
Querétaro |
|
|
|
|
|
|
|
1,833,086.0 |
|
Quintana Roo |
|
|
|
|
|
|
|
40,400,000.0 |
|
San Luis Potosí |
|
|
|
|
|
|
|
8,100,000.0 |
|
Sinaloa |
|
|
|
|
|
|
|
8,100,000.0 |
|
Sonora |
|
|
|
|
|
|
|
47,633,120.0 |
|
Tabasco |
|
|
|
|
|
|
|
46,200,000.0 |
|
Tamaulipas |
|
|
|
|
|
|
|
4,050,000.0 |
|
Tlaxcala |
|
|
|
|
|
|
|
3,024,500.0 |
|
Veracruz |
|
|
|
|
|
|
|
16,200,000.0 |
|
Yucatán |
|
|
|
|
|
|
|
8,100,000.0 |
|
Zacatecas |
|
|
|
|
|
|
|
30,000,000.0 |
|
|
|
|
|
|
|
|
|
|
|
1/ Monto incluido en el Anexo 29 Programa Hidráulico |
||||||||
|
2/ Monto incluido en el Anexo 8: Programa Especial
Concurrente para el Desarrollo Rural Sustentable |
||||||||
|
3/ Monto incluido en el Anexo 10: Erogaciones para |
||||||||
|
ANEXO 35. AMPLIACIÓN A DEFENSA NACIONAL (pesos) |
||||||||
|
|
|
|
|
|
|
|
|
|
|
|
Monto |
|||||||
|
RAMO 7: DEFENSA NACIONAL |
1,250,000,000 |
|||||||
|
|
ACCIONES DE VIGILANCIA EN EL TERRITORIO NACIONAL |
1,000,000,000 |
||||||
|
|
SERVICIOS DE SALUD AL PERSONAL MILITAR Y SUS
DERECHOHABIENTES |
250,000,000 |
||||||
|
ANEXO 36. AMPLIACIONES A SEGURIDAD PÚBLICA (pesos) |
||||||||
|
|
|
|
|
|
|
|
|
|
|
|
|
|
|
|
|
|
|
Monto |
|
RAMO 36: SEGURIDAD PÚBLICA |
|
1,216,000,000 |
||||||
|
|
CERESO PRODUCTIVO DE CIUDAD JUÁREZ |
200,000,000 |
||||||
|
|
FONDO DE GARANTÍA PARA APOYO A CENTROS DE
READAPTACIÓN SOCIAL EN LAS ENTIDADES FEDERATIVAS |
1,000,000,000 |
||||||
|
|
FOMENTO DE |
16,000,000 |
||||||
|
|
|
|
|
|
|
|
|
|
|
1/ Monto incluido en el Anexo 10: Erogaciones para |
||||||||
|
ANEXO
37. EROGACIONES PARA EL INSTITUTO FEDERAL DE ACCESO A |
||||||||
|
|
|
|
|
|
|
|
|
|
|
Erogaciones
para el Instituto Federal de Acceso a la Información Pública |
256,245,440.0 |
|||||||
|
ANEXO
38. REASIGNACIONES A DESARROLLO SOCIAL (millones de pesos) |
||||||||
|
|
|
|
|
|
|
|
|
|
|
RAMO
20: DESARROLLO SOCIAL |
|
|
|
|
Reducción |
Ampliación |
||
|
|
Programa
Desarrollo Humano Oportunidades |
|
|
|
1,000.0 |
|
||
|
|
Programa
de Apoyo Alimentario |
|
|
|
|
|
1,500.0 |
|
|
|
Hábitat |
|
|
|
|
|
|
1,000.0 |
|
|
Programa
para el Desarrollo de Zonas Prioritarias |
|
|
|
|
950.0 |
||
|
|
Programa
de Abasto Rural (DICONSA) |
|
|
|
|
250.0 |
||
|
|
Programa
de Abasto Social de Leche (LICONSA) |
|
|
|
|
250.0 |
||
|
|
Programa
de Adquisición de Leche Nacional (LICONSA) |
|
|
|
50.0 |
|||
|
ANEXO
39. AMPLIACIONES A REFORMA AGRARIA (millones de pesos) |
||||||||
|
|
|
|
|
|
|
|
|
|
|
|
|
|
|
|
|
|
|
Monto |
|
RAMO
15: REFORMA AGRARIA 1/ |
|
|
|
|
|
920.0 |
||
|
|
Fondo
de Apoyo para Proyectos Productivos |
150.0 |
||||||
|
|
Programa
de |
|
|
|
|
150.0 |
||
|
|
Joven
Emprendedor Rural |
|
|
|
|
|
150.0 |
|
|
|
Apoyo
a organizaciones sociales |
|
|
|
|
|
120.0 |
|
|
|
Conflictos
Agrarios y Obligaciones Jurídicas |
|
|
|
|
350.0 |
||
|
|
|
|
|
|
|
|
|
|
|
1/
Monto incluido en el Anexo 8: Programa Especial Concurrente para el
Desarrollo Rural Sustentable. |
||||||||
|
ANEXO
40. AMPLIACIONES A TURISMO (millones de pesos) |
||||||||
|
|
|
|
|
|
|
|
|
|
|
|
|
|
|
|
|
|
|
Monto |
|
RAMO
21: TURISMO |
|
|
|
|
|
|
1,005.0 |
|
|
|
Fondo
Nacional de Fomento al Turismo |
100.0 |
||||||
|
|
Promoción
y Desarrollo de Programas y Proyectos Turísticos de las Entidades Federativas |
900.0 |
||||||
|
|
Establecer
y Conducir |
5.0 |
||||||
|
|
|
|
|
|
|
|
|
|
|
1/
Monto incluido en el Anexo 10: Erogaciones para |
||||||||
|
ANEXO
41. AMPLIACIONES AL TRIBUNAL FEDERAL DE JUSTICIA FISCAL Y ADMINISTRATIVA
(millones de pesos) |
||||||||
|
|
|
|
|
|
|
|
|
|
|
|
|
|
|
|
|
|
|
Monto |
|
RAMO
32: TRIBUNAL FEDERAL DE JUSTICIA FISCAL Y ADMINISTRATIVA |
150.0 |
|||||||
|
|
Impartición
de Justicia Fiscal y Administrativa (Juicios en Línea) |
150.0 |
||||||
SALON DE SESIONES DE
En cumplimiento de lo dispuesto por