RESOLUCIÓN que modifica las Disposiciones de carácter general aplicables a los almacenes generales de depósito, casas de cambio, uniones de crédito y sociedades financieras de objeto múltiple reguladas |
Jueves 25 de Abril de 2024 |
Al margen un sello con el Escudo Nacional, que dice: Estados Unidos Mexicanos.- HACIENDA.- Secretaría de Hacienda y Crédito Público.- Comisión Nacional Bancaria y de Valores.
La Comisión Nacional Bancaria y de Valores, con fundamento en lo dispuesto por los artículos 40, fracción XXVIII; 46, primer y segundo párrafos; 65 y 74 de la Ley de Uniones de Crédito; 98 Bis de la Ley de Instituciones de Crédito, así como 4, fracciones II, IV, V, XXXVI y XXXVIII y 16, fracción I de la Ley de la Comisión Nacional Bancaria y de Valores, y
CONSIDERANDO
Que en atención al artículo 78 de la Ley General de Mejora Regulatoria y con la finalidad de reducir el costo de cumplimiento de la presente resolución modificatoria, este órgano desconcentrado, a través de dicha resolución, modifica las metodologías para la calificación de la cartera crediticia comercial de las uniones de crédito, flexibilizando con ello la norma al obtenerse reservas preventivas de capital que ya no serán contempladas por ser excesivas; asimismo, se derogan algunos criterios contables, eliminando la obligación para las uniones de crédito de incluirlos en sus estados financieros;
Que, con base en las NIF, la Comisión Nacional Bancaria y de Valores se ha dado a la tarea de adaptar la regulación aplicable a las entidades sujetas a su supervisión al nuevo marco internacional, a fin de contar con información financiera transparente y comparable con otros países. En este sentido, se hace necesaria la modificación al marco regulatorio aplicable a las uniones de crédito, a fin de incorporar las actualizaciones en materia de criterios contables, calificación de cartera, aprobación, difusión y contenido de los estados financieros, reportes regulatorios, así como normas en materia de revelación de información financiera, por lo que ha resuelto expedir la siguiente:
RESOLUCIÓN QUE MODIFICA LAS DISPOSICIONES DE CARÁCTER GENERAL APLICABLES A LOS ALMACENES GENERALES DE DEPÓSITO, CASAS DE CAMBIO, UNIONES DE CRÉDITO Y SOCIEDADES FINANCIERAS DE OBJETO MÚLTIPLE REGULADAS
ÚNICO.- Se REFORMAN los artículos 1, fracciones XXV Bis y XLI Bis; 49, Serie R03, en su nombre para denominarse “Inversiones en instrumentos financieros”, así como su reporte I-0391, Serie R10, reportes A-1011 y A-1012, Serie R12, reportes A-1219 y A-1220, así como Serie R13, reportes A-1311, B-1321 y B-1322; 86 Bis 19, párrafo segundo; 86 Bis 20, párrafo tercero; 86 Bis 25, párrafo primero; 87, fracción V; 89; 90; 93; 94; 95; 96; 97; 98; 100; 101; 139, párrafo segundo; 140, Serie B, criterio B-1; Serie D, criterios D-1, D-2 y D-3; 141; 142; 143; 144; 145; 146; 147; 148; 149; 150; 151; 153, párrafo primero; 154; 155; 157 y 158, primer párrafo; así como en el Título Séptimo, Capítulo II, Sección Primera, el nombre del apartado A para denominarse “De la calificación”; y del Capítulo VI, el nombre de la Sección Primera para denominarse “De la contabilidad, de la valuación de Valores y demás instrumentos financieros, así como de la información financiera y su revelación”; se ADICIONAN al artículo 1, las fracciones III Bis, IV Bis, XXIII Bis 1, XL Bis y XLVIII Bis; al artículo 49, Serie R04, los reportes C-0454, C-0455 y C-0456; al artículo 87, las fracciones VIII y IX; los artículos 90 Bis; 93 Bis; 93 Bis 1; 93 Bis 2; 93 Bis 3; 93 Bis 4; 95 Bis; 96 Bis; 96 Bis 1; 101 Bis; 140, Serie C con el criterio C-3 “Operaciones de bursatilización”; 141 Bis; 142 Bis; 142 Bis 1; 143 Bis; 144 Bis y 159 Bis; el Título Séptimo, Capítulo VI, Sección Primera, Apartado B, con un Subapartado A denominado “Disposiciones Generales”, un Subapartado B denominado “De los Modelos de Valuación Internos” y un Subapartado C denominado “De la contratación de Proveedores de Precios”; así como con un Capítulo VII denominado “Otras disposiciones” que comprende el artículo 159 Bis 1; además, los Anexos 19 A y 21 A; se DEROGAN de los artículos 86 Bis 23, la fracción IV, y 87, la fracción IV; los artículos 91; 92; 99; del artículo 140, Serie B, los criterios B-2, B-4 y B-10, y de la Serie C los criterios C-1 y C-2; del Título Séptimo, Capítulo II, Sección Primera, el Apartado B, así como “la Sección Segunda y sus artículos 102 y 103, además de la Sección Tercera y sus artículos 104 y 105; asimismo, los Anexos 20 y 22, y se SUSTITUYEN los Anexos 4, 10, 19, 21 y 34 de las Disposiciones de carácter general aplicables a los almacenes generales de depósito, casas de cambio, uniones de crédito y sociedades financieras de objeto múltiple reguladas, publicadas en el Diario Oficial de la Federación el 19 de enero de 2009 y modificadas por última ocasión con la resolución publicada en ese medio de difusión el 27 de diciembre de 2023, para quedar como sigue:
“ÍNDICE
TÍTULOS PRIMERO a SEXTO . . .
TÍTULO SÉPTIMO
Capítulos I y I Bis . . .
Capítulo II
. . .
Sección Primera
. . .
Apartado A
De la calificación
Apartado B
De la constitución de estimaciones y su clasificación por grado de riesgo (Derogado)
Apartado C
. . .
Apartado D
. . .
Sección Segunda
De la clasificación de las estimaciones preventivas (Derogada)
Sección Tercera
Presentación de resultados (Derogada)
Capítulos II Bis a V . . .
Capítulo VI
. . .
Sección Primera
De la contabilidad, de la valuación de Valores y demás instrumentos financieros, así como de la información financiera y su revelación
Apartado A
. . .
Apartado B
. . .
Subapartado A
Disposiciones generales
Subapartado B
De los Modelos de Valuación Internos
Subapartado C
De la contratación de Proveedores de Precios
Sección Segunda
. . .
Capítulo VII
Otras disposiciones
TÍTULO OCTAVO . . .
TRANSITORIOS
LISTADO DE ANEXOS
ANEXOS 1 a 3 . . .
ANEXO 4 Criterios de contabilidad para las uniones de crédito.
ANEXOS 5 a 18 . . .
ANEXO 19 Determinación del puntaje crediticio total para créditos de la cartera comercial.
ANEXO 19 A Determinación del puntaje crediticio total para créditos a cargo de entidades financieras.
ANEXO 20 (Derogado)
ANEXO 21 Requisitos que deberán cumplir las garantías para ser reconocidas para efectos de la determinación del requerimiento de capitalización por riesgo de crédito y de las estimaciones preventivas por riesgo de crédito.
ANEXO 21 A Factores de ajuste estándar para garantías financieras.
ANEXO 22 (Derogado)
ANEXOS 23 a 34 . . .”
“Artículo 1.- . . .
I. y II. . . .
II Bis. Alto Grado de Inversión: a la Calificación otorgada por alguna Institución Calificadora que se ubique dentro del Grado de Riesgo 1 en escala global tratándose de largo plazo, y Grados de Riesgo 1 y 2 en escala global tratándose de corto plazo, conforme a lo establecido en las tablas correspondientes para corto y largo plazo del Anexo 34.
III a IV. . . .
IV Bis. Calificaciones: a las evaluaciones de riesgo de crédito emitidas por las Instituciones Calificadoras.
V. a XXIII Bis. . . .
XXIII Bis 1. Exposición al Incumplimiento (EI): a la posición esperada, bruta de reservas, de la operación de crédito si se produce el incumplimiento del deudor. La Exposición al Incumplimiento no podrá ser inferior a la cantidad dispuesta de la operación al momento del cálculo del requerimiento de capital.
XXIV a XXV. . . .
XXV Bis. Grado de Inversión: a la Calificación otorgada por alguna Institución Calificadora que se ubique dentro de los Grados de Riesgo 2 y 3 en escala global tratándose de largo plazo, y Grado de Riesgo 3 en escala global tratándose de corto plazo, conforme a lo establecido en las tablas correspondientes para corto y largo plazo del Anexo 34 de las presentes disposiciones.
XXV Bis 1. a XL. . . .
XL Bis. Probabilidad de Incumplimiento (PI): a la probabilidad de que un acreditado no cumpla con sus obligaciones de pago en tiempo y forma.
XLI. . . .
XLI Bis. Proveedor de Protección: a las personas a que se refieren los Grupos 1, 2 y 3 descritos en el artículo 78, fracción I, para requerimientos de capital y en el artículo 96 Bis 1 para estimaciones preventivas, ambos preceptos de las presentes disposiciones.
XLII. a XLVIII. . . .
XLVIII Bis. Severidad de la Pérdida (SP): a la pérdida en caso de incumplimiento expresada como porcentaje de la Exposición al Incumplimiento, una vez tomados en cuenta el valor de las garantías y los costos asociados a los procesos de realización (judiciales, administrativos de cobranza y de escrituración, entre otros).
XLIX. a LVII. . . .”
“Artículo 49.- . . .
Serie R01 . . .
Serie R03 Inversiones en instrumentos financieros
I-0391 Desagregado de inversiones en instrumentos financieros y reportos
Serie R04 . . .
Cartera Comercial
C-0440 . . .
C-0451 . . .
C-0452 . . .
C-0453 . . .
C-0454 Reservas de créditos comerciales
C-0455 Severidad de la Pérdida de créditos comerciales
C-0456 Probabilidad de Incumplimiento de créditos comerciales
Serie R06 . . .
Serie R08 . . .
Serie R10 . . .
A-1011 Reclasificaciones en el estado de situación financiera
A-1012 Reclasificaciones en el estado de resultado integral
Serie R12 . . .
A-1219 Consolidación del estado de situación financiera de la unión de crédito con sus subsidiarias
A-1220 Consolidación del estado de resultado integral de la unión de crédito con sus subsidiarias
Serie R13 . . .
A-1311 Estado de cambios en el capital contable
A-1316 . . .
B-1321 Estado de situación financiera
B-1322 Estado de resultado integral
Serie R14 . . .
Serie R21 . . .”
“Artículo 86 Bis 19.- . . .
Sin perjuicio de lo anterior, las uniones de crédito deberán establecer procedimientos de evaluación y seguimientos más estrictos para aquellos créditos que, estando en cartera etapa 2 o 3, presenten algún deterioro, o bien respecto de los cuales no se hayan cumplido cabalmente los términos y condiciones convenidos.
. . .
. . .
. . .
Artículo 86 Bis 20.- . . .
. . .
Los créditos que, como resultado del seguimiento permanente o por haber caído en cartera etapa 2 o 3, previsiblemente tendrán problemas de recuperación, deberán ser objeto de una evaluación detallada, con el fin de determinar oportunamente la posibilidad de establecer nuevos términos y condiciones que incrementen su probabilidad de recuperación.”
“Artículo 86 Bis 23.- . . .
I. a III. . . .
IV. (Derogada)
. . .
. . .”
“Artículo 86 Bis 25.- Las uniones de crédito realizarán funciones de recuperación judicial de cartera crediticia, asignándolas a un área independiente de las áreas de negocio o, en su caso, a prestadores de servicios externos, quienes llevarán a cabo los procedimientos de cobranza judicial requeridos en el manual de crédito de la unión de crédito. Será susceptible de este proceso, toda la cartera clasificada en etapa 3, según lo establecido en el artículo 90 Bis de las presentes disposiciones.
. . .”
“Capítulo II
. . .
Artículo 87.- . . .
I. a III. . . .
IV. (Derogada)
V. Criterios de Contabilidad o Criterios Contables: a los criterios de contabilidad para las uniones de crédito a que se refiere el Título Séptimo, Capítulo VI y que se contienen en el Anexo 4 de las presentes disposiciones.
VI. y VII. . . .
VIII. Posiciones Preferentes: en plural o singular, a la cartera de crédito y los Valores que, a efectos de prelación en pago, tienen prioridad sobre otros acreedores del deudor.
IX. Posiciones Subordinadas: en plural o singular, a la cartera de crédito y los Valores que, a efectos de su prelación en pago, se sitúan detrás de otros acreedores del deudor.”
“Sección Primera
De la Cartera Crediticia Comercial
Apartado A
De la calificación
Artículo 89.- Las uniones de crédito calificarán la Cartera Crediticia Comercial utilizando el procedimiento a que se refieren los artículos 90 a 98 de las presentes disposiciones.
Las uniones de crédito, al aplicar dicho procedimiento, utilizarán para efectos de la calificación de la mencionada cartera, información del comportamiento de pago y el saldo del crédito relativas a cifras al último día de cada mes calendario, y registrarán en su contabilidad al cierre de cada mes las estimaciones preventivas correspondientes, considerando el saldo del adeudo registrado el último día del mes.
Para efectos de lo establecido en el párrafo anterior, será necesario que se actualice el comportamiento de pago y el saldo del crédito correspondiente; sin embargo, no se requerirá que las uniones de crédito actualicen la información financiera de los acreditados al mes que corresponda.
Artículo 90.- Las uniones de crédito, previo a la calificación de los créditos de la Cartera Crediticia Comercial, clasificarán cada uno de los créditos en grupos, según sean otorgados a las siguientes personas:
I. Entidades financieras.
II. Personas morales y físicas con actividad empresarial.
Artículo 90 Bis.- Las uniones de crédito deberán calificar y constituir las estimaciones preventivas correspondientes a su Cartera Crediticia Comercial, con cifras al último día de cada mes calendario, para ello deberán clasificar desde su reconocimiento inicial la totalidad de su Cartera Crediticia Comercial en etapas de riesgo de crédito, dependiendo del incremento del riesgo crediticio que estos evidencien en función del número de días de retraso o mora transcurridos a partir del día de la exigibilidad de la primera amortización del crédito que no haya sido cubierta por el acreditado a la fecha de la calificación, conforme a la tabla siguiente:
|
Etapa de riesgo de crédito |
Días de mora |
|
|
Etapa 1 |
Para los créditos con días de atraso menores o iguales a 30 días. |
|
|
Etapa 2 |
Para los créditos con días de atraso de 31 y hasta 89 días. |
|
|
Etapa 3 |
Para los créditos que presenten 90 días o más de atraso o cuando el crédito se encuentre en etapa 3 de acuerdo con los términos establecidos en las presentes disposiciones y en el Criterio Contable B-5 “Cartera de Crédito” del Anexo 4. |
Para efectos del cómputo de los días de atraso, las uniones de crédito deberán considerar días naturales.
Adicionalmente, si las uniones de crédito cuentan con algún elemento para determinar que un crédito debe de migrar de etapa 1 a etapa 2, o de etapa 1 a etapa 3, o de etapa 2 a etapa 3, estas podrán realizarlo sin la necesidad del cumplimiento de lo contenido en la tabla anterior. Para ello, las uniones de crédito deberán definir los criterios bajo los cuales se puede realizar dicha migración, los que deberán estar formalizados dentro de los manuales de políticas y procedimientos, y de riesgos de la unión de crédito y deberán ser aplicados de forma consistente.
Las uniones de crédito deberán documentar en un registro o bitácora la migración de etapas basadas en los criterios mencionados en el párrafo inmediato anterior incluyendo, como mínimo, la identificación del personal responsable de la aprobación, el criterio bajo el cual se realizó la migración, así como la fecha a partir de la cual se hizo esta. La Comisión podrá ordenar que las uniones de crédito rectifiquen las reservas constituidas conforme a lo anterior, cuando a su juicio las políticas y procedimientos no sean aplicados de manera consistente, o bien estas no reflejen la diferencia entre el deterioro crediticio observado y el identificado por las uniones de crédito.
Los créditos otorgados por las uniones de crédito, que se encuentren en etapa 3 y que hubiesen sido objeto de una reestructura o renovación, deberán considerar su permanencia dentro de la mencionada etapa en tanto no exista evidencia de pago sostenido y podrán migrar a una etapa de menor riesgo, siempre que se dé cumplimiento a lo dispuesto en el Criterio Contable B-5 “Cartera de Crédito” del Anexo 4 de las presentes disposiciones.
Artículo 91.- (Derogado)
Artículo 92.- (Derogado)
Artículo 93.- Las uniones de crédito calificarán, constituirán y registrarán en su contabilidad las reservas preventivas para cada uno de los créditos de su Cartera Crediticia Comercial, utilizando para tal efecto el saldo del adeudo correspondiente al último día del mes, ajustándose al procedimiento y a los requisitos de información establecidos conforme a lo siguiente:
I. Para aquellos créditos clasificados en las etapas 1 o 3 de acuerdo con el artículo 90 Bis de las presentes disposiciones, el porcentaje que se utilice para determinar las reservas a constituir por cada crédito será el resultado de multiplicar la Probabilidad de Incumplimiento por la Severidad de la Pérdida por la Exposición al Incumplimiento:
![]()
Donde:
𝑅𝑒𝑠𝑒𝑟𝑣𝑎𝑠 𝐸𝑡𝑎𝑝𝑎 1 𝑜 3𝑖 = Monto de reservas a constituir para el i-ésimo crédito que se encuentre en etapa 1 o 3, según corresponda.
𝑃𝐼𝑖 = Probabilidad de Incumplimiento del i-ésimo crédito.
𝑆𝑃𝑖 = Severidad de la Pérdida del i-ésimo crédito.
𝐸𝐼𝑖 = Exposición al Incumplimiento del i-ésimo crédito.
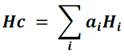
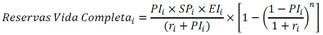
II. Para aquellos créditos clasificados en etapa 2 de acuerdo con el artículo 90 Bis de las presentes disposiciones, la estimación de reservas para la vida completa se determinará conforme a la fórmula siguiente:
![]()
Donde:
Reservas de Vida Completa𝑖 = Monto de reservas a constituir para el i-ésimo crédito que se encuentre en etapa 2.
𝑃𝐼𝑖 = Probabilidad de Incumplimiento del i-ésimo crédito.
𝑆𝑃𝑖 = Severidad de la Pérdida del i-ésimo crédito.
𝐸𝐼𝑖 = Exposición al Incumplimiento del i-ésimo crédito.
r𝑖 = Tasa de interés anual del i-ésimo crédito cobrada al cliente. Esta variable deberá de estar expresada a cinco decimales y siempre ser mayor a cero.
En casos donde la tasa de interés anual sea igual a cero, se deberá utilizar un valor fijo de 0.00001%.
𝑛 = Plazo remanente del crédito correspondiente, número de años que, de acuerdo con lo establecido contractualmente, resta para liquidar el crédito a la fecha de calificación de cartera, calculado conforme a lo siguiente:
![]()
En los casos donde el plazo contractual del crédito ya haya finalizado y aún exista un saldo remanente, el horizonte mínimo a considerar será un horizonte anual.
Tratándose de créditos revolventes, el plazo remanente para el i-ésimo crédito corresponderá al plazo de revisión de las condiciones de la línea otorgada al acreditado; en caso de que la unión de crédito no cuente con esta información, el plazo mínimo a utilizar será 2.5 años.
El monto de reservas para los créditos en etapa 2 será el resultado de aplicar la siguiente fórmula:
![]()
Artículo 93 Bis.- Las uniones de crédito deberán asignar una 𝑃𝐼𝑖 del 100 por ciento al acreditado en los siguientes casos:
I. Cuando el acreditado tenga algún crédito con la unión de crédito que se encuentre en etapa 3.
II. Cuando sea probable que el deudor no cumpla la totalidad de sus obligaciones crediticias frente a la unión de crédito, actualizándose tal supuesto cuando:
a) La unión de crédito considere que pudieran existir indicios de deterioro para alguno de los créditos a cargo del deudor, o
b) La unión de crédito haya demandado el concurso mercantil del deudor, o bien este último lo haya solicitado.
III. Si la unión de crédito hubiere omitido durante tres meses consecutivos reportar a la sociedad de información crediticia algún crédito del acreditado o bien, cuando se encuentre desactualizada la información de algún crédito del acreditado relacionada con el saldo y el comportamiento del pago que deba enviarse a dicha sociedad.
Artículo 93 Bis 1.- Las uniones de crédito estimarán la Probabilidad de Incumplimiento de cada crédito (𝑃𝐼𝑖), conforme a lo siguiente:
I. Para los créditos señalados en el artículo 90, fracción II con actividad económica agrícola, conforme a lo establecido en el Anexo 19, ambos de las presentes disposiciones, con la siguiente fórmula:
![]()
II. Para los créditos señalados en el artículo 90, fracciones I y II con actividad económica de construcción y mixta, conforme a lo establecido en el Anexo 19, ambos de las presentes disposiciones, con la siguiente fórmula:
![]()
En ambos casos el Puntaje
Crediticio Totali es el que resulta de aplicar lo señalado en el
Anexo 19 o en el Anexo 19 A, según corresponda, al crédito
.
Artículo 93 Bis 2.- Para la determinación de la 𝑃𝐼𝑖 en operaciones de factoraje, las uniones de crédito identificarán en quién recae el riesgo de crédito; para tales efectos, se considerará al factorado que transmite a la unión de crédito los derechos de crédito que tenga a su favor, a la propia unión de crédito factorante y al sujeto obligado al pago de los derechos de crédito correspondientes. En este sentido:
I. La 𝑃𝐼𝑖 corresponde al sujeto obligado al pago de los derechos de crédito, dependiendo del grupo al que pertenezca, según lo establecido en el artículo 90 de las presentes disposiciones.
II. Se podrá sustituir la
del sujeto
obligado respecto de los derechos de crédito, por la
del
factorado, cuando se pacte la obligación solidaria de este en el documento que
formaliza la operación de factoraje.
III. Únicamente se podrán considerar los derechos de crédito que no estén sujetos a condiciones o controles por los cuales el deudor pudiera oponerse a su pago.
En los casos donde el
sujeto obligado al pago no sea acreditado de la unión de crédito, para
determinar la
del factorado, deberá calcularla de acuerdo con lo establecido en el
artículo 112 de la Circular Única de Bancos.
Artículo 93 Bis 3.- La Severidad de la Pérdida (𝑆𝑃𝑖) para los créditos de la Cartera Crediticia Comercial que carezcan de cobertura de garantías, será conforme a lo siguiente:
I. Para los créditos clasificados en artículo 90, fracción I de las presentes disposiciones que se encuentren en etapas 1 y 2, el valor de la Severidad de la Pérdida será igual a 45 %.
II. Para los créditos clasificados en el artículo 90, fracción II de estas disposiciones que se encuentren en etapas 1 y 2, el valor de la Severidad de la Pérdida será igual a 55 %.
III. Para los créditos clasificados en etapa 3, se asignará el valor de Severidad de la Pérdida de acuerdo con la siguiente tabla:
|
Meses transcurridos a partir de la clasificación del crédito en etapa 3 |
SPi Créditos clasificados en el artículo 90, fracción I |
SPi Créditos clasificados en el artículo 90, fracción II |
|
Hasta 3 meses |
45 % |
55 % |
|
Mayor a 3 y hasta 6 meses |
55 % |
62 % |
|
Mayor a 6 y hasta 9 meses |
62 % |
69 % |
|
Mayor a 9 y hasta 12 meses |
66 % |
72 % |
|
Mayor a 12 y hasta 15 meses |
72 % |
77 % |
|
Mayor a 15 y hasta 18 meses |
75 % |
79 % |
|
Mayor a 18 y hasta 21 meses |
78 % |
82 % |
|
Mayor a 21 y hasta 24 meses |
81 % |
84 % |
|
Mayor a 24 y hasta 27 meses |
88 % |
90 % |
|
Mayor a 27 y hasta 30 meses |
91 % |
93 % |
|
Mayor a 30 y hasta 33 meses |
94 % |
95 % |
|
Mayor a 33 y hasta 36 meses |
96 % |
97 % |
|
Mayor a 36 meses |
100 % |
100 % |
Artículo 93 Bis 4.- La Exposición al Incumplimiento de cada crédito (EIi) será igual al saldo insoluto del i-ésimo crédito a la fecha de la calificación, el cual representa el monto de crédito efectivamente otorgado al acreditado, ajustado por los intereses devengados, menos los pagos de principal e intereses, así como las quitas, condonaciones, bonificaciones y descuentos que se hubieren otorgado.
El monto sujeto a la calificación no deberá incluir los intereses devengados no cobrados reconocidos en cuentas de orden dentro del estado de situación financiera de créditos que se encuentren en etapa 3.
Artículo 94.- Cuando las uniones de crédito cuenten en su Cartera Crediticia Comercial con garantías que cumplan con lo previsto en el Anexo 21 de las presentes disposiciones, podrán reconocerlas con la finalidad de reducir las estimaciones preventivas del crédito o créditos de que se trate, debiendo considerar que:
I. Realizarán las gestiones necesarias para la ejecución y adjudicación de la garantía en el momento en que se coloquen en etapa 3 de conformidad con lo establecido en el artículo 90 Bis de las presentes disposiciones.
En caso de que las gestiones para la ejecución de la garantía no den inicio dentro de los 120 días siguientes al traspaso del crédito a etapa 3, las uniones de crédito deberán dejar de reconocer la cobertura proporcionada por dicha garantía y asignarán las estimaciones preventivas correspondientes de conformidad con lo previsto en la presente sección.
II. Podrán considerar la garantía siempre que se excluyan las garantías otorgadas recíprocamente entre las personas que, a su vez, garanticen el pago del crédito de que se trate.
III. En ningún caso podrán tomar simultáneamente garantías en Esquemas de Cobertura en Paso y Medida, Esquemas de Cobertura de Primeras Pérdidas y garantías con medios de pago de liquidez inmediata y no financieras de un mismo garante.
IV. Tomarán en cuenta la cobertura de la garantía, la forma en que dicha garantía se estructuró y su facilidad de ejecución considerando, cuando corresponda, otras obligaciones directas y contingentes a cargo del avalista o fiador.
V. La parte expuesta conservará las estimaciones preventivas que le correspondan.
VI. Podrán optar por no reconocer las garantías si con ello resultan mayores reservas.
VII. Las garantías deberán estar debidamente constituidas en la forma y términos establecidos en las disposiciones legales aplicables.
VIII. Al recibir garantías cuya validez esté sujeta al cumplimiento de términos y condiciones por parte de la unión de crédito acreedora de la garantía y los incumpla, no deberá tomarse en cuenta la garantía para efectos de lo establecido en el presente artículo.
Para el caso de créditos destinados a financiar la actividad primaria del sector agropecuario, o bien la comercialización de los productos agropecuarios, podrán reducir sus estimaciones preventivas utilizando derivados de crédito que cumplan con lo previsto en el artículo 97, fracción II de las presentes disposiciones.
Artículo 95.- Las uniones de crédito para calcular las estimaciones preventivas para riesgo de crédito, podrán ajustar el valor de la Severidad de la Pérdida considerando las garantías constituidas con medios de pago de liquidez inmediata, que cumplan con lo establecido en el Anexo 21, fracción I de las presentes disposiciones.
I. La Severidad de la Pérdida ajustada por garantías constituidas con medios de pago con liquidez inmediata (SP*) corresponderá a:
![]()
Donde:
SPi* = Severidad de la Pérdida de la i-ésima posición ajustada por garantías constituidas con medios de pago con liquidez inmediata.
SPi = De acuerdo con el artículo 93 Bis 3 de las presentes disposiciones.
EIi* = Exposición al Incumplimiento del i-ésimo crédito después de la cobertura de riesgo determinada de conformidad con lo descrito en la fracción II del presente artículo, para el reconocimiento de garantías constituidas con medios de pago con liquidez inmediata a las que se refiere el Anexo 21, fracción I de las presentes disposiciones. Las uniones de crédito deberán continuar calculando la Exposición al Incumplimiento sin tomar en cuenta la cobertura mediante dicha garantía, a menos que se especifique lo contrario en las presentes disposiciones.
EIi = Exposición al Incumplimiento del í-ésimo crédito, según se define en el artículo 93 Bis 4 de las presentes disposiciones.
II. Para el cálculo de la Severidad de la Pérdida de la cartera en créditos cubiertos con garantías constituidas con medios de pago con liquidez inmediata consideradas en el Anexo 21, fracción I de estas disposiciones, las uniones de crédito determinarán un valor ajustado por riesgo de sus exposiciones (EI*).
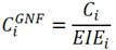
Para lo anterior, se deberá aplicar la siguiente fórmula:
![]()
Donde:
EI* = Valor ajustado por riesgo de las exposiciones.
EI = La Exposición al Incumplimiento según lo indicado en el artículo 93 Bis 4 de las presentes disposiciones.
C = Valor contable de la garantía constituida con medios de pago con liquidez inmediata que cubre la operación.
Hfx = 8 (ocho) por ciento en caso de diferente denominación entre las monedas del importe de la exposición y de la garantía recibida, y 0 (cero) por ciento en cualquier otro caso.
Hc = Factor de ajuste correspondiente a la garantía constituida con medios de pago con liquidez inmediata recibida conforme a lo señalado en el Anexo 21 A de estas disposiciones y en el siguiente párrafo.
Cuando las garantías admisibles para una determinada operación estén constituidas por una canasta de activos, el factor de ajuste (Hc) de la fórmula anterior, se determinará como el promedio ponderado de los factores individuales que correspondan a cada uno de los activos que integren la canasta de que se trate, conforme a lo siguiente:

Donde:
ai = Ponderación del título o instrumento “i” integrante del portafolios.
Hi = Factor de ajuste correspondiente a dicho activo “i”, conforme a lo señalado en el Anexo 21 A de las presentes disposiciones.
Artículo 95 Bis.- Las uniones de crédito para calcular estimaciones preventivas para riesgo de crédito, podrán ajustar el valor de la Severidad de la Pérdida considerando las garantías no financieras que cumplan con lo establecido en el Anexo 21, fracciones II y III de las presentes disposiciones.
Las uniones de crédito podrán obtener una Severidad de la Pérdida efectiva (SPi**) de acuerdo con la metodología siguiente:
I. La Severidad de la Pérdida efectiva (SPi**) para el i-ésimo crédito se determinará comparando el coeficiente CiGNF con el nivel mínimo de cobertura admisible (C*) y el nivel de sobre cobertura (C**); así como por el tipo de garantía no financiera de que se trate u otros instrumentos asimilables de conformidad con la tabla siguiente:
Severidad de la Pérdida efectiva para Posiciones Preferentes
|
Tipo de garantía no financiera o instrumento asimilable |
(C*) Nivel mínimo de cobertura admisible |
(C**) Nivel de sobre cobertura para reconocer una menor SP |
(SPi**) Severidad de la Pérdida mínima correspondiente a C** |
|
Derechos de cobro incluyendo derechos fiduciarios |
0 % |
125 % |
35 % |
|
Bienes inmuebles comerciales y residenciales |
30 % |
140 % |
35 % |
|
Bienes muebles y otras |
30 % |
140 % |
40 % |
|
Fideicomiso de garantía o de administración, o de ambos, en todos los supuestos con Ingresos Propios como fuente de pago |
100 % |
200 % |
10 % |
II. El coeficiente CiGNF para el i-ésimo crédito será lo que resulte de dividir el valor de la garantía no financiera recibida, entre la Exposición al Incumplimiento estimada conforme a la expresión que se indica a continuación:
![]()
Donde:
|
|
= |
Coeficiente para el i-ésimo crédito de la garantía no financiera recibida |
|
Ci |
= |
Valor de la garantía no financiera, el cual deberá corresponder a la última valuación disponible de dicha garantía. Tratándose de bienes inmuebles o muebles, deberá considerarse un valor que no exceda el valor razonable corriente de la garantía, en los términos del Anexo 21 de las presentes disposiciones. En caso de contar con dos o más garantías de un mismo tipo, el valor de estas deberá ser considerado en conjunto. En el caso de ingresos propios cedidos a un fideicomiso de administración y fuente de pago o algún otro tipo de instrumento legal que cumpla los mismos fines, se considerará el monto comprometido de los próximos 12 meses. En caso de que el fideicomiso tenga alguna cuenta de reserva que funja como respaldo para el pago del crédito correspondiente, esta se sumará al monto anual mencionado anteriormente. |
|
EIEi |
= |
Exposición al Incumplimiento Estimada del i-ésimo crédito. Cuando la EIEi esté garantizada con ingresos propios cedidos a un fideicomiso de administración y fuente de pago o algún otro tipo de instrumento legal que cumpla los mismos fines, se considerará como el flujo estimado de deuda de los próximos 12 meses (incluyendo capital e intereses). En el caso de que la deuda esté referida directa o indirectamente a tasa variable y no cuente con algún mecanismo de cobertura de tasa, el flujo estimado anual de deuda deberá multiplicarse por 110 (ciento diez) por ciento. |
III. Para efectos de determinar SPi** aplicable, se considerarán las garantías no financieras únicamente cuando cumplan con los requisitos del Anexo 21 de las presentes disposiciones y el coeficiente CiGNF sea mayor o igual a C*, es decir, cuando dicho coeficiente alcance o supere el nivel mínimo de cobertura admisible.
IV. Para cada tipo de garantía deberá utilizarse la SPi** y los niveles C* y C** establecidos en la tabla contenida en la fracción I anterior.
V. Se asignará a la operación directamente la SPi** relacionada con el tipo de garantía, cuando el coeficiente CiGNF sea mayor o igual a C**, es decir, cuando dicho coeficiente alcance o supere el nivel de sobre cobertura.
VI. Para créditos cuyo coeficiente CiGNF se encuentre entre los niveles C* y C**, se aplicará lo siguiente:
a) Para cada crédito deberá identificarse la porción plenamente cubierta, dividendo el valor de la garantía no financiera entre el nivel C** que corresponda al tipo de garantía no financiera (Ci / C**), de conformidad con la tabla contenida en la fracción I del presente artículo. A dicha porción cubierta se le asignará la SPi** asociada al referido nivel C**.
b) La porción expuesta se obtendrá restando a la EIEi la porción plenamente cubierta determinada conforme al inciso a) anterior. A esta porción se le asignará una SPi de conformidad con lo establecido en el artículo 93 Bis 3 de las presentes disposiciones.
VII. A las operaciones en donde CiGNF sea menor que C*, se les asignará una SPi** igual a la obtenida según lo establecido en el artículo 93 Bis 3 de las presentes disposiciones.
Cuando se reciban garantías otorgadas por entidades financieras, sean estas nacionales o extranjeras, cuya validez esté sujeta al cumplimiento de términos y condiciones por parte de la unión de crédito acreedora de la garantía y los incumpla, no deberá tomarse en cuenta la garantía para efectos de lo establecido en el presente artículo.
Artículo 96.- Las uniones de crédito emplearán la misma Probabilidad de Incumplimiento para todos los créditos de un mismo acreditado.
En caso de existir obligados solidarios o avalistas, la unión de crédito deberá aplicar los siguientes criterios:
I. En caso de existir un solo obligado solidario o avalista que responda por la totalidad de la responsabilidad del acreditado, se podrá sustituir la Probabilidad de Incumplimiento del acreditado por la del obligado solidario o avalista, obtenida, en cualquier caso, de acuerdo con la metodología que corresponda a dicho obligado.
II. En caso de que existan 2 o más avalistas que, de manera individual respondan por la totalidad de la responsabilidad del acreditado, se considerará para la sustitución la Probabilidad de Incumplimiento del acreditado, aquella que resulte inferior entre las Probabilidades de Incumplimiento de los obligados, después de seguir el procedimiento indicado en la fracción I del presente artículo.
III. Las uniones de crédito podrán reconocer la protección de avales que cubran una parte del saldo del crédito. Para obtener las reservas preventivas se empleará el procedimiento que a continuación se indica:
a) Se identificará la parte cubierta por cada uno de los avalistas y la parte expuesta del crédito.
b) Las reservas de la parte cubierta por cada uno de los avalistas se determinarán conforme a la fracción I anterior.
c) Las reservas de la parte expuesta se determinarán utilizando la Probabilidad de Incumplimiento y la Severidad de la Pérdida del acreditado de conformidad con lo dispuesto en la presente sección.
En los casos donde la unión de crédito no cuente con información para determinar la Probabilidad de Incumplimiento del obligado solidario o avalista, deberán calcularla de acuerdo con lo establecido en el artículo 112 de la Circular Única de Bancos.
Artículo 96 Bis.- En caso de que las uniones de crédito cuenten con Esquemas de Cobertura en Paso y Medida o Esquemas de Cobertura de Primeras Pérdidas para un crédito comercial o para un portafolios de créditos comerciales identificados y con características similares, únicamente serán reconocidos, para efectos de calificación de cartera, las personas contenidas en los grupos 1, 2 y 3 indicados en el artículo 96 Bis 1 de las presentes disposiciones, debiendo aplicar el procedimiento siguiente:
I. Las uniones de crédito que sean beneficiarias de un Esquema de Cobertura en Paso y Medida, deberán constituir el monto de reservas preventivas aplicando el procedimiento siguiente:
a) Deberán constituir el monto de reservas preventivas para la parte expuesta del crédito que resulte de la aplicación de la fórmula siguiente:
![]()
Donde:
|
RPaMed_i |
= |
Monto de reservas a constituir para el i-ésimo crédito cubierto. |
|
Reservas Etapa Zi |
= |
Monto de reservas a constituir conforme al artículo 93 de las presentes disposiciones, donde Z corresponde a la etapa de riesgo crediticio 1, 2 o 3 según se trate, del i-ésimo crédito. |
|
%CobPaMed_i |
= |
Porcentaje cubierto de acuerdo con el contrato del Esquema de Cobertura en Paso y Medida que corresponda al i-ésimo crédito en particular. |
b) Adicionalmente, las uniones de crédito constituirán el monto de reservas preventivas correspondiente a la parte cubierta del crédito, conforme a lo siguiente:
1. En el caso de que se cuente con Proveedores de Protección de los listados en el grupo 1, el porcentaje de estimaciones que corresponderá a la parte cubierta será del 0.5 por ciento.
2. En el caso de que se cuente con Proveedores de Protección de los listados en el grupo 2, el porcentaje de estimaciones que corresponderá a la parte cubierta será del 1 por ciento.
3. En el caso de que se cuente con Proveedores de Protección de los listados en el grupo 3, las reservas preventivas correspondientes a la parte cubierta del crédito se constituirán conforme la fórmula siguiente:
![]()
Donde:
RPCPaMed_i = Monto de reservas a constituir para la parte cubierta para el i-ésimo crédito.
EIi = La Exposición al Incumplimiento del i-ésimo crédito de conformidad con el artículo 93 Bis 4 de las presentes disposiciones.
PIGA_i = Probabilidad de Incumplimiento del garante del i-ésimo crédito, en los términos de la metodología descrita en la presente sección.
SPGA_i = La Severidad de la Pérdida del garante del i-ésimo crédito, conforme al artículo 93 Bis 3 de las presentes disposiciones.
%CobPaMed_i= Porcentaje cubierto de acuerdo con el contrato del Esquema de Cobertura en Paso y Medida que corresponda al i-ésimo crédito en particular.
II. Las uniones de crédito que sean beneficiarias de un Esquema de Cobertura de Primeras Pérdidas, constituirán las reservas para el portafolios después del reconocimiento de la cobertura del Esquema de Primeras Pérdidas (RPCPP), utilizando el procedimiento siguiente:
a) Deberán determinar el porcentaje cubierto y el porcentaje de reservas totales sin cobertura del crédito o portafolios beneficiario del Esquema de Cobertura de Primeras Pérdidas.
1. Se determinará el porcentaje cubierto por el Esquema de Cobertura de Primeras Pérdidas (%CobPP)
![]()
Donde:
%CobPP = Porcentaje cubierto por Esquema de Cobertura de Primeras Pérdidas.
Mto_CobPP = Monto limitado destinado a cubrir las primeras pérdidas que pudieran generarse del incumplimiento de un crédito o un portafolios con un número determinado de créditos a la fecha de calificación.
= Suma de los saldos insolutos de los créditos, de
conformidad con el artículo 93 Bis 4 de las presentes disposiciones, cuando el
Esquema de Cobertura de Primeras Pérdidas ampare un portafolios de créditos. En
caso de que el esquema ampare un solo crédito, el denominador se sustituirá por
el saldo insoluto de dicho crédito.
2. El porcentaje de reservas totales sin cobertura del portafolios beneficiario del Esquema de Cobertura de Primeras Pérdidas, es la diferencia entre el porcentaje de reservas totales del portafolios antes del reconocimiento del beneficio de la cobertura y el porcentaje cubierto por el Esquema de Cobertura de Primeras Pérdidas (Difpp). Esta diferencia proporciona el porcentaje de reservas totales del portafolios que no está cubierto por el esquema y se obtiene de la siguiente expresión:
![]()
Donde:
|
%RVASCoP |
= |
Porcentaje de reservas totales del crédito o portafolios beneficiario del Esquema de Cobertura de Primeras Pérdidas.
|
|
RVASCoP |
= |
Reservas totales del crédito o de los “n” créditos del portafolios antes del reconocimiento de la cobertura del Esquema de Primeras Pérdidas, es decir, sin considerar mitigantes de la Severidad de la Pérdida aplicables según lo señale el contrato del esquema de garantías vigentes en la fecha de calificación que se calculará de acuerdo con la siguiente expresión:
|
|
|
= |
Suma de los saldos insolutos de los créditos, de conformidad con el Artículo 93 Bis 4 de las presentes disposiciones, cuando el Esquema de Cobertura de Primeras Pérdidas ampare un portafolios de créditos. En caso de que el esquema ampare un solo crédito, el denominador se sustituirá por el saldo insoluto de dicho crédito. |
|
Reservas Etapa Zi |
= |
Montos de reservas a constituir conforme al artículo 93 de las presentes disposiciones, donde Z corresponde a la etapa de riesgo crediticio 1, 2 o 3, según se trate. |
|
%CobPP |
= |
Conforme a lo establecido en el numeral 1 anterior. |
b) Deberán obtener el monto de reservas de la parte expuesta del portafolios después del reconocimiento del beneficio de la cobertura del Esquema de Cobertura de Primeras Pérdidas (RPEpp), ajustándose a lo siguiente:
1. Si el valor de Difpp es igual o menor a cero, las uniones de crédito no deberán constituir reservas para el portafolios beneficiario del Esquema de Cobertura de Primeras Pérdidas, salvo por lo establecido en el inciso c) siguiente.
2. Si el valor de Difpp es mayor a cero, las uniones de crédito deberán constituir las reservas hasta por el monto que, sumadas al valor de la garantía, sean iguales al monto total de reservas del portafolios, es decir:
RPEPP = RVAS_Portafolios – Mto_CobPP
Donde:
RPEPP = Monto de reservas a constituir de la parte expuesta del portafolios después del reconocimiento del beneficio de la cobertura del Esquema de Cobertura de Primeras Pérdidas.
RVAS_Portafolios = Reservas totales de los “n” créditos del portafolios antes del reconocimiento de la cobertura del Esquema de Primeras Pérdidas, es decir, sin considerar mitigantes de la Severidad de la Pérdida aplicables según lo señale el contrato del esquema de garantías vigentes en la fecha de calificación.
Mto_Cob PP = Monto limitado destinado a cubrir las primeras pérdidas que pudieran generarse del incumplimiento de un crédito o un portafolios con un número determinado de créditos.
c) Adicionalmente, las uniones de crédito, para el portafolios beneficiario del Esquema de Cobertura de Primeras Pérdidas de créditos identificados y con características similares, constituirán el monto de reservas preventivas correspondiente a la parte cubierta del crédito, conforme a lo siguiente:
1. En el caso de que se cuente con Proveedores de Protección de los listados en el Grupo 1 del artículo 96 Bis 1 de las presentes disposiciones, el porcentaje de estimaciones que corresponderá a la parte cubierta será del 0.5 por ciento.
2. En el caso de que se cuente con Proveedores de Protección de los listados en el Grupo 2 del artículo 96 Bis 1 de las presentes disposiciones, el porcentaje de estimaciones que corresponderá a la parte cubierta será del 1 por ciento.
3. En el caso de que se cuente con Proveedores de Protección de los listados en el Grupo 3 del artículo 96 Bis 1 de las presentes disposiciones, las reservas preventivas correspondientes a la parte cubierta del crédito se constituirán al multiplicar la Probabilidad de Incumplimiento y la Severidad de la Pérdida del garante por el monto mínimo entre las reservas totales de los “n” créditos del portafolios antes del reconocimiento de la cobertura del Esquema de Primeras Pérdidas y el monto limitado destinado a cubrir las primeras pérdidas que pudieran generarse del incumplimiento de un crédito o un portafolios con un número determinado de créditos.
![]()
Donde:
RPCPP = Monto de reservas a constituir por la proporción del portafolios cubierto.
PIGA = Probabilidad de Incumplimiento del garante en los términos de la metodología descrita en la presente sección.
SPGA = La Severidad de la Pérdida del garante conforme al artículo 93 Bis 3 de las presentes disposiciones.
Mto_CobPP = Monto limitado destinado a cubrir las primeras pérdidas que pudieran generarse del incumplimiento de un crédito o un portafolios con un número determinado de créditos.
Rvas_Portafolios = Reservas totales de los “n” créditos del portafolios antes del reconocimiento de la cobertura del Esquema de Primeras Pérdidas, es decir, sin considerar mitigantes de la Severidad de la Pérdida aplicables según lo señale el contrato del esquema de garantías vigentes en la fecha de calificación.
En el evento de que a la parte expuesta del crédito le corresponda una Probabilidad de Incumplimiento menor a la que le corresponde a la parte cubierta, según lo señalado en el numeral 3 de los incisos b) y c), de las fracciones I y II, respectivamente, del presente artículo, las uniones de crédito podrán utilizar la Probabilidad de Incumplimiento menor para toda la operación.
Para que las uniones de crédito puedan reconocer las garantías y asignar la estimación correspondiente a los tramos cubiertos del crédito o del portafolios, deberá existir evidencia de cumplimiento de los términos y condiciones establecidos por los Proveedores de Protección en relación con la información que estos requieran, así como del cumplimiento de los procesos que, en su caso, se establezcan en los contratos correspondientes.
Artículo 96 Bis 1.- Tanto en Esquemas de Cobertura de Primeras Pérdidas, como en Esquemas de Cobertura en Paso y Medida o proporcionales, únicamente serán reconocidos, para efectos de calificación de cartera, los siguientes grupos de Proveedores de Protección admisibles:
I. Grupo 1:
a) Instituciones de banca de desarrollo.
b) Fideicomisos públicos que formen parte del sistema financiero mexicano acorde con el artículo 3o. de la Ley de Instituciones de Crédito.
c) Fideicomisos celebrados específicamente con la finalidad de compartir el riesgo de crédito, en los cuales actúen como fideicomitentes y fiduciarias las instituciones de banca de desarrollo que cuenten con garantía expresa del Gobierno Federal.
d) El Fondo Nacional de Garantías de los Sectores Agropecuario, Forestal, Pesquero y Rural, o el que lo sustituya.
e) Fondo Nacional de Infraestructura, o el que lo sustituya.
f) Gobiernos centrales de países extranjeros y sus bancos centrales que cuenten con Alto Grado de Inversión.
g) Entidades de la Administración Pública Federal bajo control presupuestario directo, empresas productivas del Estado o programas derivados de una ley federal que formen parte del Presupuesto de Egresos de la Federación.
II. Grupo 2:
a) Instituciones de banca múltiple nacionales que cuenten con calificación de, al menos, Grado de Inversión y sociedades controladoras de la acreditada.
b) Otras entidades integrantes del sistema financiero mexicano y aseguradoras que cuenten, al menos, con Grado de Inversión.
c) Gobiernos centrales de países extranjero, sus bancos centrales, entidades financieras internacionales que cuenten con Grado de Inversión.
d) Otras entidades con al menos Grado de Inversión incluyendo en su caso las sociedades controladoras, filiales o empresas pertenecientes al mismo grupo.
e) Programas derivados de una Ley Federal que se establezcan en el Presupuesto de Egresos de la Federación.
III. Grupo 3:
a) Garantías personales de otros socios de la misma unión de crédito.
Artículo 97.- Las uniones de crédito podrán aplicar factores de ajuste a las estimaciones preventivas conforme a lo señalado a continuación:
I. En el caso de créditos destinados a financiar la actividad primaria del sector agropecuario que cuenten con un seguro de daños agrícolas y de animales, que cumpla con las características a las que se refiere el Anexo 21, fracción X, de las presentes disposiciones, las uniones de crédito podrán multiplicar las estimaciones que correspondan al acreditado directo por un factor del 95 %, en tanto no se presente una reclamación del seguro.
Para efectos del párrafo anterior, se entenderá por “créditos al sector agropecuario y rural” a aquellos dirigidos a la producción primaria de los sectores agrícola, ganadero, forestal y pesquero, así como a los sectores industrial, comercio y servicios cuando estos estén integrados a la actividad primaria de los sectores mencionados inicialmente, cuyas ramas y subramas de actividad económica corresponden a las señaladas como sector 11 del Sistema de Clasificación Industrial de América del Norte 2018 (SCIAN) del Instituto Nacional de Estadística y Geografía (INEGI), o el que lo sustituya.
En caso de que la unión de crédito acreditante realice una reclamación a la entidad otorgante del seguro y dicha entidad la acepte, en tanto no se haya ejecutado o pagado el monto cubierto y, por lo tanto, no se haya realizado la baja del crédito del estado de situación financiera de la unión de crédito, esta podrá calcular las estimaciones multiplicando el saldo del crédito cubierto por 0.5 % cuando la citada entidad otorgante del seguro cuente con una Calificación de Grado de Inversión.
Las garantías constituidas conforme a la presente fracción podrán cubrir la totalidad o un determinado porcentaje del saldo insoluto de uno o más créditos, cuando en los contratos de depósito o en las modificaciones a estos se prevea que no existe la posibilidad de hacer retiros o disponer de las referidas garantías durante la vigencia de los créditos, y que estos se podrán cubrir con cargo a tales depósitos o valores.
II. Tratándose de créditos destinados a financiar la actividad primaria del sector agropecuario, o bien la comercialización de los productos agropecuarios que cuenten con una cobertura de precios a través de opciones, que cumpla con lo siguiente:
a) Los contratos que documenten la cobertura incluyan como beneficiaria directamente a la unión de crédito acreditante, o bien exista algún instrumento jurídico en el que se prevea que la unión de crédito recibirá el pago de la cobertura en caso de que esta se ejerza.
b) Al momento del otorgamiento del crédito se cubra, en su totalidad, la fuente de pago correspondiente.
c) La cobertura de precio sea acorde con la posición como comprador o vendedor que mantiene el acreditado, y siempre que el precio del subyacente de la cobertura y el precio de los bienes que cubra el acreditado, estén correlacionados, para lo cual la unión de crédito deberá contar con evidencia estadística e histórica de que existe una correlación significativa y del signo correspondiente a la posición de cobertura pactada, previo al otorgamiento del crédito.
d) Las coberturas de precios en la modalidad como comprador o como vendedor se adquieran en mercados autorizados o reconocidos por las autoridades mexicanas.
e) El pago de la prima se cubra conforme a lo establecido contractualmente.
f) La liquidación de la cobertura se realice en efectivo y que los recursos provenientes de dicha liquidación estén disponibles para las uniones de crédito en un máximo de dos días hábiles siguientes a la fecha en la que finalice la cobertura.
Las uniones de crédito podrán multiplicar las estimaciones que correspondan al crédito por un factor del 93 por ciento, en tanto no se presente el ejercicio de la cobertura de precio. Cuando la unión de crédito reciba el pago de la cobertura de precio contratada sin que dicha entidad hubiese realizado la baja del crédito de su estado de situación financiera, esta deberá calcular el monto de las reservas de conformidad con lo establecido en el artículo 96 Bis, fracción I, inciso a) de las presentes disposiciones.
Los créditos destinados a financiar la actividad primaria del sector agropecuario que, además de contar con una cobertura de precios en los términos señalados en la fracción II de este artículo, cuenten con el seguro de daños agrícolas y de animales señalado en la fracción I de este artículo, podrán reconocer la cobertura conjunta siempre y cuando en lo individual ambas coberturas cumplan con las condiciones para disminuir las estimaciones preventivas del crédito de que se trate y ninguno de los riesgos cubiertos por los mitigantes se haya materializado.
Cuando se cumpla con lo anterior, las uniones de crédito podrán multiplicar las estimaciones que correspondan al crédito por un factor del 88 %.
Artículo 98.- Las uniones de crédito, al calificar créditos que cuenten con 2 o más garantías, una vez asignada la calificación inicial a cada crédito, podrán segmentar el saldo insoluto del crédito en las partes que resulten de aplicar los criterios siguientes:
I. Determinarán la parte del saldo que se encuentre cubierta por 2 o más garantías, ya sea que se trate de medios de pago con liquidez inmediata, garantías no financieras o Esquemas de Cobertura en Paso y Medida o Esquemas de Cobertura de Primeras Pérdidas, así como la parte del saldo expuesta por las garantías admisibles.
II. Aplicarán a la parte cubierta del saldo, en función del tipo de garantías que se hubieren otorgado, el procedimiento siguiente:
a) Si cuenta con 2 o más Esquemas de Cobertura en Paso y Medida o Esquema de Cobertura de Primeras Pérdidas, cada Proveedor de Protección debe responder por la parte garantizada del saldo del crédito, siempre que no existan entre los propios Proveedores de Protección excepciones o defensas de prelación de orden al cobro.
b) Si cuenta con 2 o más garantías constituidas con medios de pago con liquidez inmediata o garantías no financieras, cada una de ellas debe cubrir la parte garantizada del saldo del crédito, siempre que se haya pactado de manera expresa en los contratos que den origen a la garantía, la parte del crédito que quedará garantizada con cada bien gravado.
c) Tratándose de combinaciones de Esquemas de Cobertura de Paso y Medida o Esquemas de Cobertura de Primeras Pérdidas y medios de pago con liquidez inmediata o garantías no financieras, se podrán considerar cada una de ellas, siempre que estas sean ejecutables al momento de la calificación y cumplan con los requisitos establecidos en las fracciones I y II del presente artículo.
Apartado B
De la constitución de estimaciones y su clasificación por grado de riesgo
(Derogado)
Artículo 99.- (Derogado)”
“Artículo 100.- Las uniones de crédito deberán constituir trimestralmente provisiones adicionales que reconozcan las potenciales pérdidas de valor por el paso del tiempo de los bienes adjudicados judicial o extrajudicialmente o recibidos en dación en pago, ya sean bienes muebles o inmuebles, así como los derechos de cobro y los instrumentos financieros que se hayan recibido como bienes adjudicados o recibidos en dación en pago, de acuerdo con el procedimiento siguiente:
I. . . .
II. Tratándose de instrumentos financieros, deberán valuarse según lo establecido en la NIF C-2 “Inversiones en Valores”, con estados financieros auditados anuales y reportes mensuales.
Una vez valuadas las adjudicaciones o daciones en pago sobre instrumentos financieros deberán constituirse las estimaciones que resulten de la aplicación de los porcentajes de la tabla contenida en la fracción I del presente artículo, al valor estimado conforme al párrafo anterior.
III. . . .
. . .
. . .
Artículo 101.- Las uniones de crédito deberán proporcionar mensualmente a la Comisión, los resultados de la calificación de la Cartera Crediticia Comercial, derivados del proceso de aplicación de las metodologías señaladas en las presentes disposiciones.
Artículo 101 Bis.- El resultado del provisionamiento por tenencia de bienes adjudicados o recibidos en dación en pago, obtenidos conforme a lo establecido en el Apartado C “De las estimaciones por tenencia de bienes adjudicados o recibidos en dación de pagos”, de esta sección, deberá presentarse por las uniones de crédito a la Comisión, conforme al Anexo 23 de estas disposiciones, a más tardar dentro de los 30 días naturales siguientes al cierre de los meses de marzo, junio, septiembre y diciembre.
Sección Segunda
De la clasificación de las estimaciones preventivas
(Derogada)
Artículo 102.- (Derogado)
Artículo 103.- (Derogado)
Sección Tercera
Presentación de resultados
(Derogada)
Artículo 104.- (Derogado)
Artículo 105.- (Derogado)”
“Capítulo VI
. . .
Sección Primera
De la contabilidad, de la valuación de Valores y demás instrumentos financieros, así como de la información financiera y su revelación
Apartado A
. . .
Artículo 139.- . . .
SalvoC que se especifique lo contrario, los términos definidos en el artículo 1 de estas disposiciones no son aplicables al presente capítulo, ni al Anexo 4 del presente instrumento. Asimismo, los términos definidos en el Anexo 4 no son aplicables al resto de estas disposiciones.
Artículo 140.- . . .
Serie A . . .
Serie B . . .
B-1 Efectivo y equivalentes de efectivo
B-2 (Derogado)
B-3 . . .
B-4 (Derogado)
B-5 . . .
B-6 . . .
B-7 . . .
B-8 . . .
B-9 . . .
B-10 (Derogado)
Serie C . . .
C-1 (Derogado)
C-2 (Derogado)
C-3 Operaciones de bursatilización
Serie D . . .
D-1 Estado de situación financiera
D-2 Estado de resultado integral
D-3 Estado de cambios en el capital contable
D-4 . . .
Artículo 141.- En caso de que existan condiciones de carácter sistémico que puedan afectar la solvencia o estabilidad de más de una unión de crédito, la Comisión podrá emitir criterios contables especiales.
Asimismo, la Comisión podrá autorizar a las uniones de crédito que lleven a cabo procesos de saneamiento financiero, o de reestructuración corporativa, registros contables especiales que procuren su adecuada solvencia o estabilidad.
En todo caso, las uniones de crédito deberán revelar en las notas aclaratorias a los estados financieros y en los comunicados públicos de información financiera, al menos, lo siguiente:
I. Que cuentan con autorización de la Comisión para aplicar el registro contable especial de que se trata por encontrarse en un proceso de saneamiento financiero o reestructuración corporativa, o bien con un criterio contable especial en términos de lo dispuesto por el primer párrafo del presente artículo, especificando el periodo por el cual se cuenta con la autorización para aplicar el criterio o registro.
II. Una amplia explicación de los criterios o registros contables especiales aplicados, así como los que se debieron haber realizado de conformidad con los Criterios Contables.
III. Los importes que se hubieran registrado y presentado, tanto en el estado de situación financiera como en el estado de resultado integral de no contar con la autorización para aplicar el criterio o registro contable especial.
IV. Una explicación detallada sobre los conceptos y montos por los cuales se realizó la afectación contable.
V. En su caso, el impacto que la aplicación de dichos registros y criterios contables especiales genera en sus indicadores de solvencia y liquidez.
Tratándose de estados financieros anuales, dicha revelación deberá hacerse a través de una nota específica.
Artículo 141 Bis.- La Comisión podrá revocar los criterios o registros contables especiales a que se refiere el artículo 141 de estas disposiciones cuando las uniones de crédito no cumplan con los siguientes aspectos:
I. Los requisitos de revelación antes señalados.
II. La revelación e información adicional que le sea requerida por la Comisión.
III. Las especificaciones en la aplicación del registro o criterio contable autorizado.
Apartado B
. . .
Subapartado A
Disposiciones generales
Artículo 142.- Las disposiciones previstas en este Apartado tienen por objeto establecer los requisitos que deberán seguir las uniones de crédito en materia de valuación de los Valores y demás instrumentos financieros que formen parte de su estado de situación financiera.
Artículo 142 Bis.- Para efectos del presente Apartado, se entenderá por:
I. Datos de Entrada, a la información que las uniones de crédito utilicen para fijar el precio de los Valores y demás instrumentos financieros.
II. Datos de Entrada Observables, a los datos disponibles en el mercado, tales como información pública sobre los sucesos, hechos, transacciones reales o tasas de referencia que se reflejan en el precio de los Valores y demás instrumentos financieros.
III. Estado de Cuenta, en singular o plural, al documento a que hace referencia el artículo 13 de la Ley para la Transparencia y Ordenamiento de los Servicios Financieros y en el cual se presentan los saldos y detallan los movimientos observados en las operaciones de inversión contratadas por una unión de crédito.
IV. Medio de Consulta, en singular o plural, a los medios para realizar la consulta de los Estados de Cuenta por parte de las uniones de crédito acordados con las entidades financieras donde aquellas mantengan las cuentas de inversión a que hace referencia el artículo 13 de la Ley para la Transparencia y Ordenamiento de los Servicios Financieros.
V. Precio Actualizado para Valuación, al precio de mercado o teórico para cada uno de los Valores y demás instrumentos financieros, obtenido a partir de los Estados de Cuenta que las entidades financieras entreguen a las uniones de crédito, o bien al precio de mercado o teórico obtenido con base en algoritmos, criterios técnicos y estadísticos, así como en modelos de valuación, contenidos en una metodología desarrollada por un Proveedor de Precios o en un Modelo de Valuación Interno desarrollado por las uniones de crédito, según se trate.
VI. Valuación Directa a Vector, al procedimiento de multiplicar el número de títulos o contratos en posición por el Precio Actualizado para Valuación reportado en el Estado de Cuenta, determinado por las entidades financieras en las que las uniones de crédito mantengan cuentas de inversión o, en su caso, el realizado por las uniones de crédito utilizando el Precio Actualizado para Valuación proporcionado por un Proveedor de Precios.
Artículo 142 Bis 1.- Las uniones de crédito que inviertan únicamente en los Valores o instrumentos financieros que se detallan en las fracciones siguientes, podrán utilizar para su valuación el Precio Actualizado para Valuación proporcionado por un Proveedor de Precios, o bien el obtenido a partir de los Estados de Cuenta.
I. Valores Gubernamentales.
II. Títulos bancarios.
III. Valores de fondos de inversión en instrumentos de deuda.
Cuando las inversiones realizadas por las uniones de crédito sean distintas a las referidas en las fracciones anteriores, deberán utilizar para la valuación de sus Valores y demás instrumentos financieros el Precio Actualizado para Valuación proporcionado por un Proveedor de Precios.
La opción que las uniones de crédito seleccionen de las descritas en el párrafo primero de este artículo, deberá ser aplicada por ejercicios completos.
En caso de que las uniones de crédito estén utilizando el Precio Actualizado para Valuación proporcionado por un Proveedor de Precios y decidan reanudar el uso de Estados de Cuenta, deberán dar aviso de esta situación a la Comisión con, al menos, diez días naturales de anticipación.
Artículo 143.- Las uniones de crédito, deberán aplicar la Valuación Directa a Vector sobre los Valores y demás instrumentos financieros que, de conformidad con su régimen de inversión y las disposiciones aplicables, puedan formar parte de su estado de situación financiera.
Tratándose de cartera de crédito, las uniones de crédito deberán ajustarse a las reglas de valuación establecidas en los Criterios Contables a que se refiere la Sección Primera del presente Capítulo, así como a las disposiciones aplicables en materia de calificación de cartera crediticia a que se refieren estas disposiciones.
Las uniones de crédito utilizarán Modelos de Valuación Internos para obtener el Precio Actualizado para Valuación, siempre que se ajusten a lo establecido en el artículo 144 de las presentes disposiciones y no se trate de alguno de los instrumentos financieros siguientes:
I. Valores inscritos en el Registro o autorizados, inscritos o regulados en mercados reconocidos por la Comisión mediante disposiciones de carácter general.
II. Instrumentos financieros derivados que coticen en bolsas de derivados nacionales o que pertenezcan a mercados reconocidos por el Banco de México, con excepción de los contratos de intercambio (swaps).
III. Activos subyacentes y demás instrumentos financieros que formen parte de las Operaciones Estructuradas o Paquetes de Derivados, cuando se trate de Valores o instrumentos financieros previstos en las fracciones I y II anteriores.
Para los instrumentos señalados en las fracciones II y III anteriores, las uniones de crédito deberán considerar el Precio Actualizado para Valuación que les proporcione el Proveedor de Precios que tengan contratado.
Artículo 143 Bis.- Las uniones de crédito reconocerán los Precios Actualizados para Valuación de manera diaria en su contabilidad para la determinación del valor razonable de los Valores y demás instrumentos financieros que conformen su estado de situación financiera, considerando la información dada a conocer por las entidades financieras o por su Proveedor de Precios, o bien el Precio Actualizado para Valuación calculado a través de Modelos de Valuación Internos cuando resulte aplicable en los términos de las presentes disposiciones.
Subapartado B
De los Modelos de Valuación Internos
Artículo 144.- Las uniones de crédito que elaboren estados financieros que contengan información sobre Valores y demás instrumentos financieros, cuyo Precio Actualizado para Valuación haya sido determinado a través de la aplicación de Modelos de Valuación Internos, deberán ajustarse a lo siguiente:
I. . . .
II. En los Modelos de Valuación Internos, las uniones de crédito deberán utilizar la información relativa a las tasas de interés, tipos de cambio, volatilidades y demás insumos, proporcionados por su Proveedor de Precios, sin importar sus características, incluyendo la información relativa a aquellos activos subyacentes y demás instrumentos financieros a que se refiere el artículo 143, fracción III de las presentes disposiciones. Cuando el Proveedor de Precios no emita dicha información podrá emplearse la emitida por fuentes distintas, debiendo documentar las políticas para su obtención, así como privilegiar el uso de Datos de Entrada Observables.
III. Mantener un registro en el que se asiente diariamente el Precio Actualizado para Valuación calculado para cada uno de los Valores y demás instrumentos financieros, y la información utilizada para realizar dicho cálculo. La información a que se refiere la presente fracción deberá ser conservada por un periodo de cinco años por la unión de crédito.
IV. El Consejo deberá estar informado sobre las posibles incertidumbres que conlleva la valuación de las posiciones con Modelos de Valuación dentro de la medición de riesgos y el desempeño del negocio.
V. Las unidades encargadas del desarrollo de los Modelos de Valuación Internos deberán ser independientes de aquellas encargadas de realizar las revisiones y validaciones referidas en la fracción VI del presente artículo.
VI. Revisar y validar sus Modelos de Valuación Internos previo a la aprobación a que se refiere la fracción I del presente artículo, así como llevar a cabo dicha revisión y validación periódica de los Modelos de Valuación Internos, con el fin de verificar que estos sigan siendo precisos y adecuados, incluyendo para ello la revisión periódica de la validez y adecuación de las tasas de interés, tipos de cambio, volatilidades y demás insumos de referencia utilizados por dichos modelos y proporcionados por el Proveedor de Precios de la unión de crédito. La referida revisión y validación deberá ser realizada por unidades calificadas independientes a las unidades de negocio, pudiendo ser el área de Auditoría Interna la encargada de realizar dicha tarea.
La información señalada en la fracción I anterior deberá ser entregada a través de imágenes de formato digital, en medios ópticos o magnéticos a la Comisión dentro de los treinta días naturales siguientes a la aprobación del Consejo, con excepción de las modificaciones a los Modelos de Valuación Internos que deberán ser entregados a la Comisión dentro de los dos días naturales siguientes a su aprobación.
La Comisión tendrá la facultad de veto respecto de los Modelos de Valuación Internos, así como sobre las modificaciones a los propios modelos o a los insumos utilizados para la determinación del Precio Actualizado para Valuación, dentro de un plazo de diez días hábiles contados a partir de la fecha de recepción de la información a que se refiere el párrafo anterior. Asimismo, la información a que se refiere el presente artículo deberá quedar debidamente documentada y puesta a disposición de la Comisión cuando esta la requiera.
Artículo 144 Bis.- Las uniones de crédito deberán establecer y mantener adecuados sistemas y controles para demostrar que sus valuaciones son prudentes y confiables, así como documentar las políticas y procedimientos utilizados en la valuación de sus posiciones incluyendo, dentro de la documentación referida, al menos lo siguiente:
I. Las responsabilidades de las diversas áreas involucradas en el proceso de valuación, las cuales deberán estar claramente definidas y estipuladas.
II. Las directrices para el uso de las metodologías de estimación de las variables que no sean proporcionadas directamente por el Proveedor de Precios de la unión de crédito a que se refiere el artículo 144, fracción I, inciso b) de estas disposiciones.
III. La hora en la que se determina el precio de cierre de las posiciones.
IV. Cualquier procedimiento de verificación contenido en el presente Subapartado.
Subapartado C
De la contratación de Proveedores de Precios
Artículo 145.- El Consejo deberá aprobar la contratación de un solo Proveedor de Precios para los efectos de las presentes Disposiciones.
Artículo 146.- Las uniones de crédito deberán notificar por escrito a la Comisión, a través de formato libre y dentro de los diez días hábiles siguientes a la celebración del contrato respectivo, la denominación del Proveedor de Precios que contraten, anexando copia del contrato de servicios.
En caso de sustitución del Proveedor de Precios, esta deberá notificarse a la Comisión con treinta días naturales de anticipación utilizando un formato libre y anexando copia del contrato de servicios.
Artículo 147.- Las uniones de crédito deberán solicitar a su Proveedor de Precios la información necesaria para dar cumplimiento a los requerimientos de revelación de información sobre la determinación del Precio Actualizado para Valuación, contenidos en los Criterios Contables.
Artículo 148.- El área de auditoría interna de las uniones de crédito deberá llevar a cabo revisiones periódicas y sistemáticas acordes con su programa anual de trabajo, que permitan verificar el debido cumplimiento a lo establecido en el presente Apartado B.
Sección Segunda
. . .
Artículo 149.- . . .
Cuando en las presentes disposiciones se aluda al concepto de estados financieros básicos consolidados de las uniones de crédito y estas carezcan de entidades sujetas a consolidación conforme a los Criterios Contables, deberá entenderse que se hace referencia a estados financieros individuales.
Las uniones de crédito expresarán sus estados financieros básicos en miles de pesos, lo que se indicará en sus encabezados.
Artículo 150.- Las uniones de crédito deberán anotar al calce de los estados financieros básicos consolidados, las constancias siguientes:
I. Estado de situación financiera:
“El presente estado de situación financiera se formuló de conformidad con los criterios de contabilidad para uniones de crédito emitidos por la Comisión Nacional Bancaria y de Valores, con fundamento en lo dispuesto por los artículos 65, 67 y 74 de la Ley de Uniones de Crédito, de observancia general y obligatoria, aplicados de manera consistente, encontrándose reflejadas las operaciones efectuadas por la unión de crédito hasta la fecha arriba mencionada, las cuales se realizaron y valuaron con apego a sanas prácticas y a las disposiciones aplicables.
El presente estado de situación financiera fue aprobado por el consejo de administración bajo la responsabilidad de los directivos que lo suscriben.”
II. Estado de resultado integral:
“El presente estado de resultado integral se formuló de conformidad con los criterios de contabilidad para uniones de crédito emitidos por la Comisión Nacional Bancaria y de Valores, con fundamento en lo dispuesto por los artículos 65, 67 y 74 de la Ley de Uniones de Crédito, de observancia general y obligatoria, aplicados de manera consistente, encontrándose reflejados todos los ingresos y egresos derivados de las operaciones efectuadas por la unión de crédito durante el periodo arriba mencionado, las cuales se realizaron y valuaron con apego a sanas prácticas y a las disposiciones aplicables.
El presente estado de resultado integral fue aprobado por el consejo de administración bajo la responsabilidad de los directivos que lo suscriben.”
III. Estado de cambios en el capital contable:
“El presente estado de cambios en el capital contable se formuló de conformidad con los criterios de contabilidad para uniones de crédito emitidos por la Comisión Nacional Bancaria y de Valores, con fundamento en lo dispuesto por los artículos 65, 67 y 74 de la Ley de Uniones de Crédito, de observancia general y obligatoria, aplicados de manera consistente, encontrándose reflejados todos los movimientos en las cuentas de capital contable derivados de las operaciones efectuadas por la unión de crédito durante el periodo arriba mencionado, las cuales se realizaron y valuaron con apego a sanas prácticas y a las disposiciones aplicables.
El presente estado de cambios en el capital contable fue aprobado por el consejo de administración bajo la responsabilidad de los directivos que lo suscriben.”
IV. . . .
Artículo 151.- Las uniones de crédito deberán incluir en las notas aclaratorias a los estados financieros básicos consolidados, los hechos y datos que deban revelarse de conformidad con los Criterios Contables, expresando tal circunstancia al calce de dichos estados financieros con la constancia siguiente: “Las notas aclaratorias que se acompañan, forman parte integrante de este estado financiero”.
Asimismo, las uniones de crédito anotarán al calce de los estados financieros básicos consolidados a que se refiere el artículo anterior, el nombre de la página de Internet que corresponda a la unión de crédito, debiendo indicar también la liga mediante la cual se podrá acceder de forma directa a la información financiera a que se refieren los artículos 154, 155, 156 y 157 de las presentes disposiciones, así como el sitio de la Comisión https://www.gob.mx/cnbv en que podrán consultar aquella información financiera que, en cumplimiento de las disposiciones de carácter general, se le proporciona periódicamente a dicha Comisión.”
“Artículo 153.- Los estados financieros básicos consolidados con cifras a marzo, junio y septiembre de las uniones de crédito, deberán presentarse para aprobación al Consejo dentro del mes inmediato siguiente al de la fecha que correspondan, acompañados con la documentación complementaria de apoyo necesaria, a fin de que dicho Consejo cuente con elementos suficientes para conocer y evaluar las operaciones de mayor importancia, determinantes de los cambios fundamentales ocurridos durante el periodo correspondiente.
. . .
Artículo 154.- Las uniones de crédito deberán difundir a través de la página de Internet que corresponda a la propia unión de crédito, los estados financieros básicos consolidados anuales dictaminados con cifras a diciembre de cada año, incluyendo sus notas, así como el informe de auditoría externa realizado por el Auditor Externo Independiente, dentro de los noventa días naturales siguientes al cierre del ejercicio respectivo.
Artículo 155.- Las uniones de crédito deberán difundir a través de su página de Internet los estados financieros básicos consolidados con cifras a marzo, junio y septiembre, dentro del mes inmediato siguiente al de su fecha, incluyendo sus notas, atendiendo a la importancia relativa como característica asociada a la relevancia a que se refiere la NIF A-4 “Características cualitativas de los estados financieros”, o la que la sustituya, de las Normas de Información Financiera emitidas por el Consejo Mexicano de Normas de Información Financiera, A.C.”
“Artículo 157.- Para el caso en que las uniones de crédito decidan hacer pública, a través de su página de Internet, cualquier tipo de información que, de conformidad con las disposiciones aplicables no estén obligadas a dar a conocer, se deberá acompañar el detalle analítico y de las bases metodológicas que permitan comprender con claridad dicha información, facilitando así su adecuada interpretación.
Las uniones de crédito, al difundir a través de su página de Internet la información que estén obligadas a publicar de conformidad con los artículos 154, 155 y 156 de estas disposiciones y el primer párrafo del presente artículo, deberán mantenerla en dicho medio, cuando menos, durante los cinco trimestres siguientes a la fecha del estado financiero para el caso de la información que se publica de manera trimestral, y durante los tres años siguientes a dicha fecha tratándose de la anual.
Artículo 158.- Las uniones de crédito podrán difundir en su página de Internet el estado de situación financiera y el estado de resultado integral consolidados no dictaminados, siempre que hayan sido aprobados por el Consejo y se precise en notas aclaratorias tal circunstancia. Tal divulgación podrá efectuarse hasta en tanto no se cuente con los estados financieros dictaminados a que se refiere el artículo 154 de las presentes disposiciones.
. . .”
“Artículo 159 Bis.- Las uniones de crédito deberán entregar a la Comisión, dentro de los noventa días naturales siguientes a la fecha en que se hubieren presentado para la aprobación del Consejo los estados financieros básicos consolidados dictaminados al cierre del ejercicio correspondiente, copia certificada ante notario público del acta de la junta de dicho Consejo en que hayan sido aprobados dichos estados financieros, así como un informe anual del director general de la unión de crédito.
El informe anual a que hace referencia el párrafo anterior, deberá incluir los comentarios y análisis de la administración sobre los resultados de operación y situación financiera de la unión de crédito, el cual deberá contener información que facilite el análisis y la comprensión de los cambios importantes ocurridos en los resultados de operación y en la situación financiera de la unión de crédito y deberá estar suscrito, al menos, por su director general, incluyendo al calce la leyenda siguiente:
“El que suscribe manifiesta bajo protesta de decir verdad que, en el ámbito de mis funciones, preparé la información relativa a la unión de crédito contenida en el presente informe anual la cual, a mi leal saber y entender, refleja razonablemente su situación financiera, sus resultados de operación, sus cambios en el capital contable y sus flujos de efectivo”.
La información que se incluya en dicho informe será complementaria a la que aparece expresamente en los estados financieros básicos consolidados, por lo que no solo se deberá mencionar el crecimiento o decremento de los distintos rubros que integran los estados financieros básicos consolidados, sino la razón de estos movimientos, así como aquellos eventos conocidos por la administración que pudieran causar que la información difundida no refleje la situación financiera, los resultados de operación, los cambios en el capital contable y los flujos de efectivo de la unión de crédito.
Asimismo, en el informe se deberá identificar cualquier tendencia, compromiso o acontecimiento conocido que pueda afectar significativamente la liquidez de la unión de crédito, sus resultados de operación o su situación financiera, tales como cambios en la participación de mercado, incorporación de nuevos competidores, modificaciones normativas, lanzamiento y cambio en productos, entre otros.
El informe anual también identificará el comportamiento reciente en los siguientes conceptos:
I. Intereses, comisiones y tarifas.
II. Resultado por intermediación.
III. Gastos de administración y promoción.
IV. Descripción de las fuentes internas y externas de liquidez, así como una breve descripción de cualquier otra fuente de recursos importante aún no utilizada.
V. Política de pagos de excedentes o reinversión que la unión de crédito pretenda seguir en el futuro.
VI. Políticas que rigen la tesorería de la unión de crédito.
VII. Principales características y restricciones del fondo de reserva.
VIII. Cambios relevantes ocurridos en los principales rubros del estado de situación financiera del último ejercicio y su explicación, así como una exposición general de la evolución de dichos cambios durante los últimos tres ejercicios.
“Capítulo VII
Otras disposiciones
Artículo 159 Bis 1.- Las cesiones de cartera crediticia que celebren las uniones de crédito, a través de un fideicomiso cuya finalidad sea la emisión de Valores con cargo al patrimonio fideicomitido constituido por los activos de la cartera crediticia cedida, se considerarán operaciones análogas a las que determina el artículo 63 de la LUC.”
TRANSITORIOS
PRIMERO.- La presente Resolución entrará en vigor el 1 de enero de 2025, con excepción de las modificaciones al criterio “B-6 Bienes adjudicados” contenido en el Anexo 4, las cuales entrarán en vigor el primer día del mes calendario inmediato siguiente a la fecha de publicación de esta Resolución en el Diario Oficial de la Federación.
SEGUNDO.- Las uniones de crédito, respecto de los efectos provocados por los cambios contables con motivo de la aplicación de esta Resolución, deberán apegarse a lo establecido en la Norma de Información Financiera B-1 “Cambios contables y correcciones de errores”, aplicable a las uniones de crédito, de conformidad con lo establecido en el criterio A-2 “Aplicación de normas particulares”, contenido en el Anexo 4.
Las uniones de crédito deberán revelar en notas a los estados financieros, los principales cambios en la normatividad contable que afecten o pudieran afectar significativamente dichos estados financieros, así como la mecánica de adopción y los ajustes llevados a cabo en la determinación de los efectos iniciales de la aplicación de los Criterios Contables contenidos en la presente Resolución.
TERCERO.- Los estados financieros básicos consolidados trimestrales y anuales que, de conformidad con la presente Resolución, sean requeridos a las uniones de crédito, correspondientes al periodo concluido el 31 de diciembre de 2025, podrán no presentarse comparativos con cada trimestre del ejercicio 2024 ni por el periodo terminado el 31 de diciembre de 2024.
CUARTO.- Las pruebas que realicen las uniones de crédito de conformidad con los párrafos 44 y 45 del Criterio B-5 “Cartera de crédito” contenido en el Anexo 4 de las “Disposiciones de carácter general aplicables los almacenes generales de depósito, casas de cambio, uniones de crédito y sociedades financieras de objeto múltiple reguladas”, para determinar si los portafolios de cartera de crédito vigentes al 31 de diciembre de 2024 cumplen con el supuesto de que los flujos de efectivo de los contratos corresponden únicamente a pagos de principal e interés, deberán autorizarse por el comité de crédito de las uniones de crédito. Posteriormente, dichas pruebas y sus resultados deberán entregarse por escrito a la Comisión Nacional Bancaria y de Valores a más tardar el 28 de febrero de 2025.
QUINTO.- Toda referencia al “balance general” o al “estado de resultados” contenida en las “Disposiciones de carácter general aplicables a los almacenes generales de depósito, casas de cambio, uniones de crédito y sociedades financieras de objeto múltiple reguladas”, a la entrada en vigor de la presente Resolución, deberá de entenderse que se trata del “estado de situación financiera” y del “estado de resultado integral”, respectivamente. Asimismo, las referencias a la cartera vencida se entenderán por cartera con riesgo de crédito etapa 3. Lo anterior en consistencia con los “Criterios de Contabilidad aplicables a las uniones de crédito”, contenidos en el Anexo 4.
SEXTO.- Las uniones de crédito, a fin de constituir el monto total de estimaciones preventivas para riesgos crediticios que se derivan de la utilización de las metodologías que se sustituyen con el presente instrumento, deberán observar lo siguiente:
Se entenderá como efecto financiero inicial a la diferencia que resulte de restar las reservas que se deberán constituir conforme a este instrumento, aplicando la metodología vigente a partir del 1 de enero de 2025, utilizando el saldo total de la Cartera Crediticia Comercial al 31 de diciembre de 2024; menos, las reservas que se constituyeron con la metodología vigente hasta el 31 de diciembre de 2024, utilizando el saldo de la Cartera Crediticia Comercial al 31 de diciembre de 2024. Dicho cálculo deberá realizarse a la entrada en vigor de la presente Resolución.
Las uniones podrán optar por alguna de las siguientes alternativas para la constitución de estimaciones preventivas para riesgos crediticios:
I. Reconocer en el capital contable, dentro del resultado de ejercicios anteriores al 31 de enero de 2025, el efecto financiero inicial derivado de aplicar por primera vez la metodología de calificación de cartera crediticia que corresponda, siempre y cuando se revele en los correspondientes estados financieros trimestrales y anual del ejercicio 2025, así como en cualquier comunicado público de información financiera, como mínimo lo siguiente:
a) Que optó por realizar el reconocimiento total del efecto financiero inicial a la entrada en vigor de la presente Resolución.
b) Una amplia explicación del registro contable efectuado para el reconocimiento del citado efecto.
c) Una explicación detallada sobre los rubros y montos por los cuales se realizó la afectación contable.
II. Reconocer en el capital contable, dentro del resultado de ejercicios anteriores, el efecto financiero inicial diferido; es decir, el monto de reservas para la Cartera Crediticia Comercial correspondiente al mes del cálculo, diferido en un plazo de 24 meses contados a partir del 31 de enero de 2025, conforme a la siguiente fórmula:
![]()
Donde:
= Monto de
reservas a reconocer en el capital contable para la Cartera Crediticia
Comercial correspondiente en el mes
.
= Efecto
Financiero Inicial
Para tal efecto, las entidades deberán reconocer en el estado de situación financiera el 100 % del efecto inicial por la estimación preventiva para riesgos crediticios y un cargo diferido por el mismo importe que se disminuirá mensualmente contra el resultado de ejercicios anteriores, hasta completar el reconocimiento del efecto inicial al 31 de diciembre de 2026.
Al respecto, las uniones deberán revelar en los correspondientes estados financieros trimestrales y anual de los ejercicios 2025 y 2026, el efecto que derive de lo previsto en la presente fracción, así como en cualquier comunicado público de información financiera, como mínimo lo siguiente:
a) Que optó por realizar el reconocimiento diferido del efecto financiero inicial, derivado de la aplicación de las presentes disposiciones, en un plazo de 24 meses.
b) Una explicación detallada sobre los rubros y montos por los cuales se realizó la afectación contable y su efecto en el índice de capitalización y sus componentes.
Las uniones deberán tener constituido el 100 % del monto de las reservas derivadas de la utilización de las metodologías aplicables a la Cartera Crediticia Comercial, conforme a la presente Resolución, al 31 de diciembre del 2026.
Atentamente
Ciudad de México, a 20 de marzo de 2024.- El Presidente de la Comisión Nacional Bancaria y de Valores, Dr. Jesús de la Fuente Rodríguez.- Rúbrica.
ANEXO 4
CRITERIOS DE CONTABILIDAD PARA LAS UNIONES DE CRÉDITO
CONTENIDO
Serie A. Criterios relativos al esquema general de la contabilidad para uniones de crédito
A - 1 Esquema básico del conjunto de criterios de contabilidad aplicables a uniones de crédito
A - 2 Aplicación de normas particulares
A - 3 Aplicación de normas generales
A - 4 Aplicación supletoria a los criterios de contabilidad
Serie B. Criterios relativos a los conceptos que integran los estados financieros
B - 1 Efectivo y equivalentes de efectivo
B - 2 Derogado
B - 3 Reportos
B - 4 Derogado
B - 5 Cartera de crédito
B - 6 Bienes adjudicados
B - 7 Avales
B - 8 Administración de bienes
B - 9 Fideicomisos
B - 10 Derogado
Serie C. Criterios aplicables a conceptos específicos
C - 1 Derogado
C - 2 Derogado
C – 3 Operaciones de bursatilización
Serie D. Criterios relativos a los estados financieros básicos
D - 1 Estado de situación financiera
D - 2 Estado de resultado integral
D - 3 Estado de cambios en el capital contable
D - 4 Estado de flujos de efectivo
|
A-1 ESQUEMA BÁSICO DEL CONJUNTO DE CRITERIOS DE CONTABILIDAD APLICABLES A UNIONES DE CRÉDITO Objetivo |
|
|
El presente criterio tiene por objetivo definir el esquema básico del conjunto de lineamientos contables aplicables a uniones de crédito (las entidades). Conceptos que componen la estructura básica de la contabilidad en las entidades |
1 |
|
La contabilidad de las entidades se ajustará a la estructura básica que, para la aplicación de las Normas de Información Financiera (NIF), definió el Consejo Mexicano de Normas de Información Financiera, A.C. (CINIF), en la NIF A-1 “Marco conceptual de las normas de información financiera” (NIF A-1) o la que la sustituya. |
2 |
|
En tal virtud, las entidades considerarán en primera instancia las normas contenidas en la NIF A-1, así como lo establecido en el criterio A-4 “Aplicación supletoria a los criterios de contabilidad”. |
3 |
|
De tal forma, las entidades observarán los lineamientos contables de las NIF, excepto cuando a juicio de la Comisión Nacional Bancaria y de Valores (CNBV) sea necesario aplicar una normatividad o un criterio de contabilidad específico, tomando en consideración que las entidades realizan operaciones especializadas. |
4 |
|
La normatividad de la CNBV a que se refiere el párrafo anterior será a nivel de normas de reconocimiento, valuación, presentación y en su caso revelación, aplicables a rubros específicos dentro de los estados financieros de las entidades, así como de las aplicables a su elaboración. |
5 |
|
No procederá la aplicación de criterios de contabilidad, ni del concepto de supletoriedad, en el caso de operaciones que por legislación expresa no estén permitidas o estén prohibidas, o bien, no estén expresamente autorizadas a las entidades. |
6 |
|
A-2 APLICACIÓN DE NORMAS PARTICULARES Objetivo y alcance |
|
|
El presente criterio tiene por objetivo precisar la aplicación sobre las normas particulares de las NIF, así como aclaraciones a las mismas. |
1 |
|
Son materia del presente criterio: a) la aplicación de algunas de las normas particulares dadas a conocer en las NIF, y b) las aclaraciones a las normas particulares contenidas en las NIF. Normas de Información Financiera |
2 |
|
De conformidad con lo establecido en el criterio A-1 “Esquema básico del conjunto de criterios de contabilidad aplicables a uniones de crédito”, las entidades observarán, hasta en tanto no exista pronunciamiento expreso por parte de la CNBV, las normas particulares contenidas en los boletines o NIF que a continuación se detallan, o en las NIF que los sustituyan o modifiquen: Serie NIF B “Normas aplicables a los estados financieros en su conjunto” Cambios contables y correcciones de errores.......................................................................... B-1 Adquisiciones de negocios........................................................................................................... B-7 Estados financieros consolidados o combinados..................................................................... B-8 Información financiera a fechas intermedias............................................................................. B-9 Efectos de la inflación................................................................................................................... B-10 Disposición de activos de larga duración y operaciones discontinuadas ............................ B-11 Compensación de activos financieros y pasivos financieros.................................................. B-12 Hechos posteriores a la fecha de los estados financieros...................................................... B-13 Utilidad por acción.......................................................................................................................... B-14 Conversión de monedas extranjeras.......................................................................................... B-15 Determinación del valor razonable ............................................................................................. B-17 Serie NIF C “Normas aplicables a conceptos específicos de los estados financieros” Inversión en instrumentos financieros........................................................................................ C-2 Cuentas por cobrar........................................................................................................................ C-3 Inventarios....................................................................................................................................... C-4 Pagos anticipados.......................................................................................................................... C-5 Propiedades, planta y equipo....................................................................................................... C-6 Inversiones en asociadas, negocios conjuntos y otras inversiones permanentes................................................................................................................................... C-7 Activos intangibles......................................................................................................................... C-8 Provisiones, contingencias y compromisos............................................................................... C-9 Instrumentos financieros derivados y relaciones de cobertura .............................................. C-10 Capital contable.............................................................................................................................. C-11 Instrumentos financieros con características de pasivo y de capital .................................... C-12 Partes relacionadas ...................................................................................................................... C-13 Transferencia y baja de activos financieros .............................................................................. C-14 Deterioro en el valor de los activos de larga duración............................................................. C-15 Deterioro de instrumentos financieros por cobrar .................................................................... C-16 Obligaciones asociadas con el retiro de propiedades, planta y equipo ............................... C-18 Instrumentos financieros por pagar ............................................................................................ C-19 Instrumentos financieros para cobrar principal e interés ........................................................ C-20 Acuerdos con control conjunto..................................................................................................... C-21 Serie NIF D “Normas aplicables a problemas de determinación de resultados” Ingresos por contratos con clientes ............................................................................................ D-1 Costos por contratos con clientes ............................................................................................... D-2 Beneficios a los empleados......................................................................................................... D-3 Impuestos a la utilidad................................................................................................................... D-4 Arrendamientos.............................................................................................................................. D-5 Capitalización del resultado integral de financiamiento.......................................................... D-6 Pagos basados en acciones........................................................................................................ D-8 Asimismo, será aplicable el glosario de términos de las NIF, respecto de las NIF detalladas en este párrafo. |
3 |
|
Adicionalmente, las entidades observarán las NIF que emita el CINIF sobre temas no previstos en los criterios de contabilidad para uniones de crédito, siempre y cuando: a) estén vigentes; b) no sean aplicadas de manera anticipada a su vigencia; c) no contravengan la filosofía y los conceptos generales establecidos en los criterios de contabilidad para uniones de crédito, y d) no exista pronunciamiento expreso por parte de la CNBV. Aclaraciones a las normas particulares contenidas en las NIF |
4 |
|
Tomando en consideración que las entidades llevan a cabo operaciones especializadas, es necesario establecer aclaraciones que adecuen las normas particulares de reconocimiento, valuación, presentación y en su caso revelación, establecidas por el CINIF. En tal virtud, las entidades al observar lo establecido en los párrafos anteriores., deberán ajustarse a lo siguiente: B-8 Estados financieros consolidados o combinados |
5 |
|
Tratándose de aquellas entidades estructuradas creadas con anterioridad al 4 de febrero de 2011 en donde se haya mantenido control, no estarán obligadas a aplicar las disposiciones contenidas en la NIF B-8 “Estados financieros consolidados o combinados” (NIF B-8), respecto de la citada entidad estructurada. B-9 Información financiera a fechas intermedias |
6 |
|
Las disposiciones de la NIF B-9 deben ser aplicadas a la información financiera que se emita a fechas intermedias, incluyendo la trimestral que debe publicarse o difundirse a través de la página de Internet que corresponda a la propia entidad, en los términos de las Disposiciones de carácter general aplicables a los almacenes generales de depósito, casas de cambio, uniones de crédito y sociedades financieras de objeto múltiple reguladas (las Disposiciones) que publique la CNBV, respecto a la información financiera de las uniones de crédito. |
7 |
|
Para efectos de la revelación de la información que se emita a fechas intermedias, las entidades deberán observar las disposiciones relativas a la revelación de información financiera contenidas en el criterio A-3 “Aplicación de normas generales” (Criterio A-3). B-10 Efectos de la inflación Determinación de la posición monetaria |
8 |
|
Tratándose de un entorno inflacionario con base en lo señalado por la NIF B-10 “Efectos de la inflación” (NIF B-10), las entidades deberán revelar el saldo inicial de los principales activos y pasivos monetarios que se utilizaron para la determinación de la posición monetaria del periodo, diferenciando en su caso, los que afectan de los que no afectan al margen financiero. Índice de precios |
9 |
|
Las entidades deberán utilizar el valor de la Unidad de Inversión (UDI) como índice de precios. Resultado por posición monetaria |
10 |
|
El resultado por posición monetaria (REPOMO) que no haya sido capitalizado en términos de lo establecido en la NIF B-10, debe presentarse en el estado de resultado integral en un rubro específico dentro del margen financiero cuando provenga de partidas de margen financiero, de lo contrario se presentará dentro del rubro de otros ingresos (egresos) de la operación. B-11 Disposición de activos de larga duración y operaciones discontinuadas |
11 |
|
Las entidades deberán revelar el desglose del monto neto generado por las operaciones discontinuadas requerido en la NIF B-11 “Disposición de activos de larga duración y operaciones discontinuadas” (NIF B-11), así como el importe de los ingresos por operaciones continuas y por operaciones discontinuadas atribuibles a la participación controladora, en lugar de presentar dicha información en el estado de resultado integral. B-15 Conversión de monedas extranjeras |
12 |
|
En la aplicación de la NIF B-15 “Conversión de monedas extranjeras”, el tipo de cambio a utilizar para establecer la equivalencia de la moneda nacional con el dólar de los Estados Unidos de América, será el tipo de cambio de cierre de jornada a la fecha de transacción o de elaboración de los estados financieros, según corresponda, publicado por el Banco de México en su página de Internet www.banxico.org.mx o la que la sustituya. |
13 |
|
En el caso de divisas distintas al dólar de los Estados Unidos de América, deberán convertir la moneda respectiva a dólares de los Estados Unidos de América. Para realizar dicha conversión considerarán la cotización que rija para la moneda correspondiente en relación con el mencionado dólar en los mercados internacionales, conforme lo establece el Banco de México en la regulación aplicable. |
14 |
|
Asimismo, deberá revelarse en notas a los estados financieros, el monto de las transacciones denominadas en moneda extranjera por las divisas más relevantes para la entidad, así como el tipo de cambio utilizado y su equivalente en moneda nacional, conforme a lo señalado en los dos párrafos anteriores. B-17 Determinación del valor razonable |
15 |
|
Las entidades, en la determinación del valor razonable considerarán lo siguiente: a) tratándose de los valores o instrumentos financieros a que se refieren las fracciones I a III del artículo 143 de las Disposiciones, no aplicarán lo establecido en esta NIF, debiendo apegarse en todo momento a lo establecido en los Subapartados A y C del Apartado B de la Sección Primera del Capítulo VI del Título Séptimo de las Disposiciones; b) tratándose de valores o instrumentos financieros distintos a los señalados en el inciso anterior, en adición a lo establecido en el Subapartado B del Apartado B de la Sección Primera del Capítulo VI de Título Séptimo de las Disposiciones deberán considerar lo establecido en la NIF B-17 “Determinación del valor razonable” (NIF B-17). Las entidades no podrán clasificar como Nivel 1 los precios actualizados para valuación que determinen mediante el uso de modelos de valuación internos. Adicionalmente, deberán hacer las revelaciones siguientes: i. el tipo de instrumento financiero al cual le resulte aplicable un modelo de valuación interno, y ii. cuando el volumen o nivel de actividad haya disminuido de forma importante, deberán explicar los ajustes que en su caso hayan sido aplicados al precio actualizado para valuación. c) en el caso de activos o pasivos distintos a los señalados en las fracciones anteriores, debe aplicarse la NIF B-17 cuando otra NIF particular o criterio contable requiera o permita valuaciones a valor razonable y/o revelaciones sobre el mismo. C-2 Inversión en instrumentos financieros |
16 |
|
No resultará aplicable a las entidades la excepción para designar irrevocablemente, en su reconocimiento inicial a un instrumento financiero para cobrar y vender, para ser valuado subsecuentemente a su valor razonable con efectos en el resultado neto a que se refiere el párrafo 32.6 de la NIF C-2 “Inversión en instrumentos financieros” (NIF C-2). Reclasificaciones |
17 |
|
Las entidades que realicen al amparo del apartado 44 de la NIF C-2 reclasificaciones de sus inversiones en instrumentos financieros, deberán informar de este hecho por escrito a la CNBV dentro de los 10 días hábiles siguientes a la autorización que para tales efectos emita al director general de las uniones de crédito, así como a las unidades administrativas que lo auxilien en el desempeño de sus funciones, cada uno conforme a sus atribuciones, exponiendo detalladamente el cambio en el modelo de negocio que las justifique. C-3 Cuentas por cobrar Alcance |
18 |
|
La NIF C-3 “Cuentas por cobrar” (NIF C-3) solo será aplicable a las “otras cuentas por cobrar” a que se refiere el párrafo 20.1 de dicha NIF. |
19 |
|
Para efectos de la NIF C-3, no deberán incluirse las cuentas por cobrar derivadas de las operaciones a que se refieren: ● los Criterios B-3 “Reportos” (Criterio B-3), y B-5 “Cartera de crédito” (Criterio B-5), emitidos por la CNBV; ● las correspondientes a los derechos de cobro adquiridos definidos en el Criterio B-5, y ● el párrafo 72 del presente criterio, relativo a las cuentas por cobrar provenientes de operaciones de arrendamiento operativo. Lo anterior, ya que las normas de reconocimiento, valuación, presentación y revelación aplicables se encuentran contempladas en los citados criterios o en las NIF. Operaciones entre la entidad y sus agencias y sucursales |
20 |
|
Los conceptos resultantes de operaciones entre la entidad y sus agencias y sucursales se depurarán cuando menos al cierre de cada mes, por lo que no deberán presentar saldo a esa fecha. C-4 Inventarios |
21 |
|
Lo establecido en la NIF C-4 les será aplicable a las actividades de comercialización y transformación de bienes, mercancías y artículos diversos que lleven a cabo las entidades debiendo presentar dichos bienes en el estado de situación financiera en el rubro de inventario de mercancías, en tanto que en el estado de resultado integral presentarán sus ingresos y costo de ventas en el rubro de otros ingresos (egresos) de la operación. C-9 Provisiones, contingencias y compromisos Alcance |
22 |
|
No será aplicable lo establecido en la NIF C-9 “Provisiones, contingencias y compromisos” (NIF C-9) para la determinación de los avales otorgados, en cuyo caso se estará a lo indicado en el criterio B-7 “Avales”. Cartas de crédito |
23 |
|
Tratándose de aquellas cartas de crédito que la entidad emita previa recepción de su importe son objeto de la NIF C-9. |
24 |
|
El pasivo generado por la emisión de las cartas de crédito a que se refiere el párrafo anterior se presentará en el estado de situación financiera, dentro del rubro de otras cuentas por pagar. C-10 Instrumentos financieros derivados y relaciones de cobertura |
25 |
|
En adición a los términos incluidos en la NIF C-10 “Instrumentos financieros derivados y relaciones de cobertura” (NIF C-10) y definidos en el glosario contenido en las NIF deberán considerarse los siguientes: Operaciones sintéticas con instrumentos financieros derivados. - Operaciones donde participan uno o varios instrumentos financieros derivados y en algunos casos activos o pasivos no derivados, formando en conjunto una posición específica. Precio de contado (spot). - Precio o equivalente del subyacente, vigente en plazos establecidos por regulaciones o convenciones en el mercado a partir de la fecha de operación. En el caso de divisas, el precio de contado (spot) será el tipo de cambio para efectos de valuación a que hace referencia el párrafo 13 del presente criterio. |
26 |
|
Asimismo, las entidades deberán observar los siguientes criterios: Instrumentos Financieros Derivados crediticios Todo contrato debe analizarse con base en su sustancia económica para concluir si contablemente se trata o no de un instrumento financiero derivado o debiera reconocerse como un contrato de garantía financiera; sin embargo, los contratos de instrumentos financieros derivados crediticios generalmente implican la celebración de una o varias operaciones con instrumentos financieros derivados (principalmente opciones y swaps), con el objeto de asumir o reducir la exposición al riesgo de crédito (subyacente) en activos financieros como créditos o valores. La transferencia del riesgo en este tipo de operaciones puede ser en forma total o parcial. En dichos contratos se puede pactar el pago de primas iniciales por la celebración de los mismos. |
27 |
|
En este tipo de operaciones, una de las partes recibe el derecho o asume la obligación de recibir o entregar, según sea el caso, los intereses o cualquier otro tipo de rendimientos inherentes a los activos financieros, e inclusive existen instrumentos financieros derivados en los que se puede pactar que una de las partes se obligue a pagar a la otra por cambios en una calificación crediticia o en un índice de crédito, aun cuando la parte receptora no sea directamente la beneficiaria de los flujos de efectivo sobre dichos activos financieros. Como contraprestación, se asume el derecho u obligación de recibir o pagar intereses o rendimientos fijos o variables, previamente determinados. |
28 |
|
Los instrumentos financieros derivados crediticios pueden ser de dos tipos: a) Instrumentos Financieros Derivados de incumplimiento crediticio: Son contratos en los que únicamente se transfiere a la contraparte el riesgo crediticio de activos financieros, tales como en operaciones de crédito o en la amortización anticipada de títulos. b) Instrumentos Financieros Derivados de rendimiento total: Son contratos en los que además de intercambiar flujos de intereses o rendimientos inherentes a activos financieros, tales como una operación crediticia o emisión de títulos, se transfieren el riesgo de mercado y de crédito de estos. Operaciones estructuradas y paquetes de instrumentos financieros derivados |
29 |
|
Las operaciones estructuradas y los paquetes de instrumentos financieros derivados tienen las características siguientes: a) Operaciones estructuradas: En estas operaciones se tiene un contrato principal referido a activos o pasivos no derivados (generalmente operaciones de crédito, emisiones de bonos u otros títulos de deuda), y una porción derivada representada por uno o más instrumentos financieros derivados (generalmente opciones o swaps). Las porciones derivadas de operaciones estructuradas no constituyen instrumentos financieros derivados implícitos, sino instrumentos financieros derivados independientes. A diferencia de las operaciones sintéticas con instrumentos financieros derivados, las operaciones estructuradas tienen forzosamente que estar amparadas bajo un sólo contrato. Para llevar a cabo operaciones de cobertura con instrumentos estructurados, las entidades requerirán previamente contar con la autorización expresa de la CNBV. b) Paquetes de instrumentos financieros derivados: Los instrumentos financieros derivados interactúan entre sí en una sola operación, sin alguna porción que no reúna todas las características de un instrumento financiero derivado. Normas de reconocimiento y valuación de instrumentos financieros derivados |
30 |
|
Las entidades en el reconocimiento y valuación de los instrumentos financieros derivados deberán considerar lo siguiente: Los paquetes de instrumentos financieros derivados que coticen en algún mercado reconocido como un sólo instrumento financiero, se reconocerán y valuarán de manera conjunta (es decir sin desagregar cada instrumento financiero derivado en forma individual), mientras que los paquetes de instrumentos financieros derivados no cotizados en algún mercado reconocido se reconocerán y valuarán de manera desagregada por cada instrumento financiero derivado que conforme dichos paquetes. |
31 |
|
Para el caso de instrumentos financieros derivados cotizados en mercados o bolsas reconocidos, se considerará que han expirado los derechos y obligaciones relativos a los mismos cuando se cierre la posición de riesgo, es decir, cuando se efectúe en dicho mercado o bolsa un derivado de naturaleza contraria de las mismas características (por ejemplo, que se contrate un futuro de compra para cancelar los efectos de un futuro de venta (emitido) sobre el mismo subyacente, con la misma fecha de vencimiento y en general bajo condiciones que neutralicen las ganancias o pérdidas de uno y otro). |
32 |
|
Respecto a los instrumentos financieros derivados no cotizados en mercados o bolsas reconocidos, se considerará que han expirado los derechos y obligaciones relativos a los mismos cuando lleguen al vencimiento; se ejerzan los derechos por alguna de las partes, o bien, se ejerzan dichos derechos de manera anticipada por las partes de acuerdo con las condiciones establecidas en el mismo y se liquiden las contraprestaciones pactadas. Cobertura de valor razonable por riesgo de tasa de interés de una porción de un portafolio compuesto por activos financieros o pasivos financieros |
33 |
|
Una porción de un portafolio de activos financieros o de pasivos financieros que compartan el mismo riesgo a ser cubierto, tratándose de un portafolio cubierto por riesgo de tasa de interés, puede ser considerada una partida cubierta. |
34 |
|
En este tipo de cobertura, la porción cubierta podría ser designada en términos de un monto de divisas (por ejemplo, un importe en dólares, euros o libras) en lugar de activos (o pasivos) individuales. A pesar de que el portafolio podría, para efectos de administración de riesgos, incluir tanto activos financieros como pasivos financieros, el monto designado deberá ser un importe de activos financieros o de pasivos financieros. La designación de un monto neto que incluya activos financieros y pasivos financieros no está permitida. La entidad podrá cubrir una porción del riesgo de tasa de interés asociado con dicho monto designado. Por ejemplo, en el caso de una cobertura de un portafolio que contenga activos sujetos a prepago, la entidad podría cubrir el cambio en el valor razonable que sea atribuible a los cambios en la tasa de interés cubierta, considerando las fechas esperadas de revisión de los intereses y no las fechas contractuales. Cuando la porción cubierta se encuentre basada en las fechas esperadas de revisión de intereses, el efecto que tenga los cambios en la tasa de interés cubierta sobre las fechas esperadas de revisión deberá incluirse en la determinación del cambio en el valor razonable de la partida cubierta. Consecuentemente, si un portafolio que contiene instrumentos sujetos a prepago es cubierto con un instrumento financiero derivado no sujeto a prepago, la cobertura podría ser inefectiva si existe un cambio en las fechas esperadas de prepago correspondientes a las partidas que integran el portafolio cubierto, o las fechas observadas de pago difieren de las que había previsto. |
35 |
|
Únicamente en este tipo de cobertura específica, las entidades deberán cumplir todas y cada una de las siguientes condiciones: a) al inicio de la cobertura debe existir una designación formal y documentación suficiente de la relación de cobertura, así como de los objetivos de administración de riesgos y estrategia de la entidad respecto a la cobertura. Dicha documentación deberá incluir la identificación del instrumento de cobertura, la partida o transacción cubierta, la naturaleza del riesgo cubierto y la forma en la que la entidad evaluará la efectividad del instrumento de cobertura para cancelar la exposición a cambios en el valor razonable de la partida cubierta atribuibles al riesgo cubierto; b) la cobertura deberá ser altamente efectiva (la efectividad real de la cobertura debe encontrarse en un rango de 80-125 por ciento) en lograr la cancelación de los cambios en el valor razonable atribuibles al riesgo cubierto, consistentemente con la estrategia de administración de riesgos originalmente documentada para la relación de cobertura específica; c) la efectividad de la cobertura deberá ser medible confiablemente, es decir, el valor razonable de la partida cubierta que es atribuible al riesgo cubierto y el valor razonable del instrumento de cobertura pueden ser valuados confiablemente, y d) la cobertura deberá ser evaluada continuamente (al menos trimestralmente), debiendo mantener una alta efectividad a lo largo de todos los periodos en los cuales se muestre la designación de la relación de cobertura en la información financiera de la entidad. |
36 |
|
El requerimiento a que se refiere el párrafo 42.1.2 inciso b) de la NIF C-10, puede cumplirse presentando el ajuste al valor en libros de la partida cubierta por la ganancia o pérdida reconocida en los resultados del periodo, ya sea: i. en un renglón por separado dentro del activo del estado de situación financiera, durante los periodos de revisión de los intereses del portafolio en los que la partida cubierta sea un activo, o ii. en un renglón por separado dentro del pasivo del estado de situación financiera, durante los periodos de revisión de los intereses del portafolio en los que la partida cubierta sea un pasivo. |
37 |
|
Los renglones de activos o pasivos reflejados en el estado de situación financiera, antes señalados, deberán amortizarse en los resultados del periodo. La amortización deberá comenzar tan pronto como surja el ajuste, y en ningún caso después de que la partida cubierta deje de ser ajustada por cambios en el valor razonable atribuible al riesgo cubierto. El ajuste deberá basarse en la tasa de interés efectiva recalculada a la fecha en que comience la amortización. No obstante, si no fuera práctico efectuar la amortización utilizando la tasa de interés efectiva recalculada, el ajuste podrá amortizarse utilizando el método de línea recta. El ajuste deberá ser amortizado completamente a la fecha de vencimiento de la partida cubierta de que se trate, o al momento de terminación del periodo de revisión de intereses. |
38 |
|
En este tipo de cobertura, la entidad cumplirá con los requerimientos de cobertura si observa los procedimientos que a continuación se detallan: a) la entidad identificará el portafolio de partidas, cuyo riesgo de tasa de interés desea cubrir, como parte de los procesos habituales que siga para la administración de riesgos. El portafolio puede contener sólo activos, sólo pasivos o una combinación de activos y pasivos. La entidad puede identificar dos o más portafolios (por ejemplo, la entidad podría agrupar sus activos financieros mantenidos para la venta en un portafolio separado), en cuyo caso aplicará las guías siguientes a cada uno de los portafolios por separado; b) la entidad descompondrá el portafolio en periodos de revisiones de intereses, basándose en las fechas esperadas para las mismas, sin tener en cuenta las contractuales. Tal desagregación puede hacerse de varias maneras, entre las que se incluye la de distribuir los flujos de efectivo entre los periodos en los que se espera que se produzcan, o distribuyendo los importes principales nocionales en todos los periodos hasta el momento en que se espere que ocurra la revisión; c) a partir de esta estratificación, la entidad decidirá sobre el importe que desea cubrir. A tal efecto designará como partida cubierta a un importe de activos o pasivos (pero no un importe neto) del portafolio identificado, que sea igual al importe que desea designar como cubierto. Este importe determina también la medida porcentual que se utilizará para probar la efectividad; d) la entidad designará el riesgo de tasa de interés que está cubriendo. Este riesgo podría consistir en una porción del riesgo de tasa de interés de cada una de las partidas del portafolio cubierto, tal como por ejemplo una tasa de interés de referencia; e) la entidad designará uno o más instrumentos de cobertura para cada periodo de revisión de intereses; f) utilizando las designaciones realizadas en los incisos (c) a (e) anteriores, la entidad evaluará, tanto al comienzo como en los periodos posteriores, si se puede esperar que la cobertura sea altamente efectiva a lo largo del intervalo para el cual se le ha designado; g) periódicamente, la entidad medirá el cambio en el valor razonable de la partida cubierta (según la designación hecha en el inciso (c)) que es atribuible al riesgo cubierto (según la designación hecha en el inciso (d)) tomando como base las fechas esperadas de revisión de intereses determinadas en el inciso (b). Suponiendo que, utilizando el método de valuación de la efectividad documentado por la entidad, se haya determinado que en la realidad la cobertura fue altamente efectiva, la entidad reconocerá el cambio en el valor razonable de la partida cubierta como una ganancia o pérdida en los resultados del periodo, así como en una de las dos líneas que corresponden a las partidas del estado de situación financiera descritas en los numerales i y ii a qué se refiere el párrafo 37 anterior. No es necesario que el cambio en el valor razonable sea distribuido entre activos o pasivos individuales; h) la entidad medirá el cambio en el valor razonable del instrumento o instrumentos de cobertura (según la designación hecha en el inciso (e)), y lo reconocerá como una ganancia o una pérdida en los resultados del periodo. El valor razonable del instrumento o instrumentos de cobertura se reconocerá como un activo o un pasivo en el estado de situación financiera, y i) la eventual inefectividad será reconocida en resultados como diferencia entre los cambios en los valores razonables mencionados en los incisos (g)) y (h)). Presentación en el estado de situación financiera |
39 |
|
En el caso de operaciones estructuradas, la presentación de la porción o porciones de los instrumentos financieros derivados se hará por separado de la correspondiente al contrato principal, por lo que se seguirán los lineamientos de presentación según el tipo o tipos de activos financieros (o pasivos financieros) no-derivados, así como instrumentos financieros derivados incorporados en la operación estructurada. |
40 |
|
Para el caso de paquetes de instrumentos financieros derivados que coticen en algún mercado reconocido como un sólo instrumento, dicho paquete se presentará de manera conjunta (es decir sin desagregar cada instrumento financiero derivado en forma individual), en el rubro de instrumentos financieros derivados (saldo deudor), o bien, instrumentos financieros derivados (saldo acreedor), en el estado de situación financiera. |
41 |
|
En el caso de paquetes de instrumentos financieros derivados no cotizados en algún mercado reconocido, su presentación en el estado de situación financiera seguirá los lineamientos establecidos para cada instrumento financiero derivado en forma individual, en el rubro de instrumentos financieros derivados (saldo deudor), o bien, instrumentos financieros derivados (saldo acreedor), según corresponda. |
42 |
|
En una cobertura de valor razonable por riesgo de tasa de interés de una porción de un portafolio compuesto por activos financieros o por pasivos financieros (y únicamente en este tipo de cobertura específica), el ajuste al valor en libros de la partida cubierta por la ganancia o pérdida reconocida en los resultados del periodo, se presentará en el rubro de ajustes de valuación por cobertura de activos financieros, o bien, ajustes de valuación por cobertura de pasivos financieros, según sea el caso, inmediatamente después de los activos financieros o pasivos financieros correspondientes. Presentación en el estado de resultado integral |
43 |
|
En una cobertura de valor razonable por riesgo de tasa de interés de una porción de un portafolio compuesto por activos financieros o por pasivos financieros (y únicamente en este tipo de cobertura específica), el resultado por la valuación de la partida cubierta atribuible al riesgo cubierto deberá ser presentada, en caso de ser identificable, en donde se presente el resultado por valuación de cada una de las partidas cubiertas. En caso de no poderse identificar, dicho efecto por valuación se deberá presentar en el rubro donde se presente el resultado por valuación de la partida cubierta de mayor relevancia de conformidad con las disposiciones de los criterios de contabilidad aplicables (por ejemplo, si el portafolio de activos financieros corresponde en su mayoría a inversiones en valores, el efecto por valuación deberá presentarse en el resultado por intermediación). C-13 Partes relacionadas |
44 |
|
Para efectos de dar cumplimiento a las normas de revelación contenidas en la NIF C-13 “Partes relacionadas” (NIF C-13), las entidades deberán considerar adicionalmente como parte relacionada a: a) los miembros del consejo de administración o consejo directivo de la sociedad controladora o de las entidades integrantes del grupo financiero, al que, en su caso esta pertenezca; b) las personas distintas al personal gerencial clave o directivo relevante o empleados que con su firma puedan generar obligaciones para la entidad; c) las personas morales en las que el personal gerencial clave o directivo relevante de la entidad sean consejeros o administradores u ocupen cualquiera de los tres primeros niveles jerárquicos en dichas personas morales, y d) las personas morales en las que cualquiera de las personas señaladas en los incisos anteriores, así como en la NIF C-13 tengan poder de mando, entendiéndose este como la capacidad de hecho de influir de manera decisiva en los acuerdos adoptados en las asambleas de accionistas o sesiones del consejo de administración o en la gestión, conducción y ejecución de los negocios de la entidad de que se trate o de las personas morales que ésta controle. |
45 |
|
Adicional a las revelaciones requeridas por la NIF C-13, las entidades deberán revelar en forma agregada, mediante notas a los estados financieros, por las operaciones entre partes relacionadas que en su caso se realicen, la siguiente información: a) una descripción genérica de las operaciones, tales como: ● créditos otorgados o recibidos; ● operaciones con instrumentos financieros en las que el emisor y el tenedor sean partes relacionadas; ● reportos; ● instrumentos financieros derivados: ● operaciones de cobertura; ● venta y adquisición de cartera de crédito, y ● las que se realicen a través de cualquier persona, fideicomiso, entidad u otra figura legal, cuando la contraparte y fuente de pago de dichas operaciones dependa de una parte relacionada. b) cualquier otra información necesaria para el entendimiento de la operación, y c) el importe total de los beneficios a empleados otorgados al personal gerencial clave o directivo relevante de la entidad. |
46 |
|
Únicamente se requiere la revelación de las operaciones con partes relacionadas que representen más del 10% del capital neto del mes anterior a la fecha de la elaboración de la información financiera correspondiente. El capital neto se determinará conforme a los requerimientos de capital establecidos por la CNBV mediante las Disposiciones. C-14 Transferencia y baja de activos financieros |
47 |
|
Respecto a los colaterales recibidos a que se refiere el párrafo 44.7 de la NIF C-14 “Transferencia y baja de activos financieros” (NIF C-14) el receptor deberá reconocer el colateral recibido en cuentas de orden. En los casos en que el receptor tuviera derecho a vender o dar en garantía el colateral, el transferente deberá reclasificar el activo, presentándolo como restringido. Reconocimiento de activos financieros |
48 |
|
Cuando la transferencia resulta en una baja del activo financiero por parte del transferente, la entidad receptora deberá reconocer un activo financiero (o porción del mismo) o un grupo de activos financieros (o porción de dicho grupo) en su estado de situación financiera, si y sólo si, adquiere los derechos y las obligaciones contractuales relacionadas con dicho activo financiero (o porción del mismo). Para ello, la entidad deberá: a) reconocer los activos financieros recibidos a su valor razonable, el cual, presumiblemente, corresponde al precio pactado en la operación de transferencia. Posteriormente, dichos activos deberán valuarse de acuerdo con el criterio que corresponda de conformidad con su naturaleza; b) reconocer los nuevos derechos obtenidos o nuevas obligaciones incurridas con motivo de la transferencia, valuados a su valor razonable; c) dar de baja las contraprestaciones otorgadas en la operación a su valor neto en libros (por ejemplo, considerando cualquier estimación asociada) y reconociendo en los resultados del ejercicio cualquier partida pendiente de amortizar relacionada con dichas contraprestaciones, y d) reconocer en los resultados del ejercicio cualquier diferencial, si lo hubiera, con motivo de la operación de transferencia. C-16 Deterioro de instrumentos financieros por cobrar Alcance |
49 |
|
Para efectos de la NIF C-16 “Deterioro de instrumentos financieros por cobrar” (NIF C-16), no deberán incluirse los activos derivados de las operaciones a que se refiere el Criterio B-5, emitido por la CNBV, ya que las normas para la valuación, presentación y revelación de tales activos se encuentran contempladas en el mencionado criterio. Estimación de pérdidas crediticias esperadas |
50 |
|
Por aquellas cuentas por cobrar distintas a las relacionadas con cartera de crédito, las entidades deberán crear, una estimación que refleje su grado de irrecuperabilidad. Dicha estimación deberá obtenerse aplicando lo dispuesto en el apartado 42 de la NIF C-16. |
51 |
|
Respecto de las operaciones con documentos de cobro inmediato no cobrados a que se refiere el criterio B-1 “Efectivo y equivalentes de efectivo” (Criterio B-1), a los 15 días naturales siguientes a partir de la fecha en que se hayan traspasado a la partida que le dio origen, se clasificarán como adeudos vencidos y se deberá constituir simultáneamente su estimación por el importe total de las mismas. |
52 |
|
Los derechos de cobro que adquiera la entidad que se encuentren en los supuestos previstos en el párrafo 20 del Criterio B-5, deberán considerarse como instrumentos financieros por cobrar con riesgo de crédito alto (etapa 3), y no podrán transferirse a otra etapa por efecto posterior alguno. |
53 |
|
Cuando la entidad utilice las soluciones prácticas a que se refiere el párrafo 42.6 de la NIF C-16, la constitución de estimaciones deberá ser por el importe total del adeudo y no deberá exceder los siguientes plazos: a) a los 60 días naturales siguientes a su registro inicial, cuando correspondan a deudores no identificados, y b) a los 90 días naturales siguientes a su registro inicial, cuando correspondan a deudores identificados. |
54 |
|
No se constituirá estimación de pérdidas crediticias esperadas por: a) saldos a favor de impuestos, e b) impuesto al valor agregado acreditable |
55 |
|
Las pérdidas crediticias esperadas por el deterioro de las inversiones en instrumentos financieros conforme lo indicado en el apartado 45 de la NIF C-2 deberán determinarse conforme a lo establecido en la NIF C-16. Al respecto, si bien la CNBV no establece metodologías específicas para su determinación, sería de esperar que las pérdidas crediticias esperadas por el deterioro de los títulos emitidos por una contraparte, guarde consistencia con el deterioro determinado para créditos que se otorguen a la misma contraparte. C-19 Instrumentos financieros por pagar Alcance |
56 |
|
Para efectos de la NIF C-19 “Instrumentos financieros por pagar” (NIF C-19), no se incluyen los pasivos relativos a las operaciones a que se refiere el Criterio B-3, ya que estos se encuentran contemplados en dicho criterio. Pasivos bursátiles |
57 |
|
En adición a las revelaciones requeridas en la propia NIF C-19, se deberá revelar en notas a los estados financieros las características de la emisión de los títulos de crédito: monto; número de títulos en circulación; valor nominal; descuento o premio; derechos y forma de redención; garantías; vencimiento; tasa de interés; tasa de interés efectiva; monto amortizado del descuento o premio en resultados; monto de gastos de emisión y otros gastos relacionados, y proporción que guarda el monto autorizado frente al monto emitido. Préstamos bancarios, de socios y de otros organismos |
58 |
|
Las entidades deberán revelar en notas a los estados financieros el monto total de los préstamos bancarios, de sus socios, así como el de otros organismos autorizados, señalando el tipo de moneda, así como los plazos de vencimiento, garantías y tasas promedio ponderadas a que, en su caso, estén sujetos. |
59 |
|
En el caso de líneas de crédito recibidas por la entidad en las cuales no todo el monto autorizado está ejercido, la parte no utilizada de las mismas no se deberá presentar en el estado de situación financiera. Sin embargo, las entidades deberán revelar mediante notas a los estados financieros el importe no utilizado, atendiendo a lo establecido en el Criterio A-3, en lo relativo a la revelación de información financiera. Reconocimiento inicial de un instrumento financiero por pagar |
60 |
|
No será aplicable lo establecido en el párrafo 41.1.1 numeral 4 de la NIF C-19, respecto de utilizar la tasa de mercado como la tasa de interés efectiva en la valuación del instrumento financiero por pagar cuando ambas tasas fueran sustancialmente distintas. Instrumentos financieros por pagar valuados a valor razonable |
61 |
|
No resultará aplicable a las entidades la excepción para designar irrevocablemente en su reconocimiento inicial a un instrumento financiero por pagar para ser valuado subsecuentemente a su valor razonable con efecto en el resultado neto a que se refiere el apartado 42.2 de la NIF C-19. C-20 Instrumentos financieros para cobrar principal e interés |
62 |
|
Para efectos de la NIF C-20 “Instrumentos financieros para cobrar principal e interés” (NIF C-20), no deberán incluirse los activos originados por las operaciones a que se refiere el Criterio B-5, emitido por la CNBV, ya que las normas de reconocimiento, valuación, presentación y revelación para el reconocimiento inicial y posterior de tales activos se encuentran contempladas en dicho criterio. Reconocimiento inicial de un instrumento financiero para cobrar principal e interés |
63 |
|
No será aplicable lo establecido en el párrafo 41.1.1 numeral 4 de la NIF C-20 respecto de utilizar la tasa de mercado como tasa de interés efectiva en la valuación del instrumento financiero para cobrar principal e interés cuando ambas tasas fueran sustancialmente distintas. Opción a valor razonable |
64 |
|
No resultará aplicable a las entidades la opción para designar irrevocablemente en su reconocimiento inicial a un instrumento financiero para cobrar principal e interés, para ser valuado subsecuentemente a su valor razonable con efecto en el resultado neto a que se refiere el párrafo 41.3.4 de la NIF C-20. Préstamos a funcionarios y empleados |
65 |
|
Los intereses originados de préstamos a funcionarios y empleados se presentarán en el estado de resultado integral en el rubro de otros ingresos (egresos) de la operación. D-3 Beneficios a los empleados |
66 |
|
Mediante notas a los estados financieros se deberá revelar la identificación de las obligaciones por beneficios a los empleados en: beneficios directos a corto plazo, beneficios directos a largo plazo, beneficios por terminación y beneficios post-empleo. D-4 Impuestos a la utilidad |
67 |
|
Respecto a la revelación requerida en la NIF D-4 “Impuestos a la utilidad” (NIF D-4) sobre los conceptos de diferencias temporales, adicionalmente se deberán revelar aquellas diferencias relacionadas con el margen financiero y con las principales operaciones de las entidades. D-5 Arrendamientos Arrendamientos financieros Alcance |
68 |
|
No será aplicable lo establecido en esta NIF a los créditos que otorgue la entidad para operaciones de arrendamiento financiero, siendo tema del Criterio B-5, con excepción de lo establecido en el párrafo 61 de dicho Criterio B-5. |
69 |
|
Para efectos de los requisitos establecidos en el párrafo 42.1.4 inciso c) e inciso d) de la NIF D-5 “Arrendamientos” (NIF D-5), se entenderá que el plazo del arrendamiento cubre la mayor parte de la vida económica del activo subyacente, si dicho arrendamiento cubre al menos el 75% de la vida útil del mismo. Asimismo, el valor presente de los pagos por el arrendamiento es sustancialmente todo el valor razonable del activo subyacente, si dicho valor presente constituye al menos un 90% de dicho valor razonable. Arrendamientos operativos Contabilización para el arrendador |
70 |
|
Por el importe de las amortizaciones que no hayan sido liquidadas en un plazo de 30 días naturales siguientes a la fecha de vencimiento del pago, el arrendador deberá crear la estimación correspondiente, suspendiendo la acumulación de rentas, llevando su control en cuentas de orden en el rubro de otras cuentas de registro. |
71 |
|
El arrendador deberá presentar en el estado de situación financiera la cuenta por cobrar en el rubro de otras cuentas por cobrar, y el ingreso por arrendamiento en el rubro de otros ingresos (egresos) de la operación en el estado de resultado integral. |
72 |
|
A-3 APLICACIÓN DE NORMAS GENERALES Objetivo y alcance |
|
|
El presente criterio tiene por objetivo precisar el establecimiento de normas de aplicación general que las entidades deberán observar. |
1 |
|
Son materia del presente criterio el establecimiento de normas generales que deben ser consideradas en el reconocimiento, valuación, presentación y revelación aplicables para los criterios de contabilidad para uniones de crédito. Activos restringidos |
2 |
|
Se consideran como tales a todos aquellos activos respecto de los que existen circunstancias por las cuales no se puede disponer o hacer uso de ellos, debiendo permanecer en el mismo rubro del cual se originan. Asimismo, se considerará que forman parte de esta categoría, aquellos activos provenientes de operaciones que no se liquiden el mismo día, es decir, se reciban con fecha valor distinta a la de concertación. En el caso de cuentas de margen que las entidades otorguen a la cámara de compensación por operaciones con instrumentos financieros derivados realizadas en mercados o bolsas reconocidos, deberán apegarse a lo establecido en la NIF C-10. |
3 |
|
Para este tipo de activos, se deberá revelar en una nota a los estados financieros este hecho y su saldo por tipo de operación. Bienes prometidos en venta o con reserva de dominio |
4 |
|
En los casos en que se celebre un contrato de promesa de compra o venta con reserva de dominio, el bien deberá reconocerse como restringido, de acuerdo con el tipo de bien de que se trate, al mismo valor en libros que tuviera a la fecha de la firma de dicho contrato, aún y cuando se haya pactado a un precio superior. Dicho bien seguirá las mismas normas de valuación, presentación y revelación, de conformidad con los criterios de contabilidad que le correspondan. |
5 |
|
Los cobros que se reciban a cuenta del bien se registrarán en el pasivo como un cobro anticipado. |
6 |
|
En la fecha en que se enajene el bien prometido en venta o de compraventa con reserva de dominio, se deberá reconocer en los resultados del ejercicio como otros ingresos (egresos) de la operación, la utilidad o pérdida generada. |
7 |
|
En el evento de que el contrato se rescinda, el bien dejará de reconocerse como restringido y aquellos cobros anticipados sobre los que la entidad pueda disponer o deba liquidar de acuerdo con las condiciones del contrato, se reconocerán en los resultados del ejercicio como otros ingresos (egresos) de la operación, o bien como otras cuentas por pagar, según corresponda. Cuentas liquidadoras |
8 |
|
Tratándose de las operaciones activas y pasivas que realicen las entidades, por ejemplo, en materia de inversiones en instrumentos financieros, reportos e instrumentos financieros derivados, una vez que estas lleguen a su vencimiento y mientras no se perciba o entregue la liquidación correspondiente, según se haya pactado en el contrato respectivo, el monto de las operaciones vencidas por cobrar o por pagar deberá registrarse en cuentas liquidadoras (deudores o acreedores por liquidación de operaciones). |
9 |
|
Asimismo, por las operaciones en las que no se pacte la liquidación inmediata o fecha valor mismo día, incluyendo las de compraventa de divisas vinculadas a su objeto social, en la fecha de concertación se deberá registrar en cuentas liquidadoras el monto por cobrar o por pagar, en tanto no se efectúe su liquidación. La estimación de pérdidas crediticias esperadas correspondiente a los montos por cobrar antes mencionados, deberá determinarse de conformidad con lo establecido en la NIF C-16. |
10 |
|
Para efectos de presentación de los estados financieros, las cuentas liquidadoras se presentarán en el rubro de otras cuentas por cobrar (neto) u otras cuentas por pagar, según corresponda. El saldo de las cuentas liquidadoras deudoras y acreedoras podrá ser compensado en términos de lo establecido por las reglas de compensación previstas en la NIF B-12 “Compensación de activos financieros y pasivos financieros” (NIF B-12). |
11 |
|
Respecto a las operaciones a que se refiere el párrafo 10, se deberá revelar el saldo por cobrar o por pagar, por cada tipo de operación de la cual provengan (divisas vinculadas a su objeto social, inversiones en instrumentos financieros, reportos, etc.), especificando que se trata de operaciones pactadas en las que queda pendiente su liquidación. Estimaciones y provisiones diversas |
12 |
|
No se deberán crear, aumentar o disminuir contra los resultados del ejercicio estimaciones o provisiones con fines indeterminados y/o no cuantificables. En todo caso, las entidades deberán atender a la regulación que la CNBV señale en cuanto a la determinación de estimaciones y/o provisiones. Fideicomisos |
13 |
|
Cuando las entidades adquieran constancias o certificados de aportación, constancias de derechos fiduciarios, intereses residuales o cualquier otro título, contrato, o documento que otorguen a su tenedor participación en el posible excedente o remanente que en su caso genere el fideicomiso o receptor, se deberá evaluar si dicha participación le otorga el control, control conjunto o influencia significativa conforme a lo establecido en las NIF correspondientes. En todo caso, los activos financieros que representen la participación remanente de un vehículo de bursatilización deberán presentarse en el concepto “Beneficios sobre el remanente en operaciones de bursatilización” del rubro de “Beneficios por recibir en operaciones de bursatilización” del estado de situación financiera. Intereses devengados |
14 |
|
Los intereses devengados por las diferentes partidas de activo o pasivo deberán presentarse en el estado de situación financiera junto con su principal correspondiente. Reconocimiento o cancelación de activos y/o pasivos |
15 |
|
El reconocimiento o cancelación en los estados financieros de los activos y/o pasivos, incluyendo aquellos provenientes de operaciones de compraventa de divisas vinculadas a su objeto social, inversiones en instrumentos financieros, reportos, instrumentos financieros derivados y títulos emitidos, se realizará en la fecha en que afecten económicamente a la entidad, independientemente de la fecha en que se realicen. Revelación de información financiera |
16 |
|
Con relación a la revelación de información financiera, se deberá tomar en cuenta lo establecido en la NIF A-1, Capítulo 80 “Presentación y revelación”, respecto a que la responsabilidad de rendir información sobre la entidad económica descansa en su administración. Dicha información debe reunir determinadas características cualitativas fundamentales y de mejora, tales como la relevancia, la representación fiel, la comparabilidad, la verificabilidad, la oportunidad y la comprensibilidad con base en lo previsto en la NIF A-1, Capítulo 40 “Características cualitativas de los estados financieros” (NIF A-1, Capítulo 40). |
17 |
|
Las entidades en el cumplimiento de las normas de revelación previstas en los presentes criterios de contabilidad deberán considerar a la importancia relativa en términos de la NIF A-1, Capítulo 40, es decir, deberán mostrar los aspectos más importantes de la entidad reconocidos contablemente tal y como lo señala dicha característica asociada a la relevancia. |
18 |
|
Lo anterior implica, entre otros elementos, que la importancia relativa requiere del ejercicio del juicio profesional ante las circunstancias que determinan los hechos que refleja la información financiera. En el mismo sentido, debe obtenerse un equilibrio apropiado entre las características cualitativas de la información financiera con el fin de cumplir el objetivo de los estados financieros, para lo cual debe buscarse un punto óptimo más que la consecución de niveles máximos de todas las características cualitativas. |
19 |
|
No obstante, por lo que se refiere a la importancia relativa, esta no será aplicable a la información: a) requerida por la CNBV a través de disposiciones de carácter general que al efecto emita, distintas a las contenidas en los presentes criterios; b) adicional específica requerida por la CNBV, relacionada con sus actividades de supervisión, y c) requerida mediante la emisión o autorización, en su caso, de criterios o registros contables especiales. Revelaciones relativas a la determinación del valor razonable |
20 |
|
Las entidades respecto del Precio Actualizado para Valuación que le sea proporcionado por el proveedor de precios en la determinación del valor razonable de conformidad con el Apartado B de la Sección primera del Capítulo VI del Título Séptimo de las Disposiciones, en adición a lo señalado en los criterios contables o las NIF correspondientes, deberán revelar, como mínimo lo siguiente: a) el nivel de la jerarquía del precio actualizado para valuación (o jerarquía del valor razonable) dentro del cual se clasifican las determinaciones del valor razonable, de conformidad con lo siguiente: i. Nivel 1, nivel más alto, correspondiente a precios obtenidos exclusivamente con datos de entrada de Nivel 1. ii. Nivel 2, precios obtenidos con datos de entrada de Nivel 2. iii. Nivel 3, nivel más bajo, para aquellos precios obtenidos con datos de entrada de Nivel 3. b) en caso de que exista algún cambio en el modelo de valuación, deberá revelarse ese cambio y las razones para realizarlo; c) cuando existan cambios de un periodo a otro en la clasificación de la jerarquía del precio actualizado para valuación respecto de un mismo valor o instrumento financiero: i. los importes de las transferencias entre el Nivel 1 y el Nivel 2 de la jerarquía del precio actualizado para valuación, y ii. los importes de las transferencias hacia o desde el Nivel 3 de la jerarquía del precio actualizado para valuación. d) para aquellos precios actualizados para valuación clasificados en el Nivel 3, se deberá realizar una conciliación de los saldos de apertura con los saldos de cierre, revelando por separado los cambios durante el periodo atribuibles a las ganancias o pérdidas totales del periodo reconocidas en el resultado neto y las reconocidas en otros resultados integrales (ORI); e) cuando exista una disminución importante en el volumen o nivel de actividad en relación con la actividad normal del mercado para cierto valor o instrumento financiero, o bien ante la existencia de condiciones desordenadas, se deberán explicar los ajustes que en su caso hayan sido aplicados al precio actualizado para valuación, y f) el nombre del proveedor de precios, que en su caso le haya proporcionado el precio actualizado para valuación o bien los datos de entrada para su determinación a través de modelos de valuación internos. |
21 |
|
La información de tipo cuantitativo deberá ser revelada en formato tabular, a menos que sea más apropiado otro formato. Valorización de la UDI |
22 |
|
Deberá utilizarse el valor dado a conocer por el Banco de México en el Diario Oficial de la Federación, aplicable en la fecha de la valuación. |
23 |
A-4 APLICACIÓN SUPLETORIA A LOS CRITERIOS DE CONTABILIDAD Objetivo y alcance |
|
|
El presente criterio tiene por objetivo precisar la aplicación de las normas contenidas en la NIF A-1, Capítulo 90, “Supletoriedad” (NIF A-1, Capítulo 90), emitida por el CINIF, considerando que, al aplicarla, la información financiera se está preparando y presentando de acuerdo con los criterios de contabilidad para uniones de crédito. Definición |
1 |
|
Para efectos de los criterios de contabilidad para uniones de crédito, el proceso de supletoriedad aplica cuando en la ausencia de normas contables expresas emitidas por la CNBV en lo particular, y del CINIF en lo general, estas son cubiertas por un conjunto formal y reconocido de normas. Concepto de supletoriedad y norma básica |
2 |
|
A falta de un criterio de contabilidad específico de la CNBV para las entidades y en segundo término para instituciones de crédito, o en un contexto más amplio, de las NIF, se aplicarán las bases para supletoriedad previstas en la NIF A-1, Capítulo 90 antes mencionada, en conjunto con lo previsto en las disposiciones del presente criterio. Otra normatividad supletoria |
3 |
|
Solo en caso de que las Normas Internacionales de Información Financiera (NIIF) a que se refiere la NIF A-1, Capítulo 90 no den solución al reconocimiento contable, se podrá optar por una norma supletoria que pertenezca a cualquier otro esquema normativo, siempre que cumpla con todos los requisitos señalados en la citada NIF A-1, Capítulo 90, para una norma supletoria, así como con los previstos en el párrafo 6 del presente criterio, debiéndose aplicar la supletoriedad en el orden siguiente: a) los Principios de Contabilidad Generalmente Aceptados (PCGA) definitivos, aplicables en los Estados Unidos de América, y b) cualquier norma de contabilidad que forme parte de un conjunto de normas formal y reconocido. |
4 |
|
Para efectos del párrafo anterior, se considera que forman parte de los PCGA aplicables en los Estados Unidos de América tanto las fuentes oficiales (authoritative) como las fuentes no oficiales (nonauthoritative), conforme a lo establecido en el Tópico 105 de la Codificación de Normas Contables (Accounting Standards Codification, ASC) (Codificación) del Consejo de Normas de Contabilidad Financiera (Financial Accounting Standards Board, FASB), en el orden siguiente: a) fuentes oficiales: la Codificación, las reglas o interpretaciones de la Comisión de Valores (Securities and Exchange Commission, SEC), los boletines contables del equipo de trabajo de la SEC (Staff Accounting Bulletins), y posturas de la SEC acerca de los Consensos de la Junta sobre Aspectos Emergentes del FASB (FASB Emerging Issues Task Force, EITF), y b) fuentes no oficiales: prácticas ampliamente reconocidas y preponderantes ya sea de manera generalizada o en una industria específica, las declaraciones de conceptos del FASB (FASB Concepts Statements), documentos del Instituto Americano de Contadores Públicos Certificados (American Institute of Certified Public Accountants, AICPA, Issues Papers), pronunciamientos de asociaciones profesionales o agencias regulatorias, y preguntas y respuestas del Servicio de Información Técnico incluidas en las ayudas prácticas-técnicas del AICPA (Technical Information Service Inquiries and Replies included in AICPA Technical Practice Aids). Requisitos de una norma supletoria y reglas de la supletoriedad |
5 |
|
Adicionalmente a lo establecido en la referida NIF A-1, Capítulo 90 las normas que se apliquen supletoriamente deberán cumplir con lo siguiente: a) no podrán aplicarse de manera anticipada; b) no deben contravenir con la filosofía y los conceptos generales establecidos en los criterios de contabilidad para uniones de crédito; c) no será aplicable el proceso de supletoriedad que, en su caso, se encuentre previsto dentro de cada una de las normas utilizadas supletoriamente, excepto cuando dicha supletoriedad cumpla con los incisos anteriores y se cuente con la autorización de esta CNBV, y d) serán sustituidas las normas que hayan sido aplicadas en el proceso de supletoriedad, al momento de que se emita un criterio de contabilidad específico por parte de la CNBV o una NIF, sobre el tema en el que se aplicó dicho proceso. Normas de revelación |
6 |
|
Las entidades que sigan el proceso supletorio consignado en este criterio deberán comunicar por escrito a la vicepresidencia de la CNBV encargada de su supervisión dentro de los 10 días naturales siguientes a su aplicación, la norma contable que se hubiere adoptado supletoriamente, así como su base de aplicación y la fuente utilizada. Adicionalmente, las entidades deberán revelar mediante notas a los estados financieros, la información solicitada en la citada NIF A-1, Capítulo 90 y la cuantificación de sus impactos en los estados financieros. |
7 |
|
B-1 EFECTIVO Y EQUIVALENTES DE EFECTIVO Objetivo y alcance |
|
|
El presente criterio tiene por objetivo definir las normas particulares relativas al reconocimiento, valuación, presentación y revelación en los estados financieros de las partidas que integran el rubro de efectivo y equivalentes de efectivo en el estado de situación financiera de las entidades. Definiciones |
1 |
|
Efectivo. – Es la moneda de curso legal y la moneda extranjera en caja y en depósitos en entidades financieras efectuados en el país o en el extranjero, disponibles para la operación de la entidad; tales como, las disponibilidades en cuentas de cheques, giros bancarios, telegráficos o postales y remesas en tránsito. |
2 |
|
Equivalentes de efectivo. – Son valores a corto plazo, de alta liquidez, fácilmente convertibles en efectivo que están sujetos a riesgos poco importantes de cambios en su valor; y se mantienen para cumplir compromisos de corto plazo, más que para propósitos de inversión; pueden estar denominados en moneda nacional o extranjera; por ejemplo, la compra de divisas vinculadas a su objeto social, que no se consideren instrumentos derivados conforme lo establece el Banco de México en la regulación aplicable, así como otros equivalentes de efectivo tales como documentos de cobro inmediato e instrumentos financieros de alta liquidez. |
3 |
|
Instrumentos financieros de alta liquidez. – Son los valores cuya disposición se prevé dentro de un máximo de 48 horas a partir de su adquisición, generan rendimientos y tienen riesgos poco importantes de cambios en su valor. |
4 |
|
Los depósitos en entidades financieras representados o invertidos en títulos, que no cumplan con los previstos en los dos párrafos anteriores serán objeto de la NIF C-2. Normas de reconocimiento |
5 |
|
El efectivo se deberá reconocer inicialmente a su valor razonable, que es su valor nominal. |
6 |
|
Todos los equivalentes de efectivo, en su reconocimiento inicial, deben valuarse a su valor razonable. |
7 |
|
Los rendimientos que generen el efectivo y los equivalentes de efectivo, se reconocerán en los resultados del ejercicio conforme se devenguen. |
8 |
|
Los documentos de cobro inmediato “en firme” se reconocerán de acuerdo con lo siguiente: a) en el caso de transacciones con entidades del país, no deberán contener partidas no cobradas después de 2 días hábiles de haberse efectuado la operación que les dio origen, ni los que habiéndose depositado en bancos hubiesen sido objeto de devolución. b) cuando correspondan a transacciones con entidades del extranjero, deberán registrarse en efectivo y equivalentes de efectivo solo si son cobrables dentro de un plazo máximo de 5 días hábiles. |
9 |
|
Cuando los documentos señalados en el párrafo anterior no hubiesen sido cobrados en los plazos antes mencionados (2 o 5 días, según corresponda), el importe de estos se traspasará a la partida que le dio origen, es decir, si provienen de: a) deudores diversos, deberá atenderse a lo dispuesto en la NIF C-3 o la NIF C-20, según corresponda, o b) cartera de crédito, deberá atenderse a lo dispuesto en el Criterio B-5 “Cartera de crédito”. |
10 |
|
Los documentos de cobro inmediato “salvo buen cobro”, de operaciones celebradas con entidades del país o del extranjero, se registrarán en cuentas de orden en el rubro de otras cuentas de registro. |
11 |
|
Las divisas adquiridas vinculadas a su objeto social que se pacte liquidar en una fecha posterior a la concertación de la operación de compraventa, se reconocerán a dicha fecha de concertación como efectivo y equivalentes de efectivo restringidos (divisas a recibir), en tanto que, las divisas vendidas se registrarán como una salida de efectivo y equivalentes de efectivo (divisas a entregar). La contraparte deberá ser una cuenta liquidadora, acreedora o deudora, según corresponda, de conformidad con lo establecido en el Criterio A-3. Normas de valuación |
12 |
|
El efectivo se deberá mantener valuado a su valor nominal, mientras que los equivalentes de efectivo deberán valuarse a su valor razonable. |
13 |
|
Los instrumentos financieros de alta liquidez deben valuarse con base en lo establecido en las normas sobre instrumentos financieros, de acuerdo con el modelo de negocio que corresponda a cada tipo de instrumento. Normas de presentación Estado de situación financiera |
14 |
|
El rubro de efectivo y equivalentes de efectivo deberá mostrarse en el estado de situación financiera de las entidades como la primera partida que integra el activo, incluyendo el efectivo y equivalentes de efectivo restringidos. |
15 |
|
En caso de que exista sobregiro en cuentas de cheques reportado en el estado de cuenta emitido por la institución de crédito correspondiente, el monto del sobregiro debe presentarse en el rubro de otras cuentas por pagar, aun cuando se mantengan otras cuentas de cheques con la misma institución de crédito. De igual manera, si el saldo compensado de divisas a recibir con las divisas a entregar, o si algún concepto que integra el rubro de efectivo y equivalentes de efectivo, llegara a mostrar saldo negativo, dicho concepto deberá ser presentado en el rubro de otras cuentas por pagar. Estado de resultado integral |
16 |
|
Los rendimientos que generan los depósitos en entidades financieras, así como los efectos de valorización de aquellos constituidos en moneda extranjera, se presentarán en el estado de resultado integral, como un ingreso o gasto por intereses, en tanto que los resultados por valuación y compraventa de divisas vinculadas a su objeto social se agruparán en el rubro de resultado por intermediación, a que hace referencia el criterio D-2 “Estado de resultado integral” (Criterio D-2). Normas de revelación |
17 |
|
El rubro de efectivo y equivalentes de efectivo se desglosará mediante notas a los estados financieros incluyendo, según sea el caso, entre otros, caja, depósitos en entidades financieras efectuados en el país y en el extranjero y, por último, otros equivalentes de efectivo. Asimismo, deberán observarse en su caso, las siguientes reglas: a) cuando alguna partida dentro del rubro tenga restricción en cuanto a disponibilidad o fin a que se destina, deberá revelarse su importe, las razones de su restricción y la fecha probable en que esta expirará; b) en caso de que el saldo de efectivo y equivalentes de efectivo se presente en el pasivo, en términos de lo señalado en el párrafo 16, se deberá revelar este hecho y las causas que le dieron origen; c) se deberá revelar la existencia de efectivo y equivalentes de efectivo denominados en moneda extranjera, indicando su monto, tipo de moneda de que se trata, plazo de liquidación, cotizaciones utilizadas para su conversión y su equivalente en moneda nacional, y d) revelar el efecto de los hechos posteriores que, por su importancia, hayan modificado sustancialmente la valuación del efectivo y equivalentes de efectivo en moneda extranjera y en instrumentos financieros de alta liquidez entre la fecha de los estados financieros y la fecha en que estos son autorizados para su emisión, conforme a la NIF B-13 “Hechos posteriores a la fecha de los estados financieros”. |
18 |
B-3 REPORTOS Objetivo y alcance |
|
|
El presente criterio tiene por objetivo definir las normas particulares relativas al reconocimiento, valuación, presentación y revelación en los estados financieros, de las operaciones de reporto. |
1 |
|
El tratamiento de las operaciones que, conforme a lo establecido en la NIF C-14, cumplan con los requisitos para dar de baja los activos financieros objeto de la misma, en virtud de que se transfieren los riesgos, beneficios y control de dichos activos financieros, no es objeto del presente criterio, por lo que deberá atenderse a lo establecido en la NIF C-2. Definiciones |
2 |
|
Activo financiero.- Derecho que surge de un contrato, el cual otorga recursos económicos monetarios a la entidad. Por lo tanto, incluye, entre otros: a) efectivo o equivalentes de efectivo; b) instrumentos financieros generados por un contrato, tales como una inversión en un instrumento de deuda o de capital emitido por un tercero; c) un derecho contractual de recibir efectivo o cualquier instrumento financiero de otra entidad; d) un derecho contractual a intercambiar activos financieros o pasivos financieros con un tercero en condiciones favorables para la entidad, o e) un derecho que será cobrado con un número variable de instrumentos financieros de capital emitidos por la propia entidad. |
3 |
|
Activos financieros sustancialmente similares.- Aquellos activos financieros que, entre otros, mantienen el mismo obligado primario, idéntica forma y tipo (por lo que genera sustancialmente los mismos riesgos y beneficios), misma fecha de vencimiento, idéntica tasa de interés contractual, colateral similar, mismo saldo insoluto. |
4 |
|
Baja de activos financieros.- Es la eliminación total o parcial, de un activo financiero, previamente reconocido en el estado de situación financiera de una entidad, la cual tiene lugar cuando esa partida ya no cumple con la definición de activo, es decir, cuando la entidad pierde el control del mismo. |
5 |
|
Colateral.- Es la salvaguarda constituida por un activo o grupo de activos para garantizar el pago de las contraprestaciones pactadas. Para efectos de las operaciones de reporto, los colaterales serán en todo momento aquellos permitidos conforme a la regulación vigente. |
6 |
|
Contraprestaciones.- Efectivo y equivalentes de efectivo, el derecho a recibir todo o porciones específicas de flujos de efectivo de un fideicomiso, entidad u otra figura, instrumentos financieros de capital, instrumentos financieros derivados, o cualquier otro tipo de activo que es obtenido en una transferencia de activos financieros, incluyendo cualquier obligación incurrida. Para efectos de las operaciones de reporto, las contraprestaciones serán en todo momento aquellas permitidas conforme a la regulación vigente. |
7 |
|
Costo amortizado.- Es una base de valuación de costo histórico aplicable a activos financieros y pasivos financieros y refleja el valor presente de los flujos futuros. Para instrumentos a tasa variable, la tasa de descuento se actualiza para reflejar los cambios en la misma. El costo amortizado de un activo financiero o de un pasivo financiero se actualiza a lo largo del tiempo para describir los cambios posteriores, tales como la devengación de intereses, el deterioro del activo financiero y los cobros y pagos. |
8 |
|
Instrumentos financieros de capital.- Cualquier documento o título originado por un contrato que evidencia la participación o la opción de participar en los activos netos de una entidad. |
9 |
|
Método de interés efectivo.- Es el utilizado en el cálculo del costo amortizado de un instrumento financiero para distribuir su ingreso o gasto por interés efectivo en los periodos correspondientes de la vida del instrumento financiero. |
10 |
|
Operaciones de reporto orientadas a efectivo.- Transacción motivada por la necesidad de la reportada de obtener un financiamiento en efectivo y la intención de la reportadora de invertir su exceso de efectivo. |
11 |
|
Operaciones de reporto orientadas a valores.- Transacción motivada por la necesidad de la reportadora de acceder temporalmente a ciertos instrumentos financieros en específico y la intención de la reportada de aumentar los rendimientos de sus inversiones en instrumentos financieros. |
12 |
|
Precio fijo al vencimiento.- Es aquel derecho u obligación, según sea el caso, representada por el precio pactado más el interés por reporto, acordados en la operación. |
13 |
|
Precio pactado.- Representa el derecho u obligación a recibir o entregar recursos, acordados al inicio de la operación. |
14 |
|
Reportada.- Aquella entidad que recibe efectivo, por medio de una operación de reporto en la que transfiere activos financieros como colateral, con la obligación de reintegrar a la reportadora al término de la operación el efectivo y los intereses por reporto convenidos. |
15 |
|
Reportadora.- Aquella entidad que entrega efectivo, por medio de una operación de reporto, en la que recibe activos financieros como colateral, con la obligación de regresarlos a la reportada al término de la operación y recibiendo el efectivo más el interés por reporto convenidos. |
16 |
|
Reporto. – Operación por medio de la cual el reportador adquiere por una suma de dinero la propiedad de títulos de crédito, y se obliga a transferir al reportado la propiedad de otros tantos títulos de la misma especie, en el plazo convenido y contra reembolso del mismo precio más un premio. El premio queda en beneficio del reportador, salvo pacto en contrario. |
17 |
|
Tasa de interés efectiva.- Es la tasa que descuenta exactamente los flujos de efectivo futuros estimados que se cobrarán o se liquidarán durante la vida esperada de un instrumento financiero en la determinación de su costo amortizado; su cálculo debe considerar los flujos de efectivo contractuales y los costos de transacción relativos. |
18 |
|
Tasa de reporto.- Es la tasa pactada con la que se determina el pago de intereses por el uso de efectivo en la operación de reporto. |
19 |
|
Valor razonable.- Es el precio de salida que, a la fecha de valuación se recibiría por vender un activo o se pagaría por transferir un pasivo en una transacción ordenada entre participantes del mercado. Características Sustancia económica y legal de las operaciones de reporto |
20 |
|
Las operaciones de reporto para efectos legales son consideradas como una venta en donde se establece un acuerdo de recompra de los activos financieros transferidos. No obstante, la sustancia económica de las operaciones de reporto es la de un financiamiento con colateral, en donde la reportadora entrega efectivo como financiamiento, a cambio de obtener activos financieros que sirvan como protección en caso de incumplimiento. |
21 |
|
A este respecto, los activos financieros otorgados como colateral por la reportada, que no cumplan con los requisitos para ser dados de baja en términos de lo establecido por la NIF C-14, continúan siendo reconocidos en su estado de situación financiera, toda vez que conserva los riesgos, beneficios y control de los mismos; es decir, que si existiera cualquier cambio en el valor razonable, devengamiento de intereses o se decretaran dividendos sobre los activos financieros otorgados como colateral, la reportada es quien se encuentra expuesta, y por tanto reconoce dichos efectos en sus estados financieros. |
22 |
|
En contraste, aquellas operaciones en donde económicamente la reportadora adquiera los riesgos, beneficios y control de los activos financieros transferidos no pueden ser consideradas como operaciones de reporto, siendo objeto de la NIF C-2. Intencionalidad de las operaciones de reporto |
23 |
|
En las operaciones de reporto generalmente existen dos tipos de intenciones, ya sea de la reportada o de la reportadora: la “orientada a efectivo” o la “orientada a valores”. |
24 |
|
En un reporto “orientado a efectivo”, la intención de la entidad reportada es obtener un financiamiento en efectivo, destinando para ello activos financieros como colateral; por su parte, la reportadora obtiene un rendimiento sobre su inversión a cierta tasa y al no buscar algún valor en específico, recibe activos financieros como colateral para mitigar la exposición al riesgo crediticio que enfrenta respecto a la reportada. |
25 |
|
En este sentido, la reportada paga a la reportadora intereses por el efectivo que recibió como financiamiento, calculados con base en la tasa de reporto pactada (que usualmente es menor a la tasa existente en el mercado para un financiamiento sin colateral de por medio). Por su parte, la reportadora consigue rendimientos sobre su inversión cuyo pago se asegura a través del colateral. |
26 |
|
En un reporto “orientado a valores”, la intención de la reportadora es acceder temporalmente a ciertos valores específicos que posee la reportada (por ejemplo, si la reportadora mediante previa operación de reporto en la que actúa como reportada, contrajo un compromiso sobre un valor similar al objeto de la nueva operación), otorgando efectivo como colateral, el cual sirve para mitigar la exposición al riesgo que enfrenta la reportada respecto a la reportadora. |
27 |
|
A este respecto, la reportada paga a la reportadora los intereses pactados a la tasa de reporto por el financiamiento implícito obtenido sobre el efectivo que recibió, donde dicha tasa de reporto es generalmente menor a la que se hubiera pactado en un reporto “orientado a efectivo”. |
28 |
|
En las operaciones de reporto de manera usual se acuerda un precio pactado cuyo valor se encuentra por arriba o por debajo del efectivo intercambiado, por lo que la diferencia existente entre el efectivo intercambiado y el precio pactado tiene por objeto proteger a la contraparte que se encuentre expuesta a los riesgos de la operación (por ejemplo, ante el riesgo de mercado). Si la operación es “orientada a efectivo”, la reportada generalmente otorga activos financieros en garantía a un precio pactado menor al valor de mercado, por lo que su valor razonable es superior respecto al efectivo recibido; en contraposición, si es “orientada a valores” la reportadora generalmente recibirá títulos en garantía a un precio pactado mayor al valor de mercado, por lo que su valor razonable se encuentra por debajo del efectivo otorgado. |
29 |
|
La entrega del colateral puede darse al inicio de la operación o bien durante la vida del reporto respecto de las variaciones en el valor razonable del colateral otorgado. |
30 |
|
Considerando todo lo anterior, no obstante la intención económica, el tratamiento contable de las operaciones de reporto “orientados a efectivo” u “orientados a valores” es el mismo. Normas de reconocimiento y valuación Reportadora |
31 |
|
En la fecha de contratación de la operación de reporto, actuando la entidad como reportadora, deberá reconocer la salida de efectivo y equivalentes de efectivo, o bien una cuenta liquidadora acreedora, registrando una cuenta por cobrar medida inicialmente al precio pactado, la cual representa el derecho a recuperar el efectivo entregado. |
32 |
|
Durante la vida del reporto, la cuenta por cobrar a que se refiere el párrafo anterior, se valuará a su costo amortizado, mediante el reconocimiento del interés por reporto en los resultados del ejercicio conforme se devengue, de acuerdo con el método de interés efectivo, afectando dicha cuenta por cobrar. |
33 |
|
Los activos financieros que la reportadora hubiere recibido como colateral, deberán tratarse conforme a lo establecido en la siguiente sección. Colaterales otorgados y recibidos distintos a efectivo |
34 |
|
El colateral otorgado por la reportada a la reportadora (distinto a efectivo), deberá reconocerse conforme a lo siguiente: a) la reportadora reconocerá el colateral recibido en cuentas de orden, siguiendo para su valuación los lineamientos establecidos en el criterio de contabilidad para uniones de crédito que corresponda; b) la reportadora, al vender el colateral, deberá reconocer los recursos procedentes de la transacción, así como una cuenta por pagar por la obligación de restituir el colateral a la reportada (medida inicialmente al precio pactado) la cual se valuará a su valor razonable (cualquier diferencial entre el precio recibido y el valor de la cuenta por pagar se reconocerá en los resultados del ejercicio); c) en caso de que la reportada incumpla con las condiciones establecidas en el contrato, y por tanto no pudiera reclamar el colateral, la reportadora deberá reconocer en su estado de situación financiera la entrada del colateral, conforme se establece en los presentes criterios, de acuerdo al tipo de bien de que se trate, contra la cuenta por cobrar a que hace referencia el párrafo 32, o en su caso, si hubiera previamente vendido el colateral deberá dar de baja la cuenta por pagar a que hace referencia el inciso b), relativa a la obligación de restituir el colateral a la reportada; d) la reportadora deberá reconocer el colateral en sus estados financieros únicamente en cuentas de orden, con excepción de lo establecido en el inciso c) anterior, es decir, cuando se han transferido los riesgos, beneficios y control del colateral por el incumplimiento de la reportada, y e) las cuentas de orden reconocidas por colaterales recibidos por la reportadora se deberán cancelar cuando la operación de reporto llegue a su vencimiento o exista incumplimiento por parte de la reportada. |
35 |
|
Tratándose de operaciones en donde la reportadora venda el colateral recibido deberá llevar en cuentas de orden el control de dicho colateral vendido, siguiendo para su valuación los lineamientos del criterio de contabilidad para uniones de crédito que corresponda. |
36 |
|
Las cuentas de orden reconocidas por colaterales recibidos que a su vez hayan sido vendidos por la reportadora se deberán cancelar cuando la entidad adquiera el colateral vendido para restituirlo a la reportada, o bien exista incumplimiento de la contraparte. Normas de presentación Estado de situación financiera |
37 |
|
La cuenta por cobrar que representa el derecho de recibir el efectivo, así como los intereses devengados, deberán presentarse dentro del estado de situación financiera, en el rubro de deudores por reporto. |
38 |
|
El colateral recibido de la reportada deberá presentarse en cuentas de orden en el rubro de colaterales recibidos por la entidad. |
39 |
|
La cuenta por pagar a que se refiere el inciso b) del párrafo 35, que representa la obligación de la reportadora de restituir a la reportada el colateral que hubiera vendido deberá presentarse dentro del estado de situación financiera, en el rubro de colaterales vendidos. |
40 |
|
Las cuentas de orden a que hace referencia el párrafo 36, respecto de aquellos colaterales recibidos por la reportadora que a su vez hayan sido vendidos se deberán presentar en el rubro de colaterales recibidos y vendidos por la entidad. Estado de resultado integral |
41 |
|
El devengamiento del interés por reporto derivado de la operación, se presentará en el rubro de ingresos por intereses. |
42 |
|
El diferencial a que hace referencia el inciso b) del párrafo 35 que, en su caso, se hubiere generado por la venta, se presentará en el rubro de resultado por intermediación. |
43 |
|
La valuación a valor razonable de la cuenta por pagar a que hace referencia el inciso b) del párrafo 35, que representa la obligación de la reportadora de restituir a la reportada el colateral que hubiere vendido se presentará en el rubro de resultado por intermediación. Compensación de activos y pasivos financieros |
44 |
|
Para efectos de compensación entre activos y pasivos financieros actuando la entidad como reportadora, deberá atenderse lo señalado en la NIF B-12. Normas de revelación |
45 |
|
Las entidades deberán revelar mediante notas a los estados financieros, la información correspondiente a las operaciones de reporto de la siguiente forma: a) monto total de las operaciones celebradas; b) monto de los intereses por reporto reconocidos en los resultados del ejercicio; c) plazos promedio en la contratación de las operaciones de reporto vigentes; d) tipo y monto total por tipo de bien de los colaterales recibidos; e) de los colaterales recibidos y a su vez vendidos, el monto total por tipo de bien, y f) la tasa pactada en las operaciones relevantes. |
46 |
|
B-5 CARTERA DE CRÉDITO Objetivo y alcance |
|
|
El presente criterio tiene por objetivo definir las normas particulares relativas al reconocimiento inicial y posterior, valuación, presentación y revelación en los estados financieros de la cartera de crédito de las entidades. |
1 |
|
Este criterio también incluye los lineamientos contables relativos al reconocimiento y presentación de la estimación preventiva para riesgos crediticios. |
2 |
|
No son objeto de este criterio: a) el establecimiento de la metodología para la calificación y constitución de la estimación preventiva para riesgos crediticios; b) las normas contables relativas a instrumentos financieros, que se cotizan en mercados reconocidos y que la entidad mantenga en posición propia, aún y cuando se encuentren vinculados con operaciones de crédito, siendo materia de la NIF C-2 o NIF C-20, según sea el caso; c) las cuentas por cobrar a clientes y las otras cuentas por cobrar, que son objeto de la NIF C-3, y d) los derechos de cobro que adquiera la entidad que se encuentren en los supuestos previstos en el párrafo 20 siguiente, serán objeto de la NIF C-20. Definiciones |
3 |
|
Acreditado.- La persona física o moral, o fideicomiso a quien le es otorgado un crédito y que está obligado al pago del capital y otras prestaciones acordadas con el otorgante. |
4 |
|
Aforo.- El importe del valor nominal de los derechos de crédito transferidos en una operación de factoraje financiero, descuento o cesión de derechos de crédito, que el receptor no financia al factorado o transferente y que está obligado a entregar a este último, una vez que se lleva a cabo el cobro de la cartera objeto de factoraje, descuento o cesión de derechos de crédito. |
5 |
|
Arrendamiento financiero.- Es aquel que transfiere al arrendatario sustancialmente todos los riesgos y beneficios inherentes a la propiedad del activo subyacente. |
6 |
|
Calificación de cartera.- Metodología utilizada por las entidades para determinar el riesgo crediticio asociado a los créditos otorgados por las mismas. |
7 |
|
Capacidad de pago.- Para efectos del presente criterio, se entenderá que existe capacidad de pago cuando se cumplan las condiciones que, para las uniones de crédito, al efecto establezcan las Disposiciones. |
8 |
|
Cartera con riesgo de crédito etapa 1. – Son todos aquellos créditos cuyo riesgo de crédito no se ha incrementado significativamente desde su reconocimiento inicial hasta la fecha de los estados financieros y que no se encuentran en los supuestos para considerarse etapa 2 o 3 en términos del presente criterio. |
9 |
|
Cartera con riesgo de crédito etapa 2. – Incluye aquellos créditos que han mostrado un incremento significativo de riesgo de crédito desde su reconocimiento inicial hasta la fecha de los estados financieros conforme a lo dispuesto en los modelos de cálculo de la estimación preventiva para riesgos crediticios establecidos o permitidos en las Disposiciones, así como lo dispuesto en el presente criterio. |
10 |
|
Cartera con riesgo de crédito etapa 3. – Son aquellos créditos con deterioro crediticio originado por la ocurrencia de uno o más eventos que tienen un impacto negativo sobre los flujos de efectivo futuros de dichos créditos conforme a lo dispuesto en el presente criterio. |
11 |
|
Castigo.- Es la cancelación del crédito cuando exista evidencia de que se han agotado las gestiones formales de cobro, y como consecuencia, la administración de la entidad determina que no tiene expectativas razonables de recuperarlo, ya sea total o parcialmente. |
12 |
|
Cesión de derechos de crédito.- Aquellas operaciones de financiamiento por virtud de las cuales se transmite a alguna entidad la titularidad de derechos de crédito. No se considerarán operaciones de Cesión de derechos de crédito las adquisiciones de cartera de crédito. |
13 |
|
Consolidación de créditos.- Es la integración en un solo crédito, de dos o más créditos otorgados por la misma entidad a un mismo acreditado. |
14 |
|
Costo amortizado.- Es una base de valuación de costo histórico aplicable a activos financieros y pasivos financieros y refleja el valor presente de los flujos futuros. Para instrumentos a tasa variable, la tasa de descuento se actualiza para reflejar los cambios en la misma. El costo amortizado de un activo financiero o de un pasivo financiero se actualiza a lo largo del tiempo para describir los cambios posteriores, tales como la devengación de intereses, el deterioro del activo financiero y los cobros y pagos. |
15 |
|
Costos de transacción. – Son costos incrementales directamente atribuibles a la adquisición o generación de un crédito, es decir, aquellos en que no se hubieran incurrido si la entidad no hubiera adquirido o generado el crédito, proceden directamente de la transacción y son parte esencial de la misma. Adicionalmente, se considerarán costos de transacción, los atribuibles a la reestructura o renovación del crédito. |
16 |
|
Crédito.- Es una transacción mediante la cual una entidad entrega a un acreditado un monto de efectivo como financiamiento, el cual debe ser devuelto por el acreditado en cierto plazo, adicionando, un monto por concepto de interés. Lo anterior sin perjuicio de lo que establezcan las disposiciones legales aplicables. |
17 |
|
Créditos comerciales.- Se consideran como tales, entre otros, a los siguientes créditos directos o contingentes denominados en moneda nacional, extranjera o en UDIS, así como los intereses que generen: a) los otorgados a sus socios ya sean personas morales o personas físicas con actividad empresarial y destinados a su giro comercial o financiero; b) créditos por operaciones de factoraje financiero, descuento y cesión de derechos de crédito; c) créditos por operaciones de arrendamiento financiero que sean celebradas con personas morales o físicas con actividad empresarial; d) créditos otorgados a fiduciarios que actúen al amparo de fideicomisos y los esquemas de crédito comúnmente conocidos como “estructurados” en los que exista una afectación patrimonial que permita evaluar individualmente el riesgo asociado al esquema, y e) créditos otorgados a entidades financieras |
18 |
|
Créditos restringidos.- Se considera como tales a aquellos créditos respecto de los que existen circunstancias por las cuales no se puede disponer o hacer uso de ellos, debiéndose presentar como restringidos; por ejemplo, la cartera de crédito que la entidad transferente otorgue como garantía o colateral en operaciones de bursatilización. |
19 |
|
Derechos de cobro adquiridos. - Créditos adquiridos por las entidades sobre los cuales se determina que, con base en la información y hechos actuales así como en el proceso de revisión de los créditos, existe una probabilidad considerable de que no se podrán recuperar en su totalidad los montos exigibles contractualmente (principal e intereses), conforme a los términos y condiciones pactados originalmente, y que al momento de su adquisición y durante la vida de los mismos, se consideren cartera con riesgo de crédito etapa 3, no pueda identificarse el precio pagado por cada crédito, o no se cuente con los elementos e información que permitan al adquirente aplicar la regulación que en materia de crédito emita la CNBV. |
20 |
|
Deudor de los derechos de crédito.- La persona física o moral a quien originalmente le son exigibles los derechos de crédito transferidos del factorado (transferente) al factorante (receptor) en una operación de factoraje financiero, descuento o cesión de derechos de crédito. |
21 |
|
Estimación preventiva para riesgos crediticios.- Afectación que se realiza contra los resultados del ejercicio y que mide aquella porción del crédito que se estima no tendrá viabilidad de cobro. |
22 |
|
Factorado (Transferente).- La persona física o moral que transfiere los derechos de crédito que tenga a su favor, cuya obligación de pago está a cargo del deudor de los derechos de crédito objeto de factoraje financiero. |
23 |
|
Factoraje financiero.- Operación por virtud de la cual el factorante conviene con el factorado, quien podrá ser persona física o moral, en adquirir derechos de crédito que este último tenga a su favor por un precio determinado o determinable, en moneda nacional, extranjera o UDIS, independientemente de la fecha y la forma en que se pague, pudiendo pactarse que el factorado quede obligado a responder del pago puntual y oportuno de los derechos de crédito transmitidos al factorante. |
24 |
|
Factorante (Receptor).- La entidad que adquiere los derechos de crédito a favor del factorado (Transferente). |
25 |
|
Línea de crédito.- Es un acuerdo que, por sus condiciones contractuales, tiene como característica el poner a disposición del cliente un crédito, es decir, cierto monto de dinero por un periodo de tiempo determinado. |
26 |
|
Método de interés efectivo. – Es el utilizado en el cálculo del costo amortizado de la cartera de crédito para distribuir su ingreso o gasto por interés efectivo en los periodos correspondientes de la vida de la cartera de crédito. |
27 |
|
Operación de descuento.- Operación por virtud de la cual la entidad descontante se obliga a anticipar al descontatario el importe de un crédito, contra tercero y de vencimiento futuro, a cambio de la enajenación a favor de la entidad descontante del citado crédito, disminuido por un interés a favor del descontante. |
28 |
|
Pago. - Entrega real de la cosa o cantidad debida o la prestación del servicio que se hubiere pactado. No se considerarán como pago el ingreso financiero por devengar proveniente de las operaciones de arrendamiento financiero, factoraje financiero, descuento o cesión de derechos de crédito, ni los intereses que se capitalicen. |
29 |
|
No se consideran pagos los castigos, quitas, condonaciones, bonificaciones y descuentos que se efectúen a un crédito o grupo de créditos. |
30 |
|
Pago sostenido del crédito.- Cumplimiento de pago del acreditado sin retraso por el monto total exigible de principal e intereses, de acuerdo con lo establecido en el apartado de pago sostenido del crédito, contenido en el presente criterio. |
31 |
|
Reestructuración.- Es aquella renegociación de la que se deriva cualquier modificación a las condiciones originales del crédito, entre las cuales se encuentran: ● cambio de la tasa de interés establecida para el plazo remanente del crédito; ● cambio de moneda o unidad de cuenta (por ejemplo, UDI); ● concesión de un plazo de espera respecto del cumplimiento de las obligaciones de pago conforme a los términos originales del crédito; ● prórroga del plazo del crédito; ● modificación al esquema de pagos pactado, o ● ampliación de garantías que amparan el crédito de que se trate. |
32 |
|
Renovación.- Es aquella renegociación en la que el saldo de un crédito es liquidado parcial o totalmente por el deudor, sus obligados solidarios u otra persona que por sus nexos patrimoniales constituya riesgos comunes con el deudor, a través del incremento al monto original del crédito, o bien con el producto proveniente de otro crédito contratado con la misma entidad o con un tercero que por sus nexos patrimoniales con esta última constituya riesgos comunes. |
33 |
|
No obstante lo anterior, no se considerará renovado un crédito por las disposiciones que se efectúen durante la vigencia de una línea de crédito preestablecida, siempre y cuando el acreditado haya liquidado la totalidad de los pagos que le sean exigibles conforme a las condiciones originales del crédito. |
34 |
|
Riesgo de crédito.- Para efectos de este criterio, se define como la pérdida potencial por la falta de pago de un acreditado o contraparte en las operaciones que efectúan las entidades, incluyendo las garantías reales o personales que les otorguen, así como cualquier otro mecanismo de mitigación utilizado por las entidades. |
35 |
|
Saldo insoluto. – Para efectos de este criterio, se integra por el monto efectivamente otorgado al acreditado, ajustado por los intereses devengados que hayan sido reconocidos de acuerdo con lo establecido en el presente criterio, otros conceptos financiados, los cobros de principal e intereses, así como por las quitas, condonaciones, bonificaciones y descuentos que se hayan otorgado. |
36 |
|
Tasa de interés efectiva. – Es la tasa que descuenta exactamente los flujos de efectivo futuros estimados que se cobrarán durante la vida esperada de un crédito en la determinación de su costo amortizado; su cálculo debe considerar los flujos de efectivo contractuales y los costos de transacción relativos. |
37 |
|
Valor residual no garantizado. - Es la parte del valor residual del activo subyacente, cuya realización por parte del arrendador no está asegurada o que solo está garantizada por una parte relacionada del mismo. Normas de reconocimiento y valuación Modelo de negocio |
38 |
|
El modelo de negocio se refiere a cómo la entidad administra o gestiona la cartera de crédito para generar flujos de efectivo. Esto es, el modelo de negocio de la entidad determina si los flujos de efectivo procederán de la obtención de flujos de efectivo contractuales, de la venta de la cartera de crédito, o de ambas. |
39 |
|
El modelo de negocio de la entidad para administrar o gestionar la cartera de crédito es una cuestión de hechos y no de una mera intención o afirmación. Generalmente es observable a través de las actividades que lleva a cabo la entidad para lograr el objetivo del modelo de negocio. |
40 |
|
La cartera de crédito debe reconocerse en términos del presente criterio, si el objetivo del modelo de negocio es conservarla para cobrar los flujos de efectivo contractuales y los términos del contrato prevén flujos de efectivo en fechas preestablecidas, que corresponden únicamente a pagos de principal e interés sobre el monto del principal pendiente de pago. De no cumplirse lo anterior, debe tratarse conforme a lo establecido en la NIF C-2. |
41 |
|
Para determinar si los flujos de efectivo contractuales de la cartera de crédito van a realizarse mediante su cobro, es necesario considerar la frecuencia, el valor y la oportunidad de las ventas de cartera de crédito en periodos anteriores, las razones de dichas ventas y las expectativas sobre la actividad de ventas futuras. Sin embargo, las ventas en forma aislada no determinan el modelo de negocio; en su lugar, la información sobre ventas pasadas y las expectativas sobre ventas futuras proporcionan evidencia relacionada con la forma en que se logra el objetivo señalado de la entidad para administrar o gestionar la cartera de crédito y, específicamente, cómo se realizan los flujos de efectivo. La entidad debe considerar información sobre ventas pasadas en el contexto de las razones de dichas ventas y las condiciones que existían en ese momento en comparación con las actuales. |
42 |
|
El modelo de negocio puede ser conservar la cartera de crédito para cobrar sus flujos de efectivo, incluso si la entidad la vende cuando hay un incremento en su riesgo crediticio. Independientemente de su frecuencia y valor, las ventas originadas por un incremento en el riesgo crediticio de la cartera de crédito no son incongruentes con un modelo de negocio cuyo objetivo es conservarla para cobrar los flujos de efectivo contractuales, porque la calidad del riesgo de crédito es relevante en cuanto a la capacidad de la entidad de cobrar los flujos de efectivo contractuales. Las actividades de gestión del riesgo crediticio que pretenden minimizar las pérdidas crediticias potenciales debido al deterioro del crédito son parte integrante de un modelo de negocio. |
43 |
|
La entidad deberá documentar las pruebas que realice para determinar que un crédito o portafolio de créditos, cumple con el supuesto de que los flujos de efectivo del contrato corresponden únicamente a pagos de principal e interés, o bien, que por sus características deberá valuarse a valor razonable. |
44 |
|
Los créditos o portafolios de créditos previamente evaluados, cuyas condiciones contractuales se modifiquen y en el caso los nuevos productos, deberán sujetarse a las pruebas a que se refiere el párrafo anterior, y estar autorizadas por el Comité de crédito de la entidad, así como comunicarse por escrito a la CNBV dentro de los 10 días naturales previos a su aplicación, exponiendo detalladamente la justificación para su clasificación dentro del modelo de negocio para cobro de principal e interés, para negociar o para cobrar y vender. |
45 |
|
La entidad deberá evaluar periódicamente, de conformidad con sus políticas establecidas para tales efectos, las características de su modelo de negocio para clasificar la cartera de crédito con base en su objetivo. Las políticas antes señaladas deberán estar debidamente documentadas. |
46 |
|
La CNBV podrá, en todo momento, ordenar que los instrumentos financieros que hubieran sido valuados a valor razonable a que se refiere el párrafo 41 sean valuados a su costo amortizado, cuando a su juicio existan elementos para concluir que su modelo de negocio es conservarlos para cobrar los flujos de efectivo contractuales correspondientes a su principal e interés. |
47 |
|
Reconocimiento inicial Debe cuantificarse el precio de la transacción que corresponde al monto neto financiado, que resulta de adicionar o restar al monto original del crédito, el seguro que se hubiere financiado, los costos de transacción, las comisiones, intereses y otras partidas cobradas por anticipado. Dicho precio de transacción corresponde al valor razonable de la cartera de crédito en el reconocimiento inicial y será la base para aplicar el método de interés efectivo con la tasa de interés efectiva; es decir, es la base para el cálculo del costo amortizado de la cartera de crédito para su reconocimiento posterior. |
48 |
|
El saldo en la cartera de crédito será el monto efectivamente otorgado al acreditado y se registrará de forma independiente de los costos de transacción, así como de las partidas cobradas por anticipado a que se refiere el párrafo anterior, los cuales se reconocerán como un cargo o crédito diferido, según corresponda y deberán amortizarse contra los resultados del ejercicio durante la vida del crédito, conforme a la tasa de interés efectiva. |
49 |
|
Para efectos del párrafo anterior, los costos de transacción incluyen, entre otros honorarios y comisiones pagados a agentes, asesores e intermediarios, avalúos, gastos de investigación, así como la evaluación crediticia del deudor, evaluación y reconocimiento de las garantías, negociaciones para los términos del crédito, preparación y proceso de la documentación del crédito y cierre o cancelación de la transacción, incluyendo la proporción de la compensación a empleados directamente relacionada con el tiempo invertido en el desarrollo de esas actividades. Por otra parte, los costos de transacción no incluyen premios o descuentos, los cuales forman parte del valor razonable de la cartera de crédito al momento de la transacción. |
50 |
|
Cualquier otro gasto que no esté asociado al otorgamiento del crédito tal como los relacionados con promoción, publicidad, clientes potenciales, administración de los créditos existentes (seguimiento, control, recuperaciones, etc.) y otras actividades auxiliares relacionadas con el establecimiento y monitoreo de políticas de crédito, serán reconocidos directamente en los resultados del ejercicio conforme se devenguen en el rubro que les corresponda de acuerdo con la naturaleza del gasto. |
51 |
|
Las comisiones cobradas y costos de transacción que origine una línea de crédito se reconocerán en ese momento como un crédito o un cargo diferido, el cual se amortizará contra los resultados del ejercicio por el periodo correspondiente al plazo otorgado en la línea de crédito. En caso de que la línea de crédito se cancele, el saldo pendiente por amortizar deberá reconocerse directamente en los resultados del ejercicio en el rubro que corresponda en la fecha en que ocurra la cancelación de la línea. Determinación de la tasa de interés efectiva |
52 |
|
Para determinar la tasa de interés efectiva, la entidad deberá seguir los pasos siguientes: 1. determinar el monto de los flujos de efectivo futuros estimados a recibir. - Mediante la sumatoria del principal y los intereses que se recibirán conforme al esquema de pagos del crédito, durante el plazo contractual, o en un plazo menor si es que existe una probabilidad de pago antes de la fecha de vencimiento u otra circunstancia que justifique la utilización de un plazo menor; 2. determinar el interés efectivo. - Deduciendo de los flujos de efectivo futuros estimados a recibir, determinados conforme al numeral anterior, el monto neto financiado, determinado conforme al párrafo 48 anterior, y 3. determinar la tasa de interés efectiva. - Representa la relación entre el importe referido en el numeral 1 anterior y el monto neto financiado a que se refiere el párrafo 48 anterior. Cuando en términos del numeral 1 anterior, la entidad utilice un plazo menor al contractual, deberá contar con evidencia suficiente de las circunstancias que justifican la aplicación de dicha opción. |
53 |
|
La tasa de interés efectiva podrá determinarse por un portafolio de créditos siempre que los términos contractuales, así como los costos e ingresos asociados a su otorgamiento sean idénticos para todo el portafolio. |
54 |
|
Cuando conforme a los términos del contrato, la tasa de interés se modifique periódicamente, la tasa de interés efectiva calculada al inicio del periodo, podrá ser la que se utilice durante toda la vida del crédito, es decir, no deberá volver a determinarse para cada periodo. Lo anterior deberá quedar sustentado en las políticas contables de cada entidad. |
55 |
|
Existe la presunción de que los flujos de efectivo futuros y la vida esperada del crédito pueden ser confiablemente estimados; sin embargo, en aquellos casos en que no sea posible estimar confiablemente los flujos de efectivo futuros o la vida estimada del o de los créditos, la entidad debe utilizar los flujos de efectivo contractuales. Lo anterior deberá estar debidamente documentado y autorizado por el comité de crédito de la entidad. Adquisiciones de cartera de crédito |
56 |
|
En la fecha de concertación, es decir, aquella en que la entidad se compromete a adquirir la cartera de crédito, ésta deberá reconocerse conforme al tipo de cartera que el transferente la hubiere clasificado, aplicando los pasos siguientes: 1. determinar el valor razonable de la cartera de crédito adquirida, mismo que corresponde al precio de la transacción, y 2. al valor razonable anterior se le deben sumar los costos de transacción. Este monto corresponde al valor al que debe reconocerse la cartera de crédito adquirida; siendo la base para aplicar el método de interés efectivo con la tasa de interés efectiva. El monto determinado en el numeral 2 anterior menos el monto de la estimación preventiva para riesgos crediticios, determinada conforme a lo señalado en el presente criterio, la cual deberá tomar en cuenta los incumplimientos que hubiere presentado el crédito desde su origen, representa el costo amortizado de la cartera de crédito adquirida. |
57 |
|
El saldo por registrar de la cartera adquirida será el señalado en el numeral 1 del párrafo anterior y se registrará de forma independiente de los costos de transacción, los cuales se reconocerán como un cargo diferido, y deberán amortizarse contra los resultados del ejercicio durante la vida del crédito, conforme a la tasa de interés efectiva. |
58 |
|
El cálculo de la tasa de interés efectiva a que se hace referencia en el párrafo inmediato anterior se deberá llevar a cabo como sigue: 1. debe determinarse el monto de los flujos de efectivo futuros estimados que se recibirán por principal e intereses conforme al esquema de pagos pactado durante el plazo contractual, o en un plazo menor, si es que existe una probabilidad de pago antes de la fecha de vencimiento u otra circunstancia que justifique la utilización de un plazo menor, y 2. debe determinarse la tasa de interés efectiva, la cual corresponde a la relación entre el monto determinado en el numeral 1 anterior y el monto determinado en el paso 2 del párrafo 57. |
59 |
|
En el caso de existir alguna diferencia entre el valor de la cartera de crédito adquirida en la fecha de concertación y en la fecha de su liquidación, ésta deberá reconocerse como parte de los intereses por cobrar. Operaciones de arrendamiento financiero |
60 |
|
En las operaciones de arrendamiento financiero, en las que la entidad funja como arrendador, esta reconocerá al inicio del contrato, dentro de su cartera de crédito el valor contractual de la operación de arrendamiento más el valor residual no garantizado que se acumule en beneficio del arrendador, contra la salida de efectivo. El ingreso financiero por devengar se reconocerá en función del saldo insoluto del crédito contra los resultados del ejercicio, en el rubro de ingresos por intereses, de conformidad con la NIF D-5. |
61 |
|
Por los depósitos en garantía que reciba el arrendador, este deberá registrar la entrada de efectivo contra el pasivo correspondiente. |
62 |
|
Cuando el arrendatario opte por participar del precio de venta de los bienes a un tercero, la entidad reconocerá el ingreso que le corresponda al momento de la venta contra los resultados del ejercicio como otros ingresos (egresos) de la operación. Operaciones de factoraje financiero, descuento y cesión de derechos de crédito |
63 |
|
Al inicio de la operación se reconocerá en el activo el valor de la cartera recibida contra la salida del efectivo, el aforo pactado reconocido como otras cuentas por pagar y, en su caso, el ingreso financiero por devengar que derive de operaciones de factoraje, descuento o cesión de derechos de crédito. |
64 |
|
El ingreso financiero por devengar a que se refiere el párrafo anterior se determinará, en su caso, por la diferencia entre el valor de la cartera recibida deducida del aforo y la salida de efectivo. Dicho ingreso financiero por devengar deberá reconocerse dentro del rubro de créditos diferidos y cobros anticipados y reconocerse en el estado de resultado integral conforme a la tasa de interés efectiva, atendiendo a lo establecido en el párrafo 53 anterior. |
65 |
||||||||
|
En el evento de que la operación genere intereses, estos se reconocerán conforme se devenguen. |
66 |
||||||||
|
El monto de los anticipos que, en su caso, se otorguen se reconocerá como parte de las operaciones de factoraje financiero, descuento o cesión de derechos de crédito, dentro del concepto de créditos comerciales. Reconocimiento posterior |
67 |
||||||||
|
En el reconocimiento posterior, la cartera de crédito debe valuarse a su costo amortizado, el cual debe incluir los incrementos por el interés efectivo devengado, las disminuciones por la amortización de los costos de transacción y de las partidas cobradas por anticipado, así como las disminuciones por los cobros de principal e intereses y por la estimación preventiva para riesgos crediticios. |
68 |
||||||||
|
Las comisiones que se reconozcan con posterioridad al otorgamiento del crédito, aquellas que se generen como parte del mantenimiento de dichos créditos, así como las que se cobren con motivo de créditos que no hayan sido colocados, se reconocerán contra los resultados del ejercicio en la fecha en que se devenguen. Reclasificaciones |
69 |
||||||||
|
La entidad debe reclasificar la cartera de crédito únicamente en el caso en que su modelo de negocio se modifique. Dichos cambios deberán ser infrecuentes y determinados por la máxima autoridad de la entidad en la toma de decisiones de operación, es decir, por el director general y deben ser el resultado de cambios externos o internos que sean significativos para las operaciones de la entidad y que puedan ser demostrados ante terceros. |
70 |
||||||||
|
Las reclasificaciones deberán comunicarse por escrito a la CNBV, dentro de los 10 días hábiles siguientes a su determinación, exponiendo detalladamente el cambio en el modelo de negocio que las justifique. La reclasificación deberá hacerse de manera prospectiva y no deberá modificar las ganancias o pérdidas previamente reconocidas. |
71 |
||||||||
|
Si la entidad reclasifica cartera de crédito valuada a valor razonable con efecto en resultados, para ser valuada a su costo amortizado, su valor razonable a la fecha de reclasificación debe ser su costo amortizado inicial, calculando la tasa de interés efectiva en los términos del párrafo 59 del presente criterio. |
72 |
||||||||
|
Si la entidad reclasifica cartera de crédito valuada a valor razonable con efecto en los otros resultados integrales, dicho efecto debe cancelarse contra el valor de la cartera de crédito, para que esta quede valuada a su costo amortizado, como si siempre hubiera sido reconocida sobre esta base. Renegociaciones de cartera de crédito |
73 |
||||||||
|
Si la entidad reestructura un crédito con riesgo de crédito etapas 1 y 2, o por medio de una renovación lo liquida parcialmente, deberá determinar la utilidad o pérdida en la renegociación como sigue: a) determinar el valor en libros del crédito sin considerar la estimación preventiva para riesgos crediticios; b) determinar los nuevos flujos de efectivo futuros sobre el monto reestructurado o renovado parcialmente, descontados a la tasa de interés efectiva original, y c) reconocer la diferencia entre el valor en libros y los flujos de efectivo determinados en el inciso b) anterior como un cargo o crédito diferido contra la utilidad o pérdida por renegociación de cartera de crédito en el estado de resultado integral. |
74 |
||||||||
|
El monto del crédito reestructurado o renovado parcialmente servirá de base para aplicar la tasa de interés efectiva original, la cual solo debe ajustarse, en su caso, para incluir, los costos de transacción, comisiones y otras partidas cobradas por anticipado generadas en la renegociación. Las partidas diferidas a las que se refiere el párrafo 49 pendientes de amortizar, así como las originadas en la renegociación, se amortizarán durante el nuevo plazo del crédito con base en la tasa de interés efectiva. |
75 |
||||||||
|
Para efecto del párrafo 74, se considera valor en libros del crédito al monto efectivamente otorgado al acreditado, ajustado por los intereses devengados, otros conceptos financiados, los cobros de principal e intereses, así como por las quitas, condonaciones, bonificaciones y descuentos que se hayan otorgado, y en su caso los costos de transacción y las partidas cobradas por anticipado. |
76 |
||||||||
|
La determinación de la utilidad o pérdida por renegociación a que se refiere el párrafo 74, no resultará aplicable a las líneas de crédito, o bien a los créditos con riesgo de crédito etapa 3. |
77 |
||||||||
|
Si la entidad renueva un crédito, se considerará que existe un nuevo crédito por lo que se deberá dar de baja el crédito anterior en el caso de una renovación total. Líneas de crédito |
78 |
||||||||
|
En el caso de líneas de crédito y cartas de crédito que la entidad hubiere otorgado, en las cuales no todo el monto autorizado esté ejercido, la parte no utilizada de las mismas deberá mantenerse en cuentas de orden. Otras consideraciones del reconocimiento posterior |
79 |
||||||||
|
Los pagos parciales que se reciban en especie para cubrir las amortizaciones (principal e/o intereses) devengadas, vencidas o castigadas, se registrarán conforme a lo establecido en el criterio B-6 “Bienes adjudicados” (Criterio B-6). Categorización de la cartera de crédito por nivel de riesgo de crédito Cartera con riesgo de crédito etapa 1 |
80 |
||||||||
|
Los créditos otorgados y adquiridos por la entidad se reconocerán en esta categoría, siempre y cuando no cumplan con los criterios de categorización a que se refieren las secciones de Traspaso a cartera de crédito con riesgo de crédito etapa 2 y Traspaso a cartera de crédito con riesgo de crédito etapa 3. Traspaso a cartera de crédito con riesgo de crédito etapa 2 |
81 |
||||||||
|
Los créditos deberán reconocerse como cartera de crédito con riesgo de crédito etapa 2, atendiendo a lo dispuesto en las Disposiciones, con excepción de los créditos que se describen en el párrafo siguiente. Traspaso a cartera de crédito con riesgo de crédito etapa 3 |
82 |
||||||||
|
El saldo insoluto conforme a las condiciones de pago establecidas en el contrato de crédito deberá reconocerse como cartera de crédito con riesgo de crédito etapa 3 cuando: 1. se tenga conocimiento de que el acreditado es declarado en concurso mercantil, conforme a la Ley de Concursos Mercantiles. Sin perjuicio de lo previsto en el presente numeral, los créditos que continúen recibiendo pago en términos de lo previsto por la fracción VIII del artículo 43 de la Ley de Concursos Mercantiles, así como los créditos otorgados al amparo del artículo 75 en relación con las fracciones II y III del artículo 224 de la citada Ley, serán traspasados a cartera de crédito con riesgo de crédito etapa 3 cuando incurran en los supuestos previstos por el numeral 2 siguiente. 2. las amortizaciones de los créditos que no hayan sido liquidadas en su totalidad en los términos pactados originalmente, siempre que los adeudos correspondan a:
3. los documentos de cobro inmediato a que se refiere el Criterio B-1, serán reportados como cartera con riesgo de crédito etapa 3, cuando no hubiesen sido cobrados de acuerdo con al plazo establecido en el citado Criterio B-1. |
83 |
||||||||
|
Deberán reconocerse como cartera de crédito con riesgo de crédito etapa 3, aquellos créditos respecto de los cuales las entidades cuenten con algún elemento para determinar que deben migrar de etapa 1 o 2 a etapa 3, de conformidad con lo dispuesto en las Disposiciones. |
84 |
||||||||
|
Por lo que respecta a los plazos a que se refiere el numeral 2 del párrafo 83, podrán emplearse periodos mensuales, con independencia del número de días que tenga cada mes calendario, de conformidad con las equivalencias siguientes:
|
85 |
||||||||
|
Asimismo, en caso de que el plazo fijado venciera en un día inhábil, se entenderá concluido dicho plazo el primer día hábil siguiente. |
86 |
||||||||
|
En el caso de adquisiciones de cartera de crédito, para la determinación de los días de vencido y su correspondiente traspaso a cartera con riesgo de crédito etapa 3 conforme se indica en los párrafos 83 a 85, se deberán tomar en cuenta los incumplimientos que el acreditado haya presentado desde su originación. |
87 |
||||||||
|
Se regresarán a cartera con riesgo de crédito etapa 1, los créditos con riesgo de crédito etapa 3 o etapa 2 en los que se liquiden totalmente los saldos exigibles pendientes de pago (principal e intereses, entre otros) o, que, siendo créditos reestructurados o renovados, cumplan con el pago sostenido del crédito. Renegociaciones |
88 |
||||||||
|
Los créditos con riesgo de crédito etapa 2 o etapa 3 que se reestructuren o renueven no podrán ser clasificados en una etapa con menor riesgo de crédito por efecto de dicha reestructura o renovación, en tanto no exista evidencia de pago sostenido. |
89 |
||||||||
|
Los créditos con pago único de principal al vencimiento, con independencia de que los intereses se paguen periódicamente o al vencimiento, que se reestructuren durante su plazo o se renueven en cualquier momento, deberán traspasarse a la categoría inmediata siguiente con mayor riesgo de crédito, y permanecer en dicha etapa hasta el momento en que exista evidencia de pago sostenido, de conformidad con lo establecido en el presente criterio. |
90 |
||||||||
|
Las líneas de crédito dispuestas, que se reestructuren o renueven en cualquier momento, deberán traspasarse a la categoría inmediata siguiente con mayor riesgo de crédito, salvo cuando se cuente con elementos que justifiquen la capacidad de pago del deudor y haya: a) liquidado la totalidad de los intereses exigibles, y b) cubierto la totalidad de los pagos a que esté obligado en términos del contrato a la fecha de la reestructuración o renovación. Los elementos que justifiquen la capacidad de pago deberán estar debidamente documentados e integrados al expediente del crédito. |
91 |
||||||||
|
Tratándose de disposiciones hechas al amparo de una línea de crédito, cuando se reestructuren o renueven de forma independiente de la línea de crédito que las ampara, deberán evaluarse de conformidad con la presente sección atendiendo a las características y condiciones aplicables a la disposición o disposiciones reestructuradas o renovadas. |
92 |
||||||||
|
Derivado de la evaluación a que se refiere el párrafo anterior, si se concluyera que una o más de las disposiciones otorgadas al amparo de una línea de crédito deban traspasarse a la categoría inmediata siguiente con mayor riesgo de crédito, por efecto de su reestructura o renovación y tales disposiciones, de manera individual o en su conjunto, representen al menos el 25% del total del saldo dispuesto de la línea de crédito a la fecha de la reestructura o renovación, el saldo total dispuesto, así como sus disposiciones posteriores, deberán traspasarse a la categoría inmediata siguiente con mayor riesgo de crédito. |
93 |
||||||||
|
Podrá traspasarse el saldo total dispuesto de la línea de crédito a una clasificación con menor riesgo de crédito, cuando exista evidencia de pago sostenido de las disposiciones que originaron dicho traspaso, y se haya cumplido con todas las obligaciones exigibles del total de la línea de crédito en la fecha de la evaluación. |
94 |
||||||||
|
Los créditos con riesgo de crédito etapas 1 y 2, con características distintas a las señaladas en los párrafos 90 a 94 anteriores que se reestructuren o se renueven, sin que haya transcurrido al menos el 80% del plazo original del crédito, podrán permanecer en la misma categoría, únicamente cuando: a) el acreditado hubiere cubierto la totalidad de los intereses devengados a la fecha de la renovación o reestructuración, y b) el acreditado hubiere cubierto el principal del monto original del crédito, que a la fecha de la renovación o reestructuración debió haber sido cubierto. |
95 |
||||||||
|
Cuando se trate de créditos con riesgo de crédito etapas 1 y 2 con características distintas a las señaladas en los párrafos 90 a 94 anteriores que se reestructuren o renueven durante el transcurso del 20% final del plazo original del crédito, deberán traspasarse a la categoría inmediata siguiente con mayor riesgo de crédito, salvo que el acreditado hubiere: a) liquidado la totalidad de los intereses devengados a la fecha de la renovación o reestructuración; b) cubierto el principal del monto original del crédito, que a la fecha de la renovación o reestructuración debió haber sido cubierto, y c) cubierto al menos el 60% del monto original del crédito. |
96 |
||||||||
|
En caso de no cumplirse las condiciones descritas los párrafos 95 o 96 anteriores, según corresponda, el crédito deberá traspasarse a la categoría inmediata siguiente con mayor riesgo de crédito desde el momento en que se reestructure o renueve y hasta en tanto no exista evidencia de pago sostenido. |
97 |
||||||||
|
Se considerará cumplido el requisito a que se refieren los párrafos 95 y 96 anteriores en sus correspondientes incisos a), cuando habiéndose cubierto el interés devengado a la última fecha de corte, el plazo transcurrido entre dicha fecha y la reestructura o renovación no exceda al menor entre la mitad del periodo de pago en curso y 90 días. |
98 |
||||||||
|
Los créditos con riesgo de crédito etapas 1 y 2, que se reestructuren o renueven en más de una ocasión, deberán traspasarse a cartera con riesgo de crédito etapa 3, salvo cuando en adición a las condiciones establecidas en los párrafos 95 o 96 anteriores, según corresponda, la entidad cuente con elementos que justifiquen la capacidad de pago del deudor. Tales elementos deberán estar debidamente documentados e integrados al expediente del crédito. |
99 |
||||||||
|
Cuando exista un saldo pendiente de amortizar correspondiente a la utilidad o pérdida por efecto de renegociación y el crédito deba ser traspasado a cartera de crédito con riesgo de crédito etapa 3 de conformidad con el párrafo anterior, la entidad deberá reconocer dicho saldo en el resultado del ejercicio. |
100 |
||||||||
|
En el caso de que mediante una reestructura o renovación se consoliden diversos créditos otorgados por la misma entidad a un mismo acreditado, se deberá analizar cada uno de los créditos consolidados como si se reestructuraran o renovaran por separado y, si de tal análisis se concluye que uno o más de dichos créditos se habría traspasado a cartera con riesgo de crédito etapa 2 o etapa 3 por efecto de dicha reestructura o renovación, entonces el saldo total del crédito consolidado deberá traspasarse a la categoría que correspondería al crédito objeto de consolidación con mayor riesgo de crédito. |
101 |
||||||||
|
Los créditos clasificados en la etapa de riesgo de crédito 2 por efecto de una reestructura o renovación, deberán ser evaluados periódicamente a fin de determinar si existe un incremento en su riesgo que origine que deban ser traspasados a la etapa de riesgo de crédito 3 en términos del párrafo 83 anterior. Lo anterior sin menoscabo de las revisiones periódicas aplicables a las etapas 1 y 3. |
102 |
||||||||
|
No serán susceptibles de traspasarse a una categoría con mayor riesgo de crédito, por efecto de su reestructuración, aquellas reestructuras que a la fecha de la operación presenten cumplimiento de pago por el monto total exigible de principal e intereses y únicamente modifiquen una o varias de las siguientes condiciones originales del crédito: ● Garantías: únicamente cuando impliquen la ampliación o sustitución de garantías por otras de mejor calidad; ● Tasa de interés: cuando se mejore al acreditado la tasa de interés pactada; ● Moneda o unidad de cuenta: siempre y cuando se aplique la tasa correspondiente a la nueva moneda o unidad de cuenta; ● Fecha de pago: solo en el caso de que el cambio no implique exceder o modificar la periodicidad de los pagos. En ningún caso el cambio en la fecha de pago deberá permitir la omisión de pago en periodo alguno. Pago sostenido del crédito |
103 |
||||||||
|
Se acredita pago sostenido del crédito cuando el acreditado cubre el monto total exigible de principal e intereses sin retraso, con un mínimo de tres amortizaciones consecutivas del esquema de pagos del crédito cuando se trate de amortizaciones menores o iguales a 60 días, o el pago de dos amortizaciones en caso de créditos con periodos de entre 61 y 90 días naturales, y en el caso de créditos con amortizaciones que cubran periodos mayores a 90 días naturales, el pago de una amortización. |
104 |
||||||||
|
Cuando los periodos de amortización pactados en la reestructura o renovación, no sean homogéneos, deberá considerarse el número de periodos que representen el plazo más extenso, para efectos de la acreditación de pago sostenido. |
105 |
||||||||
|
Para las reestructuras en las que se modifique la periodicidad del pago a periodos menores se deberá considerar el número de amortizaciones del esquema original del crédito. |
106 |
||||||||
|
En el caso de créditos consolidados, si conforme al párrafo 101, dos o más créditos hubieran originado el traspaso a cartera con riesgo de crédito etapa 2 o etapa 3, para determinar las amortizaciones requeridas deberá atenderse el esquema original de pagos del crédito cuyas amortizaciones equivalgan al plazo más extenso. |
107 |
||||||||
|
En todo caso, en la demostración de que existe pago sostenido, la entidad deberá tener a disposición de la CNBV evidencia que justifique que el acreditado cuenta con capacidad de pago en el momento en que se lleve a cabo la reestructura o renovación para hacer frente a las nuevas condiciones del crédito. |
108 |
||||||||
|
Los elementos que se deberán tomar en cuenta para efectos del párrafo anterior son al menos los siguientes: la probabilidad de incumplimiento intrínseca al acreditado, las garantías otorgadas al crédito reestructurado o renovado, la prelación de pago frente a otros acreedores, la liquidez y la solvencia del acreditado ante la nueva estructura financiera del financiamiento. |
109 |
||||||||
|
Tratándose de créditos con pago único de principal al vencimiento, con independencia del si el pago de intereses es periódico o al vencimiento, se considera que existe pago sostenido del crédito cuando, ocurra alguno de los siguientes supuestos: a) el acreditado haya cubierto al menos el 20% del monto original del crédito al momento de la reestructura o renovación, o bien, b) se hubiere cubierto el importe de los intereses devengados conforme al esquema de pagos por reestructuración o renovación correspondientes a un plazo de 90 días y haya transcurrido al menos dicho plazo. |
110 |
||||||||
|
Los créditos que se reestructuren o renueven en más de una ocasión, que se hayan pactado con pago único de principal al vencimiento, con independencia de si el pago de intereses es periódico o al vencimiento, acreditarán pago sostenido del crédito cuando: a) el acreditado cubra al menos el 20% del principal pendiente de pago a la fecha de la nueva reestructura o renovación; b) se hubiere cubierto el importe de los intereses devengados conforme al nuevo esquema de pagos por reestructuración o renovación correspondientes a un plazo de 90 días y haya transcurrido al menos dicho plazo, y c) la entidad cuente con elementos que justifiquen la capacidad de pago del deudor. Tales elementos deberán estar debidamente documentados e integrados al expediente del crédito. |
111 |
||||||||
|
El pago anticipado de las amortizaciones de créditos reestructurados o renovados, distintos de aquellos con pago único de principal al vencimiento, con independencia de que los intereses se paguen periódicamente o al vencimiento, no se considera pago sostenido. Tal es el caso de las amortizaciones de créditos reestructurados o renovados que se paguen sin haber transcurrido los días naturales equivalentes a los periodos requeridos conforme al párrafo 104. |
112 |
||||||||
|
En todo caso, los créditos que por efecto de una reestructura o renovación sean traspasados a una etapa con mayor riesgo de crédito, deberán permanecer un mínimo de tres meses en dicha etapa a efecto de acreditar pago sostenido y en consecuencia traspasarse a la etapa inmediata siguiente con menor riesgo de crédito, excepto cuando se trate de créditos reestructurados o renovados que se hubieren otorgado por un plazo menor o igual a 6 meses y que no sean reestructurados o renovados consecutivamente por el mismo plazo. Lo anterior no será aplicable a los créditos con pago de principal al vencimiento, con independencia de si el pago de intereses es periódico o al vencimiento, en cuyo caso será aplicable el párrafo 110. Suspensión de la acumulación de intereses |
113 |
||||||||
|
Se deberá suspender la acumulación de los intereses devengados de las operaciones crediticias, en el momento en que el saldo insoluto del crédito sea considerado como con riesgo de crédito etapa 3. Asimismo, se deberán reconocer el saldo pendiente de amortizar de los costos de transacción, así como de las partidas cobradas por anticipado establecidos en el párrafo 49 y en caso de existir, el efecto de la utilidad o pérdida en renegociación pendiente de amortizar contra los resultados del ejercicio. |
114 |
||||||||
|
A los créditos que contractualmente capitalizan intereses al monto del adeudo, les será aplicable la suspensión de acumulación de intereses establecida en el párrafo anterior. |
115 |
||||||||
|
En tanto el crédito se mantenga en cartera con riesgo de crédito etapa 3, el control de los intereses se llevará en cuentas de orden. En caso de que dichos intereses o ingresos financieros sean cobrados, se reconocerán directamente en los resultados del ejercicio en el rubro de ingresos por intereses, cancelando en el caso de arrendamiento financiero, operaciones de factoraje financiero, descuento o cesión de derechos de crédito, el ingreso financiero por devengar correspondiente. |
116 |
||||||||
|
En caso de que los intereses registrados en cuentas de orden conforme al párrafo anterior sean condonados o se castiguen, deberán cancelarse de cuentas de orden sin afectar el rubro de la estimación preventiva para riesgos crediticios. Estimación preventiva para riesgos crediticios |
117 |
||||||||
|
El monto de la estimación preventiva para riesgos crediticios deberá determinarse con base en las diferentes metodologías establecidas o autorizadas por la CNBV para cada tipo de crédito y nivel de riesgo de crédito mediante las Disposiciones, así como por las estimaciones adicionales requeridas en diversas reglamentaciones y las ordenadas y reconocidas por la CNBV, debiendo reconocerse en los resultados del ejercicio del periodo que corresponda. |
118 |
||||||||
|
Las estimaciones adicionales reconocidas por la CNBV a que se refiere el párrafo anterior son aquellas que se constituyen para cubrir riesgos que no se encuentran previstos en las diferentes metodologías de calificación de la cartera crediticia, y sobre las que previo a su constitución, las entidades deberán informar a la CNBV lo siguiente: a) origen de las estimaciones; b) metodología para su determinación; c) monto de estimaciones por constituir, y d) tiempo que se estima serán necesarias. |
119 |
||||||||
|
Tratándose de créditos con riesgo de crédito etapa 3 en los que en su reestructuración se acuerde la capitalización de los intereses devengados no cobrados registrados previamente en cuentas de orden, la entidad deberá crear una estimación por el 100% de dichos intereses. La estimación se podrá cancelar cuando se cuente con evidencia de pago sostenido. |
120 |
||||||||
|
La estimación de pérdidas crediticias esperadas correspondiente a partidas directamente relacionadas con la cartera de crédito tales como gastos de juicio, se determinará aplicando el mismo porcentaje de riesgo asignado para el crédito asociado, conforme a lo establecido en las Disposiciones. Líneas de crédito |
121 |
||||||||
|
Las cartas de crédito que hayan sido emitidas con base en el otorgamiento de créditos se incluyen dentro de esa categoría. Créditos denominados en moneda extranjera y UDIS |
122 |
||||||||
|
Para el caso de créditos denominados en moneda extranjera y en UDIS, la estimación correspondiente a dichos créditos se denominará en la moneda o unidad de cuenta de origen que corresponda. Castigos, eliminaciones y recuperaciones de cartera de crédito |
123 |
||||||||
|
La entidad deberá evaluar periódicamente si un crédito con riesgo de crédito etapa 3 debe permanecer en el estado de situación financiera, o bien, ser castigado. En todo caso deberá existir evidencia de las gestiones formales de cobro que se hayan ejercido, así como de los elementos que acreditan la imposibilidad práctica de recuperación del crédito de acuerdo con las políticas internas de la entidad debidamente establecidas en su manual de crédito. |
124 |
||||||||
|
El castigo a que se refiere el párrafo anterior se realizará cancelando el saldo del crédito determinado como incobrable por la administración, contra la estimación preventiva para riesgos crediticios. Cuando el crédito a castigar exceda el saldo de su estimación asociada, antes de efectuar el castigo, dicha estimación se deberá incrementar hasta por el monto de la diferencia. |
125 |
||||||||
|
Adicionalmente a lo establecido en el párrafo 124, la entidad podrá optar por eliminar de su activo aquellos créditos con riesgo de crédito etapa 3 que se encuentren provisionados al 100% de acuerdo con lo señalado en los párrafos 118 y 119, aún y cuando no cumplan con las condiciones para ser castigados. Para tales efectos, la entidad deberá cancelar el saldo insoluto del crédito contra la estimación preventiva para riesgos crediticios. |
126 |
||||||||
|
Cualquier recuperación derivada de créditos previamente castigados o eliminados conforme a los párrafos anteriores, deberá reconocerse en los resultados del ejercicio dentro del rubro de estimación preventiva para riesgos crediticios, salvo que las recuperaciones provengan de pagos en especie, cuyo tratamiento deberá efectuarse en términos del Criterio B-6. |
127 |
||||||||
|
Los costos y gastos incurridos por la recuperación de cartera de crédito deberán reconocerse como un gasto dentro del rubro de otros ingresos (egresos) de la operación. Quitas, condonaciones, bonificaciones y descuentos sobre la cartera |
128 |
||||||||
|
Las quitas, condonaciones, bonificaciones y descuentos, es decir, el monto perdonado del pago del crédito en forma parcial o total se registrará con cargo a la estimación preventiva para riesgos crediticios. En caso de que el importe de estas exceda el saldo de la estimación asociada al crédito, previamente se deberán constituir estimaciones hasta por el monto de la diferencia. |
129 |
||||||||
|
El tratamiento dispuesto en el párrafo anterior será aplicable a aquellos montos que la entidad perdona al acreditado, derivado de un incremento en el riesgo de crédito. No así, por ejemplo, los descuentos y bonificaciones, que no estén asociados al incremento en el riesgo de crédito, los cuales deberán disminuirse de los ingresos que les dieron origen. Cancelación de excedentes en la estimación preventiva para riesgos crediticios |
130 |
||||||||
|
Cuando el saldo de la estimación preventiva para riesgos crediticios haya excedido al importe requerido conforme a los párrafos 118 y 119 el diferencial se deberá cancelar en el periodo en que ocurran dichos excesos, contra los resultados del ejercicio, afectando el mismo concepto o rubro que lo originó, es decir, el de estimación preventiva para riesgos crediticios. Venta de cartera de crédito |
131 |
||||||||
|
Por las operaciones de venta de cartera de crédito en las que no se cumplan las condiciones establecidas para dar de baja un activo financiero conforme a la NIF C-14, la entidad deberá conservar en el activo el monto del crédito vendido y reconocer en el pasivo el importe de los recursos provenientes del receptor. |
132 |
||||||||
|
En los casos en que se lleve a cabo una venta de cartera de crédito, en la que se cumpla con las condiciones para dar de baja un activo financiero establecidas en la NIF C-14, se deberá cancelar la estimación asociada a la misma. Normas de presentación Estado de situación financiera |
133 |
||||||||
|
a) la cartera se agrupará según su nivel de riesgo de crédito, es decir, con riesgo de crédito etapa 1, con riesgo de crédito etapa 2 o con riesgo de crédito etapa 3, según el tipo de crédito, es decir, créditos sin restricción y créditos restringidos, y a su vez clasificados de acuerdo con la naturaleza de la operación (documentados con garantía inmobiliaria, con otras garantías, sin garantía, operaciones de factoraje financiero, descuento o cesión de derechos de crédito y operaciones de arrendamiento financiero); b) la estimación preventiva para riesgos crediticios deberá presentarse en un rubro por separado, restando al de la cartera de crédito; c) el importe de los costos de transacción e ingresos asociados al otorgamiento del crédito que formen parte del interés efectivo determinado conforme al presente criterio deberá presentarse neto como un rubro por separado, afectando el total de la cartera de crédito; d) los intereses cobrados por anticipado deberán presentarse junto con la cartera que les dio origen; e) se presentará en el rubro de otras cuentas por pagar, el pasivo por depósitos en garantía; f) se presentará dentro del rubro de otras cuentas por pagar, si su importancia relativa lo amerita, los saldos acreedores de los créditos, por ejemplo, cuando existe un saldo a favor proveniente de créditos revolventes porque el acreditado realizó un pago superior al exigible; g) será presentado en el rubro de préstamos bancarios, de socios y de otros organismos el pasivo derivado de las operaciones de venta de cartera de crédito; h) se presentará en cuentas de orden en el rubro denominado compromisos crediticios, el monto no utilizado de las líneas de crédito que la entidad hubiere otorgado, y i) se presentará en cuentas de orden, en el rubro de intereses devengados no cobrados derivados de cartera de crédito con riesgo de crédito etapa 3, el monto de los intereses devengados no cobrados derivados de los créditos que se mantengan en cartera con riesgo de crédito etapa 3, así como los ingresos financieros devengados no cobrados, derivados de operaciones de arrendamiento financiero, factoraje financiero, descuento y cesión de derechos que se mantengan en cartera con riesgo de crédito etapa 3. Estado de resultado integral |
134 |
||||||||
|
Se agruparán como ingresos por intereses, los intereses devengados, el ingreso financiero devengado en las operaciones de arrendamiento financiero, factoraje financiero, descuento y cesión de derechos de crédito, la utilidad cambiaria y el resultado por valorización de UDIS (saldo acreedor) y la utilidad del efecto por renegociación de cartera de crédito. Asimismo, se agruparán como gastos por intereses, la pérdida cambiaria y el resultado por valorización de UDIS (saldo deudor) y la pérdida del efecto por renegociación de cartera de crédito. |
135 |
||||||||
|
Se presentará como un rubro específico, inmediatamente después del margen financiero, la estimación preventiva para riesgos crediticios y la utilidad o pérdida cambiaria, así como el resultado por valorización de UDIS, que se origine de la estimación denominada en moneda extranjera o en UDIS, respectivamente. |
136 |
||||||||
|
Se presentarán en el rubro de comisiones y tarifas cobradas las comisiones distintas a las asociadas con el otorgamiento del crédito. |
137 |
||||||||
|
La utilidad o pérdida derivada de la venta de cartera de crédito se presentará en el rubro de otros ingresos (egresos) de la operación, según corresponda. Normas de revelación |
138 |
||||||||
|
Mediante notas a los estados financieros, se deberá revelar como mínimo lo siguiente: a) principales políticas y procedimientos establecidos para el otorgamiento, adquisición, venta, control y recuperación de créditos, así como las relativas a la evaluación y seguimiento del riesgo crediticio; b) las características del modelo de negocio para determinar que la cartera de crédito debe ser valuada a costo amortizado, así como una breve descripción de las pruebas a que se refiere el párrafo 44 anterior; c) en el caso de existir reclasificaciones por cambios en el modelo de negocio deberá revelarse: i. la fecha de reclasificación; ii. una explicación detallada de los cambios en el modelo de negocio y una descripción cualitativa de su efecto sobre los estados financieros de la entidad; iii. el importe reclasificado a cada una de esas categorías o fuera de éstas, y iv. la categoría de la que sale y a la que entra la cartera de crédito. d) principales políticas para clasificar a la cartera de crédito como restringida, así como una breve descripción de las razones de ello; e) políticas y procedimientos establecidos para determinar concentraciones de riesgo de crédito; f) desglose del saldo total de la cartera de crédito por nivel de riesgo de crédito etapa 1, etapa 2 y etapa 3, así como por tipo de crédito (documentados con garantía inmobiliaria, con otras garantías, sin garantía, operaciones de factoraje financiero, descuento y cesión de derechos de crédito, operaciones de arrendamiento financiero, entidades financieras y préstamos otorgados a otras uniones de crédito), distinguiendo los denominados en moneda nacional, moneda extranjera y UDIS; g) el importe de los créditos que la entidad haya traspasado de etapa 1 o etapa 2 a etapa 3, de conformidad con lo establecido en las Disposiciones. h) monto y naturaleza de las garantías recibidas, y los términos y condiciones asociados con el colateral; i) identificación por tipo de crédito (documentados con garantía inmobiliaria, con otras garantías, sin garantía operaciones de factoraje financiero, descuento y cesión de derechos de crédito, operaciones de arrendamiento financiero, entidades financieras y préstamos otorgados a otras uniones de crédito), del saldo de la cartera con riesgo de crédito etapa 3 a partir de la fecha en que esta fue clasificada como tal, en los siguientes plazos: de 1 a 180 días naturales, de 181 a 365 días naturales, de 366 días naturales a 2 años y más de 2 años en dicha clasificación; j) en forma agregada, el porcentaje de concentración y principales características de la cartera por sector, región o grupo económico, entendiéndose por este último a los grupos de personas físicas y morales que por sus nexos patrimoniales o de responsabilidad constituyen riesgos comunes, así como el monto expuesto a riesgo por la cartera que comparte dichas características; k) costo acumulado a cargo de la entidad, así como el saldo de la cartera sujeta a programas de apoyo, identificándola por tipo de programa; l) los montos de los costos de transacción, así como los elementos que justifiquen su relación directa con el otorgamiento del crédito; m) explicación de las principales variaciones en la cartera con riesgo de crédito etapa 3 identificando, entre otros: reestructuraciones, renovaciones, adjudicaciones, quitas, eliminaciones, castigos y traspasos hacia y desde la cartera con riesgo de crédito etapa 1 y etapa 2; n) monto de aquellos créditos que, en términos del numeral 1 del párrafo 83 anterior, hayan permanecido en cartera con riesgo de crédito etapa 1 por continuar recibiendo pago en términos de lo previsto por la fracción VIII del artículo 43 de la Ley de Concursos Mercantiles, o bien, por haberse otorgado al amparo del artículo 75 en relación con las fracciones II y III del artículo 224 de la citada Ley. Dicho monto, deberá revelarse estratificado, en su caso, por cada artículo y, en su caso, fracción; o) breve descripción de la metodología para determinar las estimaciones preventivas para riesgos crediticios; p) saldo de la estimación preventiva para riesgos crediticios, desglosándola de acuerdo con las metodologías para la calificación de la cartera de crédito, así como por tipo de crédito (documentados con garantía inmobiliaria, con otras garantías, sin garantía, operaciones de factoraje financiero, descuento y cesión de derechos de crédito, operaciones de arrendamiento financiero, entidades financieras y préstamos otorgados a otras uniones de crédito); q) movimientos que se hayan realizado a la estimación preventiva para riesgos crediticios durante el ejercicio por la creación de la misma, castigos, eliminaciones, recuperaciones, cancelaciones, quitas, condonaciones, bonificaciones, descuentos y adjudicaciones, entre otros, por tipo de crédito y por cada etapa de riesgo de crédito; r) importe derivado de la cancelación de la estimación preventiva para riesgos crediticios, y las razones que motivaron dicha cancelación; s) monto y origen de las estimaciones reconocidas por la CNBV, así como la metodología utilizada para su determinación; t) monto de las estimaciones correspondientes a las líneas de crédito no dispuestas; u) importe de los créditos con riesgo de crédito etapa 3 que conforme al párrafo 126 fueron eliminados de los activos, desglosando aquellos créditos otorgados a partes relacionadas; v) importe de los créditos con riesgo de crédito etapa 3 que conforme al párrafo 124 fueron castigados, desglosando aquellos créditos otorgados a partes relacionadas; w) los financiamientos a partes relacionadas deberán presentarse o revelarse por separado, de conformidad con la NIF C-13; x) las principales políticas y procedimientos relativos al otorgamiento de reestructuras y renovaciones, incluyendo a las reestructuras o renovaciones que consoliden diversos créditos otorgados por la misma entidad a un mismo acreditado, así como los elementos tomados en cuenta para evidenciar el pago sostenido; y) monto total acumulado de los créditos reestructurados y/o renovados por tipo de crédito (documentados con garantía inmobiliaria, con otras garantías, sin garantía, operaciones de factoraje financiero, descuento y cesión de derechos de crédito, operaciones de arrendamiento financiero, entidades financieras y préstamos otorgados a otras uniones de crédito) distinguiendo aquellos originados en el ejercicio. Cada uno de estos montos se deberá desglosar en: i. créditos con riesgo de crédito etapas 2 y 3 que fueron reestructurados o renovados; ii. reestructuraciones o renovaciones que fueron traspasadas a cartera con riesgo de crédito etapa 3 por haberse reestructurado o renovado, en apego al párrafo 90; iii. créditos reestructurados o renovados que se mantuvieron en cartera con riesgo de crédito etapa 1 y etapa 2 conforme a los párrafos 91 al 99; iv. créditos consolidados que como producto de una reestructuración o renovación fueron traspasados a cartera con riesgo de crédito etapa 3, conforme al párrafo 101, y v. créditos reestructurados a los que no se aplicaron los criterios relativos al traspaso a cartera con riesgo de crédito etapa 3 con base en el párrafo 103. z) monto y naturaleza de las garantías adicionales y concesiones otorgadas en los créditos reestructurados; aa) monto total de la cartera de crédito adquirida, así como las estimaciones relacionadas con dicha cartera; bb) monto total de las ventas de cartera de crédito que haya realizado la entidad; cc) monto de las recuperaciones de cartera de crédito previamente castigada o eliminada; dd) desglose de los intereses y comisiones por tipo de crédito (documentados con garantía inmobiliaria, con otras garantías, sin garantía operaciones de factoraje financiero, descuento o cesión de derechos de crédito, operaciones de arrendamiento financiero, entidades financieras y préstamos otorgados a otras uniones de crédito); ee) monto de los ingresos por intereses que se reconocieron en el crédito de que se trate, al momento de la capitalización a que hace referencia el párrafo 120; ff) monto de las líneas de crédito registradas en cuentas de orden, distinguiendo el que corresponde a las líneas revocables y a las irrevocables; gg) breve descripción de los efectos en la cartera de crédito derivados de la aplicación de las diferentes metodologías establecidas mediante las Disposiciones o las autorizadas por la CNBV, y hh) el número de impagos de los créditos con periodos de pago menores a 30 días y la etapa de riesgo de crédito en la que estén clasificados. |
139 |
|
B-6 BIENES ADJUDICADOS Objetivo y alcance |
|
|
El presente criterio tiene como objetivo definir las normas particulares relativas al reconocimiento, valuación, presentación y revelación en los estados financieros de los bienes que se adjudiquen las entidades. |
1 |
|
No es objeto del presente criterio el tratamiento de bienes que se adjudiquen las entidades y sean destinados para su uso, ya que para este tipo de bienes se aplicarán los lineamientos previstos en los criterios de contabilidad aplicables para el tipo de bien de que se trate. Definiciones |
2 |
|
Bienes adjudicados.- Bienes muebles (equipo, valores, derechos, cartera de crédito, entre otros) e inmuebles que como consecuencia de una cuenta, derecho o partida incobrable, la entidad: a) adquiera mediante adjudicación judicial, o b) reciba mediante dación en pago. |
3 |
|
Costo de disposición. - Es aquel costo directo incremental que se deriva de la venta o intercambio de un activo o de un grupo de activos, tales como comisiones, almacenaje, traslado, seguros, etcétera, sin considerar los costos de financiamiento e impuestos a la utilidad; incluye cualquier costo de distribución a los propietarios que es el costo de disposición directamente atribuible a dicha distribución. |
4 |
|
Valor de adjudicación.- Para efectos del presente criterio, al valor en libros del bien. En el caso de bienes prometidos en venta o con reserva de dominio, será el valor en libros disminuido de los cobros recibidos a cuenta del bien, a que se refiere el Criterio A-3. |
5 |
|
Valor neto de realización. – Es el monto estimado por una entidad de lo que espera recibir, en efectivo, equivalentes de efectivo o en especie, por la venta de un activo menos los costos de disposición. |
6 |
|
Valor razonable del bien adjudicado. - Para efectos del presente criterio, corresponderá a aquel determinado a la fecha de adjudicación: a) en el caso de bienes cuya valuación pueda hacerse mediante avalúo, este deberá cumplir con los requerimientos establecidos por la CNBV aplicables a los prestadores de servicios de avalúo bancario, o bien, b) para aquellos bienes no sujetos de avalúo, el precio de salida que a la fecha de la valuación se recibiría por vender un activo o se pagaría por transferir un pasivo en una transacción ordenada entre participantes del mercado. Normas de reconocimiento |
7 |
|
Los bienes adquiridos mediante adjudicación judicial deberán registrarse en la fecha en que cause ejecutoria el auto aprobatorio del remate mediante el cual se decretó la adjudicación. |
8 |
|
Los bienes que hayan sido recibidos mediante dación en pago se registrarán, por su parte, en la fecha en que se firme la escritura de dación, o en la que se haya dado formalidad a la transmisión de la propiedad del bien. |
9 |
|
El valor de reconocimiento de los bienes adjudicados será: a) al menor entre el valor bruto en libros del activo que dio origen a la adjudicación, es decir, sin deducir la estimación preventiva para riesgos crediticios que se haya reconocido hasta esa fecha, y el valor neto de realización de los activos recibidos, cuando la intención de la entidad es vender dichos activos para recuperar el monto a cobrar; o b) al menor entre el valor bruto en libros del activo que dio origen a la adjudicación y el valor razonable del activo recibido, cuando la intención de la entidad es utilizar el activo adjudicado para sus actividades. |
10 |
|
En la fecha en la que se registre en la contabilidad un bien adjudicado, el valor del activo que dio origen a la adjudicación, así como la estimación que en su caso tenga constituida, deberán darse de baja del estado de situación financiera de las entidades por el total del activo neto de la estimación antes mencionada deducido por los pagos parciales en especie a que hace referencia el Criterio B-5 o los cobros o recuperaciones correspondientes a los créditos adquiridos a que hace referencia el inciso d) del párrafo 3, del Criterio B-5. |
11 |
|
La diferencia entre el valor del activo que dio origen a la adjudicación, neto de estimaciones, y el valor del bien adjudicado determinado conforme al párrafo 10, se reconocerá en los resultados del ejercicio como otros ingresos (egresos) de la operación. Normas de valuación |
12 |
|
Los bienes adjudicados deberán valuarse conforme se establece en los presentes criterios, de acuerdo con el tipo de bien de que se trate, debiendo registrar dicha valuación contra los resultados del ejercicio como otros ingresos (egresos) de la operación, según corresponda. |
13 |
|
El monto de la estimación que reconozca los indicios de deterioro por las potenciales pérdidas de valor por el paso del tiempo de los bienes adjudicados será el que se determine conforme a los procedimientos establecidos en las Disposiciones, debiéndose reconocer en los resultados del ejercicio como otros ingresos (egresos) de la operación. |
14 |
|
En caso de que conforme a los citados procedimientos de deterioro se proceda a modificar la estimación a que se refiere el párrafo anterior, dicho ajuste deberá registrarse contra el monto de la estimación reconocida previamente como otros ingresos (egresos) de la operación. |
15 |
|
Al momento de la venta de los bienes adjudicados, la diferencia entre el precio de venta y el valor en libros del bien adjudicado, neto de estimaciones, deberá reconocerse en los resultados del ejercicio como otros ingresos (egresos) de la operación. Traspaso del bien adjudicado para su uso |
16 |
|
Cuando se opte por traspasar los bienes adjudicados para uso de la entidad, se podrá efectuar dicho traspaso al rubro del estado de situación financiera que le corresponda según el activo de que se trate, siempre y cuando se cumpla con el hecho de que los bienes sean utilizados para la realización de su objeto y se efectúe de acuerdo con las estrategias de inversión y fines de la entidad que se encuentren previamente establecidas en sus manuales, no existiendo la posibilidad de que dichos bienes vuelvan a considerarse como adjudicados. Normas de presentación Estado de situación financiera |
17 |
|
Los bienes adjudicados deberán presentarse en un rubro por separado dentro del estado de situación financiera, neto de estimaciones, inmediatamente después de inventario de mercancías. Estado de resultado integral |
18 |
|
El resultado por la venta de bienes adjudicados, los ajustes a su valor, así como la constitución y ajuste a la estimación respectiva, se presentarán en el rubro de otros ingresos (egresos) de la operación, según corresponda. |
19 |
|
La diferencia a que se refiere el párrafo 12 por adjudicación de bienes se presentará en el rubro de otros ingresos (egresos) de la operación. Normas de revelación |
20 |
|
Deberá revelarse mediante notas a los estados financieros el tipo de bien adjudicado de que se trate (inmuebles, equipo, valores, derechos, cartera de crédito, entre otros), el procedimiento utilizado para la valuación de dicho bien, el monto, tipo de bien, así como el uso que se le dará, tratándose de aquellos bienes adjudicados que se haya optado por traspasar para uso de la entidad, así como el monto de su estimación respectiva y una breve descripción del procedimiento que se llevó a cabo para su determinación. |
21 |
|
Cuando el valor del activo que dio origen a la adjudicación sea igual a las estimaciones correspondientes, deberá revelarse el valor de adjudicación del bien. |
22 |
|
B-7 AVALES Objetivo y alcance |
|
|
El presente criterio tiene por objetivo establecer el tratamiento contable que debe darse a los compromisos adquiridos por las entidades en el otorgamiento de avales en favor de sus socios. Definiciones |
1 |
|
Aval.- Contrato mediante el cual, la entidad respalda la capacidad crediticia de determinado socio mediante la promesa de pago de la obligación en caso de incumplimiento. |
2 |
|
En el contrato que da origen al aval, se define la eventualidad que generará el posible compromiso de pago, por lo que hasta que dicha eventualidad no se materialice, los avales representan únicamente un compromiso. |
3 |
|
Compromiso.- Representa un acuerdo realizado para llevar a cabo determinadas acciones en el futuro, el cual no cumple con los requisitos para considerarse como pasivo, provisión o contingencia, a menos que se derive de un contrato de carácter oneroso. |
4 |
|
Contrato de carácter oneroso. - Es aquel cuyos costos inevitables para cumplir con las obligaciones que conlleva exceden a los beneficios económicos que se espera recibir del mismo. Normas de reconocimiento y valuación |
5 |
|
Al representar el aval un compromiso, no formará parte de los derechos y obligaciones reconocidos en el estado de situación financiera de las entidades en tanto la eventualidad no se materialice. Por lo anterior, el reconocimiento de los avales deberá llevarse en cuentas de orden. |
6 |
|
El monto total por el concepto de avales debe incluir el total de compromisos que la entidad tenga a una fecha determinada. Conforme el socio con quien se tenga el compromiso liquide las obligaciones que han sido avaladas, la entidad deberá cancelar dichos importes de sus registros. |
7 |
|
La entidad deberá determinar una estimación de los avales otorgados con base en las diferentes metodologías establecidas o autorizadas por la CNBV para cada tipo de crédito mediante disposiciones de carácter general y reconocerse en los resultados del ejercicio, con la periodicidad establecida en las enunciadas metodologías. |
8 |
|
En caso de incumplimiento del socio a quien la entidad esté avalando, el monto total por el que se otorgó el aval se registrará en el estado de situación financiera de la entidad como cartera de crédito, reconociendo el pasivo correspondiente. Una vez afectada la cartera, a esta le serán aplicables las disposiciones contenidas en el Criterio B-5. |
9 |
|
Los ingresos por comisiones provenientes del otorgamiento de avales se reconocerán en los resultados del ejercicio de conformidad con lo establecido en la NIF D-1 “Ingresos por contratos con clientes” (NIF D-1). Normas de presentación Estado de situación financiera |
10 |
|
El monto correspondiente a los avales otorgados se presentará en cuentas de orden, al calce del estado de situación financiera. |
11 |
|
El saldo del pasivo por el incumplimiento del socio a quien la entidad esté avalando se incluirá como un acreedor diverso en el rubro de otras cuentas por pagar. Estado de resultado integral |
12 |
|
Las comisiones cobradas por el otorgamiento de avales se presentarán en el rubro de comisiones y tarifas cobradas. Normas de revelación |
13 |
|
Mediante notas a los estados financieros, se deberán revelar los tipos de operaciones que dieron origen a los avales, incluyendo los términos genéricos sobre los cuales se realizaron este tipo de operaciones. |
14 |
|
Las pérdidas causadas a la entidad por concepto de incumplimiento de los avalados, el monto de la estimación constituida, así como las recuperaciones, también deberán ser reveladas. |
15 |
|
B-8 ADMINISTRACIÓN DE BIENES Objetivo y alcance |
|
|
El presente criterio tiene por objetivo definir las normas particulares relativas al reconocimiento, valuación, presentación y revelación en los estados financieros de las operaciones de administración de bienes que realizan las entidades. |
1 |
|
No se incluye dentro del presente criterio a las operaciones de fideicomiso. Definiciones |
2 |
|
Bienes en administración.- Son aquellos bienes muebles (instrumentos financieros, derechos, entre otros) e inmuebles propiedad de terceros, entregados a la entidad para su administración. |
3 |
|
Costo de adquisición. - Es el monto pagado de efectivo o equivalentes de efectivo, o bien, el valor razonable de la contraprestación entregada por un activo o servicio al momento de su adquisición. |
4 |
|
Operaciones de administración.- Son aquellas que realiza la entidad, en las que presta servicios administrativos sobre determinados bienes, percibiendo, en su caso, una comisión como contraprestación. |
5 |
|
Valor razonable.- Es el precio de salida que, a la fecha de la valuación, se recibiría por vender un activo o se pagaría por transferir un pasivo en una transacción ordenada entre participantes del mercado. Características |
6 |
|
Los bienes muebles e inmuebles pueden ser objeto de operaciones de administración. En el caso de instrumentos financieros propiedad de terceros, estos pueden ser enajenados, administrados o traspasados de acuerdo con las condiciones pactadas en el contrato. |
7 |
|
Por la esencia de este tipo de operaciones, los bienes en administración no son objeto de reconocimiento por parte de las entidades: a) ya que las entidades no adquieren los derechos y las obligaciones contractuales relacionados con los activos financieros en administración (distintos al efectivo recibido por las entidades para pago de servicios por cuenta de terceros), y b) porque no se cumple con la definición de “activo” contenida en la NIF A-1, Capítulo 50, “Elementos básicos de los estados financieros” (NIF A-1, Capítulo 50). |
8 |
|
No obstante lo anterior, la entidad es responsable por los bienes en administración, por lo que asume un riesgo en caso de su pérdida o daño. Normas de reconocimiento y valuación |
9 |
|
Dado que los bienes objeto del presente criterio no representan activos de las entidades, estos no deben formar parte de los derechos y obligaciones reconocidos en su estado de situación financiera. Sin embargo, deberá reconocerse en cuentas de orden el monto estimado por el que estaría obligada la entidad a responder ante sus clientes por cualquier eventualidad futura, con excepción del efectivo recibido para el pago de servicios por cuenta de terceros, debido a que, en ese caso en particular, se cumplen las condiciones para su reconocimiento contempladas en el criterio A-2 “Aplicación de normas particulares” (Criterio A-2). |
10 |
|
Los ingresos derivados de los servicios de administración se reconocerán en los resultados del ejercicio de conformidad con lo establecido en la NIF D-1. |
11 |
|
En caso de que la entidad tenga una obligación con el depositante por la pérdida o daño del bien en administración, se reconocerá en el estado de situación financiera de la entidad el pasivo contra los resultados del ejercicio. El reconocimiento contable a que se refiere este párrafo se realizará en el momento en el que la entidad conozca dicha situación, independientemente de cualquier acción jurídica del depositante encaminada hacia la reparación de la pérdida o el daño. |
12 |
|
La determinación de la valuación del monto estimado por los bienes en administración (incluyendo la recepción de pagos de servicios) se realizará en función de la operación efectuada de conformidad con los presentes criterios de contabilidad. Dentro de los diversos tipos de operaciones, se contemplan las siguientes: Recepción de pagos de servicios por cuenta de terceros |
13 |
|
Las entidades deberán reconocer la entrada del efectivo para el pago de servicios en el rubro de efectivo y equivalentes de efectivo restringido contra el pasivo correspondiente, valuado por el mismo monto que el activo que le dio origen, no debiendo existir efecto alguno en la utilidad o pérdida del periodo. En el momento en que se realice el pago del servicio respectivo por cuenta de terceros, las entidades deberán cancelar el citado pasivo contra el activo correspondiente. |
14 |
|
En caso de que el pago de servicios se realice en nombre de un socio de la propia entidad y que el proveedor de servicios tenga abierta una cuenta con la entidad con el objeto de recibir dichos pagos, en el momento en que el socio realice un pago, se deberá reclasificar el monto correspondiente dentro del concepto préstamos de socios. Normas de presentación y revelación |
15 |
|
El pasivo que surja por la obligación con el depositante por la pérdida o daño del bien en administración se presentará en el estado de situación financiera en el rubro de otras cuentas por pagar, en tanto que en los resultados del ejercicio se presentará en el rubro de otros ingresos (egresos) de la operación. |
16 |
|
El monto de los bienes en administración se presentará en cuentas de orden bajo un mismo rubro, con excepción del efectivo recibido para el pago de servicios por cuenta de terceros a que se refiere el párrafo 14, debiéndose presentar en el rubro de efectivo y equivalentes de efectivo y el pasivo que se genere, en el rubro de otras cuentas por pagar. |
17 |
|
Los ingresos derivados de los servicios de administración reconocidos en los resultados del ejercicio se presentarán en el rubro de comisiones y tarifas cobradas. |
18 |
|
Se deberá revelar mediante notas a los estados financieros lo siguiente: a) montos reconocidos por cada tipo de bien en administración; b) información acerca del tipo de bienes; c) información acerca de la naturaleza de las operaciones de administración, especificando condiciones y términos que pudiesen afectarlas, y d) monto de ingresos provenientes de la actividad. |
19 |
|
Adicionalmente, se deberá revelar el monto que se encuentre restringido dentro del efectivo y equivalentes de efectivo de la entidad con respecto a la recepción de pagos de servicios por cuenta de terceros. |
20 |
|
B-9 FIDEICOMISOS Objetivo y alcance |
|
|
El presente criterio tiene por objetivo definir las normas particulares relativas al reconocimiento, valuación, presentación y revelación en los estados financieros para las actividades de fideicomiso privado que realicen las entidades en su calidad de fiduciarias, así como para las operaciones de mandato. Al respecto, es de mencionar que las entidades únicamente podrán fungir como fiduciarias en fideicomisos de garantía. Definiciones |
1 |
|
Fideicomiso.- La Ley General de Títulos y Operaciones de Crédito establece que “En virtud del fideicomiso, el fideicomitente transmite a una institución fiduciaria la propiedad o la titularidad de uno o más bienes o derechos, según sea el caso, para ser destinados a fines lícitos y determinados, encomendando la realización de dichos fines a la propia institución fiduciaria”. |
2 |
|
Para efectos de los presentes criterios de contabilidad se entenderá que, en lo aplicable, este término también se refiere a las operaciones de mandato que lleven a cabo las uniones en su carácter de mandatario. |
3 |
|
Fideicomisario.- Persona que tiene capacidad necesaria para recibir el provecho que el fideicomiso implica. |
4 |
|
Fideicomitente.- Persona que transmite la propiedad o la titularidad de los bienes o derechos objeto del fideicomiso, según sea el caso, para destinarlos a un fin lícito y determinado. |
5 |
|
Fiduciario.- Aquella entidad autorizada para llevar a cabo operaciones de fideicomiso y que es a quien se encomienda su realización. |
6 |
|
Mandato.- El Código Civil Federal establece que “El mandato es un contrato por el que el mandatario se obliga a ejecutar por cuenta del mandante los actos jurídicos que este le encarga”. |
7 |
|
Patrimonio fideicomitido.- Respecto de cada contrato de fideicomiso, el dinero, y demás bienes, instrumentos financieros o derechos confiados al fiduciario, así como a los incrementos o disminuciones, por los productos o gastos respectivos. Normas de reconocimiento y valuación Fideicomisos |
8 |
|
Las entidades deberán reconocer en cuentas de orden el patrimonio fideicomitido, atendiendo a la responsabilidad que para la entidad fiduciaria implique la realización o cumplimiento del objeto de dichos fideicomisos, cuya encomienda se acepte. |
9 |
|
En algunos casos, la responsabilidad a que se refiere el párrafo anterior se limita a la contabilización de los activos del fideicomiso, en tanto que, en otros casos, incluye el reconocimiento de activos y los pasivos que se generen durante su operación. |
10 |
|
La valuación del patrimonio fideicomitido reconocido en cuentas de orden se efectuará conforme a lo dispuesto en los presentes criterios de contabilidad. |
11 |
|
Las pérdidas a cargo de la entidad por las responsabilidades en que haya incurrido como fiduciario, se reconocerán en resultados en el periodo en el que estas se conozcan, independientemente del momento en el que se realice cualquier promoción jurídica al efecto. |
12 |
|
Adicionalmente al reconocimiento a que se refieren los párrafos anteriores, las entidades deben llevar una contabilidad especial por cada contrato de fideicomiso, debiendo registrar en la misma todas las operaciones realizadas. Invariablemente deberán coincidir los saldos de las contabilidades especiales de cada contrato de fideicomiso, con los saldos de las cuentas de orden en que la entidad reconozca el patrimonio fideicomitido. |
13 |
|
Cuando por la naturaleza de los fideicomisos establecidos en la entidad existan activos o pasivos a cargo o a favor de la misma, estos deberán reconocerse en el estado de situación financiera de dicha entidad, según corresponda. |
14 |
|
El reconocimiento de los ingresos por manejo de los fideicomisos deberá hacerse con base en lo establecido en la NIF D-1. Se deberá suspender la acumulación de dichos ingresos, en el momento en que el adeudo por estos, presente 90 o más días naturales de incumplimiento de pago, pudiendo volver a acumularse cuando el adeudo pendiente de pago sea liquidado en su totalidad. |
15 |
|
En tanto los ingresos por manejo de los fideicomisos se encuentren suspendidos de acumulación y no sean cobrados, su control se llevará en cuentas de orden. En caso de que dichos ingresos sean cobrados, se reconocerán directamente en los resultados del ejercicio. Normas de presentación Estado de situación financiera |
16 |
|
En cuentas de orden se presentará en el rubro de bienes en fideicomiso o mandato el monto total del patrimonio fideicomitido, de acuerdo con las normas de reconocimiento y valuación previstas en el presente criterio. Asimismo, deberá presentarse en cuentas de orden en el rubro de otras cuentas de registro, los ingresos devengados no cobrados por manejo de los fideicomisos. Estado de resultado integral |
17 |
|
Las pérdidas a cargo de la entidad por las responsabilidades incurridas se presentarán en el rubro de otros ingresos (egresos) de la operación, en tanto que el ingreso por manejo de los fideicomisos se incluirá en el rubro de comisiones y tarifas cobradas. Norma de revelación |
18 |
|
Mediante notas a los estados financieros se debe revelar el monto de los ingresos recibidos por la entidad en operaciones de fideicomiso. |
19 |
C-3 OPERACIONES DE BURSATILIZACIÓN Objetivo |
|
|
El presente criterio tiene por objetivo definir las normas particulares relativas al tratamiento en los estados financieros de las operaciones de bursatilización derivadas de la cesión de cartera. Definiciones |
1 |
|
Activo financiero.- Derecho que surge de un contrato, el cual otorga recursos económicos monetarios a la entidad. Por lo tanto, incluye, entre otros: a) efectivo o equivalentes de efectivo; b) instrumentos financieros generados por un contrato, tales como una inversión en un instrumento de deuda o de capital emitidos por un tercero; c) un derecho contractual de recibir efectivo o cualquier instrumento financiero de otra entidad; d) un derecho contractual a intercambiar activos financieros o pasivos financieros con un tercero en condiciones favorables para la entidad, o e) un derecho que será cobrado con un número variable de instrumentos financieros de capital emitidos por la propia entidad. |
2 |
|
Activos subordinados.- Son aquellos activos cuya disponibilidad está condicionada a que ocurran determinados eventos. |
3 |
|
Administración de los activos financieros transferidos.- Contrato por medio del cual una entidad proporciona servicios relacionados con la administración de los activos financieros objeto de operaciones de bursatilización, tales como: realizar la cobranza y custodiar los pagos de principal e intereses provenientes de los activos financieros transferidos; efectuar los pagos de impuestos y seguros relativos a dichos pagos por cuenta del vehículo de bursatilización; monitorear los casos de incumplimiento o dar seguimiento del riesgo de crédito atribuibles a los deudores de dichos activos; en su caso, ejecutar procesos de adjudicación; invertir temporalmente los pagos recibidos pendientes de distribución; pagar comisiones a garantes y otros prestadores de servicios en la operación; efectuar los pagos a los tenedores de los valores colocados entre inversionistas a través de bolsas de valores o mecanismos de negociación reconocidos. |
4 |
|
Aforo.- Activo financiero transferido por el cedente al cesionario en operaciones de bursatilización, adicional a los activos financieros transferidos objeto de operaciones de bursatilización, con el fin de cubrir posibles incumplimientos por parte de los deudores de los activos financieros transferidos objeto de bursatilización, garantizar el pago de obligaciones a los inversionistas, entre otros. |
5 |
|
Beneficios por intereses.- Derecho a recibir la totalidad o porciones específicas de flujos de efectivo de un fideicomiso, entidad u otra figura, incluyendo participaciones en el principal y/o los intereses de títulos de deuda con prioridad de pago y/o subordinados, otros flujos de efectivo provenientes de activos subyacentes, premios, obligaciones, intereses residuales (ya sea en la forma de deuda o capital), entre otros. |
6 |
|
Beneficios sobre el remanente del cesionario.- Beneficios por intereses en la forma de títulos, contratos o documentos que otorgan a su tenedor participación en el posible excedente o remanente que, en su caso, genere el cesionario, tales como, las constancias de aportación, certificados de aportación, constancias de derechos fiduciarios, intereses residuales, entre otros. |
7 |
|
Bursatilización.- Operación por medio de la cual determinados activos financieros son transferidos a un cesionario, con la finalidad de que este último emita títulos para ser colocados entre inversionistas a través de bolsas de valores o mecanismos de negociación reconocidos, los cuales representan el derecho a recibir lo establecido en el prospecto de colocación. |
8 |
|
Cedente (Transferente).- Es la entidad que transfiere a otra un activo financiero, una participación en un activo financiero o un grupo de activos financieros que controla. |
9 |
|
Cesionario (Receptor).- Vehículo de bursatilización que recibe un activo financiero, una participación en un activo financiero o un grupo de activos financieros del transferente. |
10 |
|
Instrumento financiero de capital.- Es el originado por un contrato que evidencia la participación o la opción de participar en los activos netos de una entidad. |
11 |
|
Involucramiento continuo.– Es la condición existente por medio de la cual el cedente sigue relacionado con un activo financiero transferido, ya sea por seguir teniendo: a) exposición a los riesgos y beneficios de los flujos de efectivo futuros del activo financiero transferido; o b) control sobre los flujos de efectivo del activo financiero transferido, con o sin exposición a los riesgos o beneficios relativos. |
12 |
|
Pasivo financiero.- Es una obligación que surge de un contrato, la cual requerirá el uso de recursos económicos monetarios de la entidad. Por lo tanto, representa: a) una obligación de entregar efectivo u otro activo financiero a un tercero para liquidarlo; b) una obligación contractual para intercambiar activos financieros o pasivos financieros con un tercero bajo condiciones desfavorables para la entidad; o c) una obligación que será liquidada con un número variable de instrumentos financieros de capital emitidos por la propia entidad. |
13 |
|
Revolvencia de activos financieros en operaciones de bursatilización.- Mecanismo en operaciones de bursatilización por medio del cual el cesionario pacta con el cedente, la transferencia de activos financieros de manera periódica y durante un tiempo preestablecido (conocido como periodo revolvente), con el objeto de mantener una adecuada relación financiera entre los activos financieros transferidos y los títulos colocados entre inversionistas a través de bolsas de valores o mecanismos de negociación reconocidos, y de esta forma cumplir con las obligaciones de la operación. |
14 |
|
Sustitución de activos financieros en operaciones de bursatilización.- Mecanismo en operaciones de bursatilización mediante el cual el cedente sustituye al cesionario uno o varios activos financieros transferidos durante un periodo preestablecido, cuando se da alguno de los supuestos previamente acordados, tales como deterioro en la calidad crediticia tratándose de cartera de crédito, deterioro en la calificación de valores, o incumplimientos significativos provenientes de los activos financieros transferidos. |
15 |
|
Valor razonable.- Es el precio de salida que, a la fecha de valuación, se recibiría por vender un activo o se pagaría por transferir un pasivo en una transacción ordenada entre participantes de mercado. |
16 |
|
Vehículo de bursatilización. - Es una entidad, fideicomiso u otra figura legal, cuyas actividades, de conformidad con su objeto o estatutos, están permanentemente limitadas a: a) mantener la posesión de los activos financieros transferidos; b) emitir valores que representen derechos sobre los activos financieros; c) recibir los flujos que procedan de los activos financieros transferidos, reinvertirlos en instrumentos financieros y prestar otros servicios asociados a los activos; d) distribuir los beneficios a los tenedores de los valores colocados entre inversionistas a través de bolsas de valores o mecanismos de negociación reconocidos, y e) distribuir los beneficios sobre el remanente que en su caso tenga la obligación de entregar. Características |
17 |
|
En las operaciones de bursatilización, el cedente puede o no transferir los riesgos y beneficios sobre los activos financieros al cesionario, pudiendo, además, transferir o no su control. El cesionario emite valores para ser colocados entre inversionistas a través de bolsas de valores o mecanismos de negociación reconocidos, los cuales representan beneficios por intereses o derechos sobre lo establecido en el prospecto de colocación. Como contraprestación, el cedente puede recibir, entre otros, efectivo o equivalentes de efectivo, instrumentos financieros, beneficios sobre el remanente del cesionario, derechos o instrumentos financieros derivados. |
18 |
|
En las operaciones que cumplan con las definiciones, conceptos y supuestos establecidos en la NIF C-14 para baja de la totalidad o una porción de activos financieros (según sea el caso), la entidad transferente (cedente) deberá dar de baja dicha totalidad o porción de los activos financieros bursatilizados de sus estados financieros y reconocer las contraprestaciones recibidas o incurridas en la operación de bursatilización de conformidad con lo señalado en la citada NIF C-14. Por contraparte, la entidad receptora (cesionario) reconocerá tales activos financieros en su estado de situación financiera, así como las contraprestaciones otorgadas o recibidas por la operación de bursatilización, de conformidad con lo señalado en el Criterio A-2. |
19 |
|
Si de conformidad con lo establecido en el párrafo anterior, no se cumple con las definiciones, conceptos y supuestos establecidos en la NIF C-14 para baja de la totalidad, o bien, de una porción de activos financieros en función de su involucramiento continuo, la entidad transferente (cedente) no deberá remover los activos financieros bursatilizados en su totalidad o porción por la cual retenga un involucramiento continuo de sus estados financieros y reconocerá el pasivo financiero asociado, así como las contraprestaciones recibidas o incurridas en la operación, de conformidad con lo señalado en la citada NIF C-14. Por contraparte, la entidad receptora (cesionario) reconocerá la porción del activo financiero transferido que haya dado de baja el cedente y sobre la cual el cesionario haya obtenido los derechos y obligaciones contractuales; las contraprestaciones recibidas o incurridas en la operación, considerando los nuevos activos financieros y las nuevas obligaciones asumidas (incluyendo la cuenta por cobrar por el financiamiento otorgado al cedente contra la salida de efectivo, así como la entrada de los activos financieros provenientes de la colocación de valores entre los inversionistas contra el pasivo correspondiente por la emisión de títulos), de conformidad con lo señalado en el Criterio A-2. |
20 |
|
Adicionalmente, en las operaciones de bursatilización, el cedente puede otorgar un aforo (efectivo o equivalentes de efectivo, cartera de crédito, valores, derechos e instrumentos financieros derivados, entre otros) con el fin de cubrir posibles incumplimientos por parte de los deudores del activo financiero transferido objeto de bursatilización, o bien, garantizar el pago de obligaciones a los inversionistas, entre otros. Por el otorgamiento de dicho aforo, el cedente puede o no mantener el derecho a recibir activos como contraprestación, tales como, el reembolso del propio aforo, beneficios sobre el remanente del cesionario, beneficios por intereses, entre otros. |
21 |
|
Asimismo, independientemente del otorgamiento del aforo, el cedente puede recibir activos financieros en la forma de beneficios sobre el remanente del cesionario y beneficios por intereses, entre otros. Operaciones que cumplan con los requisitos para baja de activos financieros Normas de reconocimiento y valuación Cedente (Transferente) |
22 |
|
Al momento de realizarse la transferencia de activos financieros en operaciones de bursatilización que cumplan con las definiciones, conceptos y supuestos establecidos en la NIF C-14 para baja de la totalidad o una porción de activos financieros (según sea el caso), la entidad transferente (cedente) deberá efectuar los registros contables señalados en la citada NIF C-14 para tales casos. |
23 |
|
Tratándose de activos financieros por los cuales se hayan constituido estimaciones de pérdidas crediticias esperadas o conceptos similares, al momento de reconocer su salida del estado de situación financiera se deberá considerar su valor neto en libros a la fecha de su transferencia. |
24 |
|
De manera consistente con lo establecido en la NIF C-14, deberán reconocerse las contraprestaciones recibidas o incurridas en la operación, considerando los nuevos activos financieros y las nuevas obligaciones asumidas, a sus valores razonables (tales como efectivo o equivalentes de efectivo, beneficios por intereses, instrumentos financieros derivados, activos o pasivos por administración de los activos financieros transferidos, pasivos financieros, derechos sobre el aforo otorgado), debiendo atender las normas de reconocimiento, valuación, presentación y revelación de conformidad con el criterio de contabilidad que corresponda de acuerdo a la naturaleza de la partida de que se trate. |
25 |
|
Las contraprestaciones recibidas en la forma de beneficios sobre el remanente del cesionario deberán reconocerse como beneficios por recibir en operaciones de bursatilización y mantenerse valuados, desde su registro inicial, a su valor razonable a la fecha de valuación, reconociendo los ajustes resultantes de su valuación en los resultados del ejercicio. La valuación a valor razonable de los beneficios sobre el remanente del cesionario deberá ser, en su caso, consistente con las políticas contables de una entidad que debe consolidarse de conformidad con lo señalado en la NIF B-8, a fin de facilitar la consolidación del cesionario en los estados financieros del cedente. |
26 |
|
Para el reconocimiento de las operaciones que cumplan los requisitos para baja de activos financieros, deberá atenderse lo establecido en la NIF C-14. |
27 |
|
Los cobros o recuperaciones posteriores relacionados con los beneficios por recibir en operaciones de bursatilización se reconocerán atendiendo a la naturaleza de las partidas recibidas, debiendo seguir las normas de reconocimiento, valuación, presentación y revelación de conformidad con el criterio de contabilidad que corresponda y se aplicarán directamente para la reducción de dichos beneficios por recibir. |
28 |
|
Los cobros o recuperaciones posteriores en exceso al monto registrado en beneficios por recibir en operaciones de bursatilización se reconocerán atendiendo a la naturaleza de las partidas recibidas, debiendo seguir las normas de reconocimiento, valuación, presentación y revelación de conformidad con el criterio de contabilidad que corresponda contra los resultados del ejercicio. Revolvencia y sustitución de activos financieros en operaciones de bursatilización |
29 |
|
En las operaciones de bursatilización en las cuales se pacte que el cedente podrá transferir activos financieros adicionales a aquellos transferidos inicialmente, como en el caso de sustitución o revolvencia, se deberá verificar si dichas transferencias cumplen con lo dispuesto en la NIF C-14 o, en su caso, en el Criterio A-2 a fin de determinar su reconocimiento y/o baja del estado de situación financiera. Administración de activos transferidos |
30 |
|
En caso de que el cedente preste servicios de administración de los activos financieros transferidos, se deberá reconocer un activo o pasivo por administración de activos transferidos inicialmente a su valor razonable como parte del registro inicial de la operación. Cuando la contraprestación por dicha administración se espere fundadamente que exceda los costos y gastos incurridos por el servicio de administración se deberá reconocer un activo por administración de activos transferidos; en caso contrario, se deberá reconocer un pasivo por administración de activos transferidos. Posteriormente, dichos activos o pasivos por administración se valuarán a valor razonable, reconociendo los efectos de valuación directamente en los resultados del ejercicio. Cesionario (Receptor) |
31 |
|
Al momento de realizarse la transferencia de activos financieros en operaciones de bursatilización que cumplan con las definiciones, conceptos y supuestos establecidos en la NIF C-14 para baja de la totalidad o una porción de activos financieros (según sea el caso), el cesionario deberá efectuar los registros contables señalados en el Criterio A-2 para el reconocimiento de activos financieros, incluyendo las contraprestaciones otorgadas o recibidas por la operación de bursatilización (tales como: efectivo o equivalentes de efectivo, instrumentos financieros derivados, activos financieros y obligaciones sobre el aforo recibido). Posteriormente, para efectos de valuación se deberá atender a las normas de reconocimiento, valuación, presentación y revelación de conformidad con el criterio de contabilidad que corresponda de acuerdo con la naturaleza de la partida de que se trate. |
32 |
|
En caso de que el activo financiero transferido corresponda a cartera de crédito, la diferencia entre el valor contractual de la cartera adquirida y el precio de adquisición deberá reconocerse conforme a los lineamientos para la adquisición de cartera de crédito previstos en el Criterio B-5. |
33 |
|
Respecto a la colocación de valores entre inversionistas a través de bolsas de valores o mecanismos de negociación reconocidos, el cesionario deberá registrar en su contabilidad la entrada de los activos financieros producto de dicha colocación de valores, así como el pasivo financiero correspondiente, incluyendo cualquier otro beneficio por intereses, atendiendo a lo establecido en la NIF C-19. |
34 |
|
Las obligaciones en las que, en su caso, incurra el cesionario, que representen los beneficios sobre su remanente, deberán registrarse como parte del capital contable o patrimonio, según sea el caso. |
35 |
|
Los gastos de emisión de los títulos colocados entre inversionistas a través de bolsas de valores o mecanismos de negociación reconocidos en que incurra el cesionario deberán registrarse de conformidad con lo establecido en la NIF C-19. Los gastos por concepto de la administración de activos financieros serán reconocidos en los resultados del ejercicio. Normas de presentación Cedente (Transferente) Estado de situación financiera |
36 |
|
Los beneficios sobre el remanente en operaciones de bursatilización y el activo por administración de activos financieros transferidos se presentarán en el estado de situación financiera formando parte de los beneficios por recibir en operaciones de bursatilización. Los pasivos por administración de activos transferidos se presentarán en el rubro de obligaciones en operaciones de bursatilización. |
37 |
|
El resto de los activos financieros y obligaciones asumidas provenientes de operaciones de bursatilización que cumplan con los requisitos para baja de activos financieros se presentarán en el estado de situación financiera de conformidad con el criterio de contabilidad que corresponda de acuerdo con la naturaleza de la partida de que se trate. Estado de resultado integral |
38 |
|
El resultado por baja de un activo financiero en su totalidad, así como el resultado por baja de una porción de un activo financiero se presentará en el rubro del estado de resultado integral que corresponda según la naturaleza del activo o porción del mismo, ya sea como una ganancia o pérdida. |
39 |
|
La valuación de los beneficios por recibir en operaciones de bursatilización, así como de los activos o pasivos por administración de activos transferidos se presentará en el estado de resultado integral en el rubro de otros ingresos (egresos) de la operación, según corresponda. |
40 |
|
Los cobros o recuperaciones en exceso al monto registrado en beneficios por recibir en operaciones de bursatilización se presentarán en el rubro de otros ingresos (egresos) de la operación. La pérdida que en su caso existiera por la diferencia entre los cobros o recuperaciones y el monto registrado en beneficios por recibir en operaciones de bursatilización se presentará en el rubro de otros ingresos (egresos) de la operación. |
41 |
|
La presentación de los efectos en resultados para el resto de los activos financieros y obligaciones asumidas provenientes de operaciones de bursatilización se efectuará de conformidad con el criterio de contabilidad que corresponda de acuerdo con la naturaleza de la partida de que se trate. Cesionario (Receptor) Estado de situación financiera |
42 |
|
Los activos financieros objeto de operaciones de bursatilización que cumplan con los requisitos para baja de activos financieros por parte del cedente se presentarán en el estado de situación financiera del cesionario de conformidad con el criterio de contabilidad que corresponda de acuerdo con la naturaleza de la partida de que se trate. Asimismo, deberá presentarse el monto de los valores colocados entre inversionistas a través de bolsas de valores o mecanismos de negociación reconocidos, objeto de la operación de bursatilización, dentro del pasivo en un rubro específico en el estado de situación financiera como títulos de crédito emitidos. |
43 |
|
Las obligaciones que representen los beneficios sobre su remanente se presentarán en el estado de situación financiera formando parte del capital contable o patrimonio, según sea el caso. Estado de resultado integral |
44 |
|
Los intereses que devenguen los valores y demás beneficios por intereses colocados entre inversionistas a través de bolsas de valores o mecanismos de negociación reconocidos por el cesionario, así como los gastos de emisión en términos de la NIF C-19, se reconocerán en los resultados del ejercicio como gastos por intereses. |
45 |
|
Los gastos por concepto de la administración de activos financieros reconocidos en los resultados del ejercicio se presentarán en el rubro de comisiones y tarifas pagadas. |
46 |
|
Tratándose de la adquisición de cartera de crédito, la amortización de la diferencia entre el valor contractual de la cartera adquirida y el precio de adquisición se presentará en el rubro de otros ingresos (egresos) de la operación de conformidad con lo establecido en el Criterio B-5. |
47 |
|
En su caso, la presentación de los efectos en resultados para el resto de los activos financieros y obligaciones asumidas provenientes de operaciones de bursatilización que cumplan con los requisitos para baja de activos financieros se efectuará de conformidad con el criterio de contabilidad que corresponda de acuerdo con la naturaleza de la partida de que se trate. Operaciones que no cumplan con los requisitos para baja de activos financieros Normas de reconocimiento y valuación Cedente (Transferente) |
48 |
|
Tratándose de transferencias de activos financieros en operaciones de bursatilización que no cumplan con las definiciones, conceptos y supuestos establecidos en la NIF C-14 para baja de la totalidad, o bien, porción de activos financieros en función de su involucramiento continuo, la entidad transferente (cedente) deberá efectuar los registros contables contenidos en la citada NIF C-14 para tales casos. Cesionario (Receptor) |
49 |
|
Tratándose de transferencias de activos financieros en operaciones de bursatilización que no cumplan con las definiciones, conceptos y supuestos establecidos en la NIF C-14 para baja de la totalidad, o bien, porción de activos financieros en función de su involucramiento continuo, el cesionario deberá efectuar los registros contables establecidos en la referida NIF C-14 para tales casos. |
50 |
|
Entre otros registros, el cesionario deberá reconocer en su estado de situación financiera los recursos provenientes de los inversionistas por la colocación de valores a través de bolsas de valores o mecanismos de negociación reconocidos, contra el pasivo financiero correspondiente a los títulos colocados. Asimismo, el cesionario deberá reconocer el financiamiento otorgado al cedente contra la salida de recursos. |
51 |
|
Los gastos de emisión de los títulos colocados entre inversionistas a través de bolsas de valores o mecanismos de negociación reconocidos en que incurra el cesionario deberán registrarse de conformidad con lo establecido en la NIF C-19. Los gastos por concepto de la administración de activos financieros serán reconocidos en los resultados del ejercicio. Normas de presentación Cedente (Transferente) Estado de situación financiera |
52 |
|
Los activos financieros que en su caso otorgue la entidad cedente como garantía o colateral en operaciones de bursatilización se presentarán como un activo restringido, según el tipo de activo de que se trate. Asimismo, se deberá presentar como parte de los préstamos bancarios o de otros organismos, el pasivo financiero correspondiente al financiamiento recibido del cesionario. El pasivo asociado a operaciones de bursatilización en las cuales se retenga un involucramiento continuo se presentará en el rubro de obligaciones en operaciones de bursatilización. |
53 |
|
El resto de los activos financieros y obligaciones asumidas provenientes de operaciones de bursatilización que no cumplan con los requisitos para baja de activos financieros se presentarán en el estado de situación financiera de conformidad con el criterio de contabilidad que corresponda de acuerdo con la naturaleza de la partida de que se trate. Estado de resultado integral |
54 |
|
En su caso, la presentación de los efectos en resultados para el resto de los activos financieros y obligaciones asumidas provenientes de operaciones de bursatilización que no cumplan con los requisitos para baja de activos financieros se efectuará de conformidad con el criterio de contabilidad que corresponda de acuerdo con la naturaleza de la partida de que se trate. Cesionario (Receptor) Estado de situación financiera |
55 |
|
El activo financiero que representa el financiamiento otorgado al cedente se deberá presentar dentro de la cartera de crédito como parte de la cartera comercial. Asimismo, deberá presentarse el monto de los valores colocados entre inversionistas a través de bolsas de valores o mecanismos de negociación reconocidos, objeto de la operación de bursatilización, dentro del pasivo en un rubro específico en el estado de situación financiera. Estado de resultado integral |
56 |
|
Los intereses que devenguen los valores y demás beneficios por intereses colocados entre inversionistas a través de bolsas de valores o mecanismos de negociación reconocidos por el cesionario, así como los gastos de emisión en términos de lo señalado en la NIF C-19, se reconocerán en los resultados del ejercicio como gastos por intereses. |
57 |
|
En su caso, la presentación de los efectos en resultados para el resto de los activos financieros y obligaciones asumidas provenientes de operaciones de bursatilización que no cumplan con los requisitos para baja de activos financieros se efectuará de conformidad con el criterio de contabilidad que corresponda de acuerdo con la naturaleza de la partida de que se trate. |
58 |
|
Los gastos por concepto de la administración de activos financieros, reconocidos en los resultados del ejercicio, se presentarán en el rubro de comisiones y tarifas pagadas. Normas de revelación |
59 |
|
Se deberá revelar en notas a los estados financieros por las operaciones de bursatilización, la siguiente información: Cedente (Transferente) a) las características de las operaciones de bursatilización efectuadas: el tipo de bursatilización celebrada (si corresponden a una bursatilización que cumplió o no con los requisitos para la baja de activos financieros), tipo genérico de activos financieros transferidos, restricciones a los derechos del cesionario sobre los activos financieros cedidos (principalmente características y montos de los activos restringidos), características del aforo y colateral, así como los montos por estas operaciones reconocidos en resultados en el rubro de otros ingresos (egresos) de la operación; b) principales características de las contraprestaciones recibidas e incurridas en operaciones de bursatilización; c) las principales características de los activos y pasivos que conformen los beneficios sobre el remanente del cesionario que, en su caso se pacten, así como descripción de la metodología utilizada para su valuación; d) descripción detallada de la metodología de valuación de los beneficios sobre el remanente del cesionario, principales supuestos utilizados, incluyendo un escenario que muestre la valuación bajo condiciones adversas, así como la mención de que dicha valuación se efectuó, en su caso, bajo parámetros consistentes con base en técnicas formales reconocidas en el mercado (revelando dichos parámetros); e) monto del efecto de valuación reconocido en resultados por la valuación de beneficios sobre el remanente del cesionario; f) monto del financiamiento recibido en operaciones de bursatilización, así como principales condiciones relativas a las obligaciones adquiridas para su pago (plazo, tasa, formas de pago, entre otros); g) descripción de los acuerdos para la revolvencia y sustitución de activos financieros transferidos, que en su caso se hayan pactado; h) descripción de los acuerdos de readquisición de los activos cedidos, que en su caso se hayan pactado; i) descripción de los derechos u obligaciones que se tengan sobre los activos financieros transferidos que actúen como aforo o colateral, según corresponda; j) descripción de los acuerdos para prestar el servicio de administración de activos financieros transferidos; k) monto reconocido en resultados del ejercicio por la valuación a valor razonable del activo o pasivo por administración de activos, así como principales supuestos utilizados para la determinación de dicho valor razonable; l) información sobre liquidaciones anticipadas de los activos financieros transferidos o cedidos, y m) descripción de los activos financieros recibidos como resultado de la liquidación de remanentes o excedentes del cesionario. Cesionario (Receptor) a) las características de los beneficios por intereses emitidos, subordinados o no, tales como: tipo, monto, tasa de interés, plazo, derechos y restricciones de pago; b) principales características de las contraprestaciones recibidas e incurridas en operaciones de bursatilización; c) calificación de la calidad crediticia de los títulos colocados entre inversionistas a través de bolsas de valores o mecanismos de negociación reconocidos, así como de los activos financieros objeto de la operación de bursatilización, y d) descripción de la metodología utilizada para valuar a valor razonable las obligaciones relacionadas con operaciones de bursatilización. |
60 |
|
D-1 ESTADO DE SITUACIÓN FINANCIERA Antecedentes |
|
|
La información de carácter financiero debe cumplir, entre otros, con el fin de presentar la situación financiera de las entidades a una fecha determinada, requiriéndose el establecimiento, mediante criterios específicos, de los objetivos y estructura general que debe tener el estado de situación financiera. Objetivo y alcance |
1 |
|
El presente criterio tiene por objetivo establecer las características generales, así como la estructura que debe tener el estado de situación financiera de las entidades, el cual deberá apegarse a lo previsto en este criterio. Asimismo, se establecen lineamientos mínimos con el propósito de homologar la presentación de este estado financiero entre las entidades y, de esta forma, facilitar su comparabilidad. |
2 |
|
El estado de situación financiera tiene por objetivo presentar información relativa a los recursos (activos) y fuentes de financiamiento (pasivos y capital contable) de una entidad a una fecha determinada. |
3 |
|
El estado de situación financiera, por lo tanto, deberá mostrar de manera adecuada y sobre bases consistentes, la posición de las entidades en cuanto a sus activos, pasivos, capital contable y cuentas de orden, de tal forma que se puedan evaluar los recursos económicos con que cuentan dichas entidades, así como su estructura financiera. |
4 |
|
Adicionalmente, el estado de situación financiera deberá cumplir con el objetivo de ser una herramienta útil para el análisis de las distintas entidades, por lo que es conveniente establecer los conceptos y estructura general que deberá contener dicho estado financiero. Conceptos que integran el estado de situación financiera |
5 |
|
En un contexto amplio, los conceptos que integran el estado de situación financiera son: activos, pasivos y capital contable, entendiendo como tales a los conceptos así definidos en la NIF A-1, Capítulo 50. Asimismo, las cuentas de orden a que se refiere el presente criterio forman parte de los conceptos que integran la estructura del estado de situación financiera de las entidades. Estructura del estado de situación financiera |
6 |
|
La estructura del estado de situación financiera deberá agrupar los conceptos de activo, pasivo, capital contable y cuentas de orden, de tal forma que refleje de mayor a menor su grado de liquidez o exigibilidad, según sea el caso. |
7 |
|
De esta forma, los rubros mínimos que se deben incluir en el estado de situación financiera son los siguientes: Activo ● efectivo y equivalentes de efectivo; ● cuentas de margen (instrumentos financieros derivados); ● inversiones en instrumentos financieros; ● deudores por reporto; ● instrumentos financieros derivados; ● ajustes de valuación por cobertura de activos financieros; ● total de cartera de crédito (neto); ● beneficios por recibir en operaciones de bursatilización; ● otras cuentas por cobrar (neto); ● inventario de mercancías; ● bienes adjudicados (neto); ● activos de larga duración mantenidos para la venta o para distribuir a los propietarios; ● pagos anticipados y otros activos; ● propiedades, mobiliario y equipo (neto); ● activos por derechos de uso de propiedades, mobiliario y equipo (neto); ● inversiones permanentes; ● activo por impuestos a la utilidad diferidos (neto); ● activos intangibles (neto); ● activos por derechos de uso de activos intangibles (neto), y ● crédito mercantil. Pasivo ● pasivos bursátiles; ● préstamos bancarios, de socios y de otros organismos; ● colaterales vendidos; ● instrumentos financieros derivados; ● ajustes de valuación por cobertura de pasivos financieros; ● obligaciones en operaciones de bursatilización; ● pasivo por arrendamiento; ● otras cuentas por pagar; ● pasivos relacionados con grupos de activos mantenidos para la venta; ● aportaciones para futuros aumentos de capital pendientes de formalizar en asamblea de accionistas; ● obligaciones asociadas con el retiro de componentes de propiedades, mobiliario y equipo; ● pasivo por impuestos a la utilidad; ● pasivo por beneficios a los empleados, y ● créditos diferidos y cobros anticipados. Capital contable ● capital contribuido, y ● capital ganado. Cuentas de orden ● avales otorgados; ● activos y pasivos contingentes; ● compromisos crediticios; ● bienes en fideicomiso o mandato; ● bienes en administración; ● colaterales recibidos por la entidad; ● colaterales recibidos y vendidos por la entidad; ● intereses devengados no cobrados derivados de cartera de crédito con riesgo de crédito etapa 3, y ● otras cuentas de registro. Presentación del estado de situación financiera |
8 |
|
Los rubros descritos anteriormente corresponden a los mínimos requeridos para la presentación del estado de situación financiera, sin embargo, las entidades deberán desglosar, ya sea en el citado estado financiero o mediante notas, el contenido de los conceptos que consideren necesarios a fin de mostrar su situación financiera al usuario de la información financiera. En la parte final del presente criterio se muestra un estado de situación financiera preparado con los rubros mínimos a que se refiere el párrafo anterior. |
9 |
|
Sin embargo, ciertos rubros del estado de situación financiera requieren lineamientos especiales para su presentación, los cuales se describen a continuación: Cuentas de margen (instrumentos financieros derivados) |
10 |
|
Se presentará como parte de este rubro los saldos provenientes de las cuentas de margen en efectivo, valores u otros activos a que se refiere la NIF C-10. Inversiones en instrumentos financieros |
11 |
|
Se presentarán dentro de este rubro las distintas categorías de inversiones en instrumentos financieros, tales como instrumentos financieros negociables, instrumentos financieros para cobrar y vender e instrumentos financieros para cobrar principal e interés (valores), estos últimos a su costo amortizado (es decir, incluyendo los intereses devengados no cobrados y netos de partidas por amortizar y de las pérdidas crediticias esperadas). Deudores por reporto |
12 |
|
Se presentará el saldo deudor proveniente de operaciones de reporto a que se refiere el criterio correspondiente, inmediatamente después del concepto de inversiones en instrumentos financieros. Instrumentos financieros derivados |
13 |
|
Los activos financieros provenientes de instrumentos financieros derivados se presentarán inmediatamente después del concepto de deudores por reporto, desagregándose en instrumentos financieros derivados con fines de negociación o con fines de cobertura, según corresponda. Ajustes de valuación por cobertura de activos financieros |
14 |
|
En una cobertura de valor razonable por riesgo de tasa de interés de una porción de un portafolio compuesto por activos financieros el ajuste al valor en libros de la partida cubierta por la ganancia o pérdida reconocida en los resultados del periodo se presentará en este rubro, inmediatamente después del rubro de instrumentos financieros derivados. Total de cartera de crédito (neto) |
15 |
|
Con objeto de obtener información de mayor calidad en cuanto a los créditos comerciales otorgados por las entidades a sus socios, la cartera de crédito se deberá desagregar en el estado de situación financiera según el destino del crédito, clasificándose en cualquiera de las siguientes categorías: Cartera de crédito con riesgo de crédito etapa 1 ● Créditos comerciales ‒ documentados con garantía inmobiliaria; ‒ documentados con otras garantías; ‒ sin garantía; ‒ operaciones de factoraje financiero, descuento o cesión de derechos de crédito; ‒ operaciones de arrendamiento financiero; ‒ entidades financieras, y ‒ préstamos otorgados a otras uniones de crédito. Cartera de crédito con riesgo de crédito etapa 2 ● Créditos comerciales ‒ documentados con garantía inmobiliaria; ‒ documentados con otras garantías; ‒ sin garantía; ‒ operaciones de factoraje financiero, descuento o cesión de derechos de crédito; ‒ operaciones de arrendamiento financiero; ‒ entidades financieras, y ‒ préstamos otorgados a otras uniones de crédito. Cartera de crédito con riesgo de crédito etapa 3 ● Créditos comerciales ‒ documentados con garantía inmobiliaria; ‒ documentados con otras garantías; ‒ sin garantía; ‒ operaciones de factoraje financiero, descuento o cesión de derechos de crédito; ‒ operaciones de arrendamiento financiero; ‒ entidades financieras, y ‒ préstamos otorgados a otras uniones de crédito. Cartera de crédito valuada a valor razonable ● Créditos comerciales ‒ documentados con garantía inmobiliaria; ‒ documentados con otras garantías; ‒ sin garantía; ‒ operaciones de factoraje financiero, descuento o cesión de derechos de crédito; ‒ operaciones de arrendamiento financiero; ‒ entidades financieras, y ‒ préstamos otorgados a otras uniones de crédito. |
16 |
|
Los créditos denominados en UDIS, ya sean propios o derivados de programas de apoyo a deudores, deberán ser presentados en la categoría que les corresponda. |
17 |
|
La cartera de crédito se presentará, conforme al crédito de que se trate, neta de los intereses cobrados por anticipado y los créditos diferidos correspondientes al ingreso financiero por devengar en contratos de arrendamiento financiero. |
18 |
|
También se presentarán dentro de este rubro: las partidas diferidas (tales como el monto neto entre costos de transacción y comisiones por otorgamiento, así como los efectos por renegociaciones) y las estimaciones correspondientes a la cartera de crédito. Asimismo, los derechos de cobro adquiridos, relativos a los créditos adquiridos a que hace referencia el inciso d) del párrafo 3, del Criterio B-5, netos de su estimación. Otras cuentas por cobrar (neto) |
19 |
|
Se presentarán las cuentas por cobrar no comprendidas en la cartera de crédito, considerando entre otras, a las cuentas liquidadoras deudoras, deudores por colaterales otorgados en efectivo, y las cuentas por cobrar condicionadas, deducidas, en su caso, de la estimación de pérdidas crediticias esperadas. Activos de larga duración mantenidos para la venta o para distribuir a los propietarios |
20 |
|
Se presentarán dentro de este rubro las inversiones en activos de larga duración que se clasifiquen como mantenidos para la venta, tales como subsidiarias, asociadas y, negocios conjuntos, así como aquellos mantenidos para su distribución, incluidas las operaciones discontinuadas, a los que hace referencia la NIF B-11. Pagos anticipados y otros activos |
21 |
|
Se deberán presentar como un solo rubro en el estado de situación financiera los pagos anticipados y los otros activos tales como los cargos diferidos y depósitos en garantía, así como otros activos a corto y largo plazo. El activo por beneficios a los empleados que surja conforme a lo establecido en la NIF D-3 “Beneficios a los empleados” (NIF D-3), formará parte de este rubro. Activos por derechos de uso de propiedades, mobiliario y equipo (neto) |
22 |
|
Se presentan aquellos activos que representan el derecho de un arrendatario a usar una propiedad, mobiliario o equipo durante el plazo del arrendamiento, disminuidos por su depreciación acumulada. Inversiones permanentes |
23 |
|
Se presentan dentro de este rubro las inversiones permanentes en subsidiarias no consolidadas, asociadas, negocios conjuntos, así como otras inversiones permanentes, adicionadas por el crédito mercantil que en su caso se hubiera generado. Activos por derechos de uso de activos intangibles (neto) |
24 |
|
Se presentan aquellos activos que representan el derecho de un arrendatario a usar un activo intangible durante el plazo del arrendamiento, disminuidos por su amortización acumulada. Préstamos bancarios, de socios y de otros organismos |
25 |
|
Se agruparán dentro de un rubro específico los préstamos bancarios, de socios y de otros organismos, desglosándose en: ● de corto plazo (monto de las amortizaciones cuyo plazo por vencer sea menor o igual a un año), y ● de largo plazo (monto de las amortizaciones cuyo plazo por vencer sea mayor a un año). |
26 |
|
El pasivo que se genere en las operaciones de venta de cartera de crédito en las que no se cumplan las condiciones establecidas para dar de baja un activo financiero conforme a lo establecido en la NIF C-14, se presentarán dentro de este rubro. Colaterales vendidos |
27 |
|
Se deberán presentar dentro de este rubro de manera desagregada, los colaterales vendidos que representan la obligación de restituir el colateral recibido de la contraparte en operaciones de instrumentos financieros derivados y otros colaterales vendidos, así como de aquellos colaterales vendidos en operaciones de reporto. |
28 |
|
Tratándose de operaciones de reporto, se deberá presentar el saldo acreedor que se origine de la compensación efectuada conforme al Criterio B-3. Instrumentos financieros derivados |
29 |
|
Los pasivos financieros provenientes de instrumentos financieros derivados se presentarán inmediatamente después del rubro de colaterales vendidos, desagregados en instrumentos financieros derivados con fines de negociación o con fines de cobertura, según corresponda. Ajustes de valuación por cobertura de pasivos financieros |
30 |
|
En una cobertura de valor razonable por riesgo de tasa de interés de una porción de un portafolio compuesto por pasivos financieros el ajuste al valor en libros de la partida cubierta por la ganancia o pérdida reconocida en los resultados del periodo se presentará en este rubro, inmediatamente después de los pasivos financieros correspondientes. Otras cuentas por pagar |
31 |
|
Formarán parte de este rubro, entre otros, las cuentas liquidadoras acreedoras, acreedores por colaterales recibidos en efectivo, las contribuciones por pagar, los acreedores diversos y otras cuentas por pagar, incluyendo en este último a los sobregiros en cuentas de cheques y el saldo negativo del rubro de efectivo y equivalentes de efectivo que de conformidad con lo establecido en el Criterio B-1 deban presentarse como un pasivo. Pasivos relacionados con grupos de activos mantenidos para la venta |
32 |
|
Se presentarán dentro de este rubro los pasivos relacionados con los grupos de activos de larga duración mantenidos para la venta incluidas las operaciones discontinuadas. Obligaciones asociadas con el retiro de componentes de propiedades, mobiliario y equipo |
33 |
|
En este rubro se incluirán, las obligaciones que surjan por la remoción permanente del servicio de un componente de propiedades, mobiliario y equipo, de conformidad con lo establecido en la NIF C-18 “Obligaciones asociadas con el retiro de propiedades, planta y equipo”. Pasivo por impuestos a la utilidad |
34 |
|
Se presentará en este rubro el importe correspondiente a los impuestos causados, así como el monto resultante del pasivo por impuestos a la utilidad diferidos, determinados de conformidad con lo establecido en la NIF D-4. Pasivo por beneficios a los empleados |
35 |
|
El pasivo que surja de conformidad con lo establecido en la NIF D-3, formará parte de este rubro. Créditos diferidos y cobros anticipados |
36 |
|
Este rubro estará integrado por los créditos diferidos y los cobros anticipados, tales como los cobros anticipados que se reciban a cuenta de los bienes prometidos en venta o con reserva de dominio, entre otros. Capital contable |
37 |
|
Cuando se elabore el estado de situación financiera consolidado, la participación no controladora que representa la parte del capital contable de la subsidiaria que corresponde a los accionistas no controladores, se presentará en un renglón por separado, inmediatamente después del capital ganado. Resultado por tenencia de activos no monetarios |
38 |
|
La entidad reconocerá en este rubro el resultado por tenencia de activos no monetarios no realizado, conforme lo establecido en la NIF B-10. Cuentas de orden |
39 |
|
Al pie del estado de situación financiera se deberán presentar situaciones o eventos que, de acuerdo con la definición de activos, pasivos y capital contable antes mencionada, no deban incluirse dentro de dichos conceptos en el estado de situación financiera de las entidades, pero que proporcionen información sobre alguno de los siguientes eventos: a) avales otorgados; b) activos y pasivos contingentes tales como las líneas de crédito contingentes, líneas de crédito irrevocables y garantías, así como de los compromisos crediticios tales como líneas de crédito otorgadas no utilizadas y las líneas de crédito revocables, lo anterior de conformidad con la NIF C-9; c) bienes en fideicomiso o mandato; d) colaterales recibidos por la entidad; e) colaterales recibidos y vendidos por la entidad; f) montos que complementen las cifras contenidas en el estado de situación financiera, y g) otras cuentas que la entidad considere necesarias para facilitar el registro contable o para cumplir con las disposiciones legales aplicables. Bienes en administración |
40 |
|
Se presentará en este rubro el importe derivado de las operaciones de distribución de acciones de fondos de inversión. |
41 |
DOMICILIO
ESTADO DE SITUACIÓN FINANCIERA AL ____ DE ____________ DE ______
EXPRESADO EN MONEDA DE PODER ADQUISITIVO DE _______________ DE ______ (1)
(Cifras en miles de pesos)
|
ACTIVO |
|
|
|
|
|
PASIVO Y CAPITAL |
|
|
|
|
|
|
|
|
|
|
|
|
|
|
|
|
|
EFECTIVO Y EQUIVALENTES DE EFECTIVO |
|
|
|
$ |
|
PASIVOS BURSÁTILES |
|
|
$ |
|
|
|
|
|
|
|
|
|
|
|
|
|
|
CUENTAS DE MARGEN (INSTRUMENTOS FINANCIEROS DERIVADOS) |
|
|
|
“ |
|
PRÉSTAMOS BANCARIOS, DE SOCIOS Y DE OTROS ORGANISMOS |
|
|
|
|
|
|
|
|
|
|
|
De corto plazo |
|
$ |
|
|
|
INVERSIONES EN INSTRUMENTOS FINANCIEROS |
|
|
|
|
|
De largo plazo |
|
“ |
“ |
|
|
Instrumentos financieros negociables |
|
|
$ |
|
|
|
|
|
|
|
|
Instrumentos financieros para cobrar y vender |
|
|
“ |
|
|
COLATERALES VENDIDOS |
|
|
|
|
|
Instrumentos financieros para cobrar principal e interés (valores) (neto) |
|
|
“ |
“ |
|
Reportos |
|
“ |
|
|
|
|
|
|
|
|
|
Instrumentos financieros derivados |
|
“ |
|
|
|
DEUDORES POR REPORTO |
|
|
|
“ |
|
Otros colaterales vendidos |
|
“ |
“ |
|
|
|
|
|
|
|
|
|
|
|
|
|
|
INSTRUMENTOS FINANCIEROS DERIVADOS |
|
|
|
|
|
INSTRUMENTOS FINANCIEROS DERIVADOS |
|
|
|
|
|
Con fines de negociación |
|
|
“ |
|
|
Con fines de negociación |
|
“ |
|
|
|
Con fines de cobertura |
|
|
“ |
“ |
|
Con fines de cobertura |
|
“ |
“ |
|
|
|
|
|
|
|
|
|
|
|
|
|
|
AJUSTES DE VALUACIÓN POR COBERTURA DE ACTIVOS FINANCIEROS |
|
|
|
“ |
|
AJUSTES DE VALUACIÓN POR COBERTURA DE PASIVOS |
|
|
|
|
|
|
|
|
|
|
|
FINANCIEROS |
|
|
“ |
|
|
CARTERA DE CRÉDITO CON RIESGO DE CRÉDITO ETAPA 1 |
|
|
|
|
|
|
|
|
|
|
|
Créditos comerciales |
|
|
|
|
|
OBLIGACIONES EN OPERACIONES DE BURSATILIZACIÓN |
|
|
“ |
|
|
Documentados con garantía inmobiliaria |
|
$ |
|
|
|
|
|
|
|
|
|
Documentados con otras garantías |
|
“ |
|
|
|
PASIVO POR ARRENDAMIENTO |
|
|
“ |
|
|
Sin garantía |
|
“ |
|
|
|
|
|
|
|
|
|
Operaciones de factoraje financiero, descuento o cesión de derechos de crédito |
|
“ |
|
|
|
OTRAS CUENTAS POR PAGAR |
|
|
|
|
|
Operaciones de arrendamiento financiero |
|
“ |
|
|
|
Proveedores |
|
“ |
|
|
|
Entidades financieras |
|
“ |
|
|
|
Acreedores por liquidación de operaciones |
|
“ |
|
|
|
Préstamos otorgados a otras uniones de crédito |
|
“ |
|
|
|
Acreedores por cuentas de margen |
|
“ |
|
|
|
|
|
|
|
|
|
Acreedores por colaterales recibidos en efectivo |
|
“ |
|
|
|
TOTAL CARTERA DE CRÉDITO CON RIESGO DE CRÉDITO ETAPA 1 |
|
|
“ |
|
|
Contribuciones por pagar |
|
“ |
|
|
|
|
|
|
|
|
|
Acreedores diversos y otras cuentas por pagar |
|
“ |
“ |
|
|
CARTERA DE CRÉDITO CON RIESGO DE CRÉDITO ETAPA 2 |
|
|
|
|
|
|
|
|
|
|
|
Créditos comerciales |
|
|
|
|
|
PASIVOS RELACIONADOS CON GRUPOS DE ACTIVOS MANTENIDOS |
|
|
|
|
|
Documentados con garantía inmobiliaria |
|
“ |
|
|
|
PARA LA VENTA |
|
|
“ |
|
|
Documentados con otras garantías |
|
“ |
|
|
|
|
|
|
|
|
|
Sin garantía |
|
“ |
|
|
|
APORTACIONES PARA FUTUROS AUMENTOS DE CAPITAL |
|
|
|
|
|
Operaciones de factoraje financiero, descuento o cesión de derechos de crédito |
|
“ |
|
|
|
PENDIENTES DE FORMALIZAR EN ASAMBLEA DE ACCIONISTAS |
|
|
“ |
|
|
Operaciones de arrendamiento financiero |
|
“ |
|
|
|
|
|
|
|
|
|
Entidades financieras |
|
“ |
|
|
|
OBLIGACIONES ASOCIADAS CON EL RETIRO DE COMPONENTES DE |
|
|
|
|
|
Préstamos otorgados a otras uniones de crédito |
|
“ |
|
|
|
PROPIEDADES, MOBILIARIO Y EQUIPO |
|
|
“ |
|
|
|
|
|
|
|
|
|
|
|
|
|
|
TOTAL CARTERA DE CRÉDITO CON RIESGO DE CRÉDITO ETAPA 2 |
|
|
“ |
|
|
PASIVO POR IMPUESTOS A LA UTILIDAD |
|
|
“ |
|
|
|
|
|
|
|
|
|
|
|
|
|
|
CARTERA DE CRÉDITO CON RIESGO DE CRÉDITO ETAPA 3 |
|
|
|
|
|
PASIVO POR BENEFICIOS A LOS EMPLEADOS |
|
|
“ |
|
|
Créditos comerciales |
|
|
|
|
|
|
|
|
|
|
|
Documentados con garantía inmobiliaria |
|
“ |
|
|
|
CRÉDITOS DIFERIDOS Y COBROS ANTICIPADOS |
|
|
“ |
|
|
Documentados con otras garantías |
|
“ |
|
|
|
|
|
|
|
|
|
Sin garantía |
|
“ |
|
|
|
TOTAL PASIVO |
|
|
S |
|
|
Operaciones de factoraje financiero, descuento o cesión de derechos de crédito |
|
“ |
|
|
|
|
|
|
|
|
|
Operaciones de arrendamiento financiero |
|
“ |
|
|
|
|
|
|
|
|
|
Entidades financieras |
|
“ |
|
|
|
|
|
|
|
|
|
Préstamos otorgados a otras uniones de crédito |
|
“ |
|
|
|
CAPITAL CONTABLE |
|
|
|
|
|
|
|
|
|
|
|
|
|
|
|
|
|
TOTAL CARTERA DE CRÉDITO CON RIESGO DE CRÉDITO ETAPA 3 |
|
|
“ |
|
|
CAPITAL CONTRIBUIDO |
|
|
|
|
|
|
|
|
|
|
|
Capital social |
|
“ |
|
|
|
CARTERA DE CRÉDITO VALUADA A VALOR RAZONABLE |
|
|
“ |
|
|
Aportaciones para futuros aumentos de capital formalizadas en |
|
|
|
|
|
|
|
|
|
|
|
asamblea de accionistas |
|
“ |
|
|
|
CARTERA DE CRÉDITO |
|
|
“ |
|
|
Prima en venta de acciones |
|
“ |
“ |
|
|
|
|
|
|
|
|
|
|
|
|
|
|
|
|
“ |
|
|
|
|
|
|
|
|
|
(-) MENOS: |
|
|
|
|
|
CAPITAL GANADO |
|
|
|
|
|
ESTIMACIÓN PREVENTIVA PARA RIESGOS CREDITICIOS |
|
|
“ |
|
|
Reservas de capital |
|
“ |
|
|
|
|
|
|
|
|
|
Resultados acumulados |
|
“ |
|
|
|
CARTERA DE CRÉDITO (NETO) |
|
|
“ |
|
|
Otros resultados integrales |
|
“ |
|
|
|
|
|
|
|
|
|
Valuación de instrumentos financieros negociables |
$ |
|
|
|
|
DERECHOS DE COBRO ADQUIRIDOS (NETO) |
|
|
“ |
|
|
Valuación de instrumentos financieros para cobrar y vender |
“ |
|
|
|
|
|
|
|
|
|
|
Valuación de instrumentos financieros derivados de cobertura |
“ |
|
|
|
|
TOTAL DE CARTERA DE CRÉDITO (NETO) |
|
|
|
“ |
|
Ingresos y gastos relacionados con activos mantenidos para su |
|
|
|
|
|
|
|
|
|
|
|
disposición |
“ |
|
|
|
|
BENEFICIOS POR RECIBIR EN OPERACIONES DE BURSATILIZACIÓN |
|
|
|
“ |
|
Remedición de beneficios definidos a los empleados |
“ |
|
|
|
|
|
|
|
|
|
|
Efecto acumulado por conversión |
“ |
|
|
|
|
OTRAS CUENTAS POR COBRAR (NETO) |
|
|
|
“ |
|
Resultado por tenencia de activos no monetarios |
“ |
|
|
|
|
|
|
|
|
|
|
Participación en ORI de otras entidades |
|
“ |
“ |
|
|
INVENTARIO DE MERCANCÍAS |
|
|
|
“ |
|
|
|
|
|
|
|
|
|
|
|
|
|
|
|
|
|
|
|
BIENES ADJUDICADOS (NETO) |
|
|
|
“ |
|
|
|
|
|
|
|
|
|
|
|
|
|
TOTAL PARTICIPACIÓN CONTROLADORA |
|
|
“ |
|
|
ACTIVOS DE LARGA DURACIÓN MANTENIDOS PARA LA VENTA O PARA |
|
|
|
|
|
|
|
|
|
|
|
DISTRIBUIR A LOS PROPIETARIOS |
|
|
|
“ |
|
TOTAL PARTICIPACIÓN NO CONTROLADORA |
|
|
“ |
|
|
|
|
|
|
|
|
|
|
|
|
|
|
PAGOS ANTICIPADOS Y OTROS ACTIVOS |
|
|
|
“ |
|
|
|
|
|
|
|
|
|
|
|
|
|
TOTAL CAPITAL CONTABLE |
|
|
S |
|
|
PROPIEDADES, MOBILIARIO Y EQUIPO (NETO) |
|
|
|
“ |
|
|
|
|
|
|
|
|
|
|
|
|
|
|
|
|
|
|
|
ACTIVOS POR DERECHOS DE USO DE PROPIEDADES, MOBILIARIO Y EQUIPO (NETO) |
|
|
|
“ |
|
|
|
|
|
|
|
|
|
|
|
|
|
|
|
|
|
|
|
INVERSIONES PERMANENTES |
|
|
|
“ |
|
|
|
|
|
|
|
|
|
|
|
|
|
|
|
|
|
|
|
ACTIVO POR IMPUESTOS A LA UTILIDAD DIFERIDOS (NETO) |
|
|
|
“ |
|
|
|
|
|
|
|
|
|
|
|
|
|
|
|
|
|
|
|
ACTIVOS INTANGIBLES (NETO) |
|
|
|
“ |
|
|
|
|
|
|
|
|
|
|
|
|
|
|
|
|
|
|
|
ACTIVOS POR DERECHOS DE USO DE ACTIVOS INTANGIBLES (NETO) |
|
|
|
“ |
|
|
|
|
|
|
|
|
|
|
|
|
|
|
|
|
|
|
|
CRÉDITO MERCANTIL |
|
|
|
“ |
|
|
|
|
|
|
|
|
|
|
|
|
|
|
|
|
|
|
|
TOTAL ACTIVO |
|
|
|
$ |
|
TOTAL PASIVO Y CAPITAL CONTABLE |
|
|
$ |
|
|
|
|
|
|
|
|
|
|
|
|
|
CUENTAS DE ORDEN
Avales otorgados $
Activos y pasivos contingentes “
Compromisos crediticios “
Bienes en fideicomiso o mandato “
Bienes en administración “
Colaterales recibidos por la entidad “
Colaterales recibidos y vendidos por la entidad “
Intereses devengados no cobrados derivados de cartera de crédito con riesgo de crédito etapa 3 “
Otras cuentas de registro “
Los conceptos que aparecen en el presente estado se muestran de manera enunciativa mas no limitativa.
(1) Este renglón se omitirá si el entorno económico es "no inflacionario".
|
D-2 ESTADO DE RESULTADO INTEGRAL Antecedentes |
|
|
La información de carácter financiero debe cumplir, entre otros, con el fin de reportar los resultados de las operaciones de una entidad durante un periodo contable definido, requiriéndose el establecimiento, mediante criterios específicos, del objeto y estructura general que debe tener el estado de resultado integral. Lo anterior con la finalidad de obtener elementos de juicio respecto, entre otras cuestiones, del nivel de eficiencia operativa, rentabilidad y riesgo financiero. Objetivo y alcance |
1 |
|
El presente criterio tiene por objetivo establecer las características generales para la presentación y estructura del estado de resultado integral, los requerimientos mínimos de su contenido y las normas generales de revelación. Siempre que se prepare este estado financiero, las entidades deberán apegarse a la estructura y lineamientos previstos en este criterio a través de los cuales se busca homologar la presentación de este estado financiero entre las entidades, y de esta forma, facilitar su comparabilidad. |
2 |
|
El estado de resultado integral tiene por objetivo presentar información relativa al resultado de las operaciones de la entidad durante un periodo contable Conceptos que integran el estado de resultado integral |
3 |
|
En un contexto amplio, los conceptos que integran el estado de resultado integral son: ingresos, costos, gastos, resultado neto y resultado integral, considerando como tales a los conceptos así definidos en la NIF A-1, Capítulo 50. Estructura del estado de resultado integral |
4 |
|
Los rubros mínimos que debe contener el estado de resultado integral en las entidades son los siguientes: ● margen financiero; ● margen financiero ajustado por riesgos crediticios; ● resultado de la operación; ● resultado antes de impuestos a la utilidad; ● resultado de operaciones continuas; ● resultado neto, y ● resultado integral. Presentación del estado de resultado integral |
5 |
|
Los rubros descritos anteriormente, corresponden a los mínimos requeridos para la presentación del estado de resultado integral, sin embargo, las entidades deberán desglosar, ya sea en el citado estado de resultado integral, o mediante notas a los estados financieros, el contenido de los conceptos que consideren necesarios a fin de mostrar sus resultados para el usuario de la información financiera. En la parte final del presente criterio se muestra un estado de resultado integral consolidado, preparado con los rubros mínimos a que se refiere el párrafo anterior. Características de los rubros que componen la estructura del estado de resultado integral Margen financiero |
6 |
|
El margen financiero deberá estar conformado por la diferencia entre los ingresos por intereses y los gastos por intereses, incrementados o deducidos por el resultado por posición monetaria neto, relacionado con partidas del margen financiero (tratándose de un entorno inflacionario). Ingresos por intereses |
7 |
|
Se consideran como ingresos por intereses, entre otros, los rendimientos generados por la cartera de crédito, contractualmente denominados intereses, los derivados de los derechos de cobro adquiridos (créditos deteriorados), la amortización de los intereses cobrados por anticipado, el ingreso financiero devengado en las operaciones de arrendamiento financiero, factoraje financiero, descuento y cesión de derechos de crédito, así como por los premios e intereses de otras operaciones financieras, tales como, depósitos en entidades financieras, cuentas de margen, inversiones en instrumentos financieros, operaciones de reporto, operaciones con instrumentos financieros derivados, así como las primas por colocación de deuda. |
8 |
|
También se consideran ingresos por intereses las comisiones cobradas por el otorgamiento del crédito y el efecto por renegociación de cartera de crédito, así como los dividendos de instrumentos financieros que califican como instrumentos financieros de capital. |
9 |
|
De igual manera se consideran como ingresos por intereses los ajustes por valorización derivados de partidas denominadas en UDIS o en algún otro índice general de precios, así como la utilidad en cambios, siempre y cuando dichas partidas provengan de posiciones relacionadas con ingresos o gastos que formen parte del margen financiero. |
10 |
|
Los intereses cobrados relativos a créditos catalogados como cartera con riesgo de incumplimiento etapa 3, cuya acumulación se efectúe conforme a su cobro, de acuerdo con lo establecido en el Criterio B-5, forman parte de este rubro. Gastos por intereses |
11 |
|
Se consideran gastos por intereses, las primas, descuentos e intereses derivados de los pasivos bursátiles y préstamos bancarios, de socios y de otros organismos, operaciones de reporto. Además de los gastos provenientes de operaciones de cobertura y de instrumentos financieros derivados de negociación. |
12 |
|
Igualmente, se consideran gastos por intereses los ajustes por valorización derivados de partidas denominadas en UDIS o en algún otro índice general de precios, así como la pérdida en cambios de posiciones, siempre y cuando dichos conceptos provengan de activos o pasivos relacionados con gastos o ingresos que formen parte del margen financiero. |
13 |
|
Asimismo, se consideran como gastos por intereses a la amortización de los costos y gastos asociados con el otorgamiento del crédito (costos de transacción), el efecto por renegociación de cartera de crédito, los derivados de pasivos por arrendamiento y el efecto financiero de provisiones. Resultado por posición monetaria neto (margen financiero) |
14 |
|
El resultado por posición monetaria neto a que se refiere el párrafo 7, será aquel que se origine de partidas cuyos ingresos o gastos formen parte del margen financiero (tratándose de un entorno inflacionario). Margen financiero ajustado por riesgos crediticios |
15 |
|
Corresponde al margen financiero deducido por los importes relativos a los movimientos de la estimación preventiva para riesgos crediticios en un periodo determinado. Resultado de la operación |
16 |
|
Corresponde al margen financiero ajustado por riesgos crediticios, incrementado o disminuido por: a) las comisiones y tarifas cobradas y pagadas, b) el resultado por intermediación, c) otros ingresos (egresos) de la operación distintos a los ingresos o gastos por intereses que se hayan incluido dentro del margen financiero, d) los gastos de administración y promoción. Comisiones y tarifas cobradas y pagadas |
17 |
|
Las comisiones y tarifas cobradas y pagadas son aquellas generadas por operaciones de crédito distintas de las señaladas en los párrafos 9 y 14, préstamos recibidos, colocación de deuda (distintas a las asociadas a su emisión) y por la prestación de servicios entre otros, de administración de recursos, actividades fiduciarias y por el otorgamiento de avales. Resultado por intermediación |
18 |
|
Este rubro está integrado, entre otros, por los siguientes conceptos: a) resultado por valuación a valor razonable de instrumentos financieros negociables, e instrumentos financieros derivados con fines de negociación o de cobertura y valuación de la partida cubierta, así como los colaterales vendidos; b) estimación de pérdidas crediticias esperadas para inversiones en instrumentos financieros; c) resultado por valuación de divisas vinculadas a su objeto social; d) resultado por compraventa de instrumentos financieros (valores) y de instrumentos financieros derivados; e) resultado por compraventa de divisas vinculadas a su objeto social; f) resultado por venta de colaterales recibidos; g) los costos de transacción por compraventa de instrumentos financieros negociables e instrumentos financieros derivados, y h) otros resultados financieros. Otros ingresos (egresos) de la operación |
19 |
|
Adicionalmente, se reconocen dentro del resultado de la operación, a los ingresos y gastos derivados de la operación de la entidad, que no están comprendidos en los párrafos anteriores, ni formen parte de los gastos de administración y promoción, tales como: a) costos y gastos por recuperaciones de cartera de crédito; b) recuperaciones de impuestos, de derechos de cobro y exceso de beneficios por recibir en operaciones de bursatilización; c) resultado por adquisición o venta de cartera; d) ingreso por opción de compra en operaciones de arrendamiento financiero; e) ingresos por participación del precio de venta de bienes en operaciones de arrendamiento financiero; f) afectaciones a la estimación de pérdidas crediticias esperadas; g) los quebrantos; h) los donativos; i) el resultado por adjudicación de bienes, el resultado por la valuación de bienes adjudicados, el resultado en venta de bienes adjudicados, así como la estimación por la pérdida de valor en bienes adjudicados; j) la pérdida en administración de bienes; k) la pérdida por deterioro o efecto por reversión del deterioro de otros activos de larga duración mantenidos para la venta; l) intereses a cargo en financiamiento para adquisición de activos; m) resultado en venta de propiedades, mobiliario y equipo; n) los intereses a favor provenientes de préstamos a funcionarios y empleados; o) los ingresos por arrendamiento; p) el resultado por valuación del activo (o pasivo) por administración de activos financieros transferidos, así como de los beneficios por recibir en operaciones de bursatilización; q) ingresos y costo de ventas provenientes de actividades de comercialización y transformación de bienes, mercancías y artículos diversos; y r) otras partidas de los ingresos (egresos) de la operación. |
20 |
|
En adición a las partidas anteriormente señaladas, el resultado por posición monetaria, tratándose de un entorno inflacionario, y el resultado en cambios generados por partidas no relacionadas con el margen financiero de las entidades se presentarán en el rubro de otros ingresos (egresos) de la operación. Gastos de administración y promoción |
21 |
|
Deberá considerarse dentro del resultado de la operación a los gastos de administración y promoción, los cuales deberán incluir, entre otros, todo tipo de beneficios directos a corto plazo otorgados a los empleados de la entidad, la Participación de los Trabajadores en las Utilidades (PTU) causada y diferida, el costo neto del periodo derivado de beneficios a los empleados a largo plazo, honorarios, rentas (por ejemplo, pagos variables por arrendamiento, arrendamientos a corto plazo), seguros y fianzas, gastos de promoción y publicidad, impuestos y derechos diversos, gastos en tecnología, gastos no deducibles, depreciaciones y amortizaciones, pérdida por deterioro o efecto por reversión del deterioro de los bienes inmuebles y otros activos en uso, gastos por asistencia técnica, gastos de mantenimiento, consumibles y enseres menores, y otros gastos de administración y promoción. Resultado antes de impuestos a la utilidad |
22 |
|
Será el resultado de la operación, incorporando la participación en el resultado neto de otras entidades, incrementado o disminuido en su caso por los efectos de deterioro y sus reversiones, los dividendos de inversiones permanentes, los ajustes asociados a las otras inversiones permanentes, y los efectos de valuación de inversiones permanentes disponibles para la venta. Resultado de operaciones continuas |
23 |
|
Es el resultado antes de impuestos a la utilidad, disminuido por el efecto de los gastos por impuestos a la utilidad causados en el periodo, incrementado o disminuido según sea el caso, por los efectos de los impuestos a la utilidad diferidos generados o materializados en el periodo, en su caso, netos de su estimación. Resultado neto |
24 |
|
Corresponde al resultado de operaciones continuas, incrementado o disminuido según corresponda, por las operaciones discontinuadas a que se refiere la NIF B-11. Resultado integral |
25 |
|
Corresponde al resultado neto incrementado o disminuido por los ORI del periodo, netos de los efectos de impuestos a la utilidad y PTU relacionados, así como de la participación en los ORI de otras entidades. Los ORI estarán integrados por: valuación de instrumentos financieros negociables, cuando se trate de instrumentos de capital no negociables en el corto plazo, valuación de instrumentos financieros para cobrar y vender, valuación de instrumentos financieros derivados de cobertura, ingresos y gastos relacionados con activos mantenidos para su disposición, remedición de beneficios definidos a los empleados, efecto acumulado por conversión y el resultado por tenencia de activos no monetarios. Normas de revelación |
26 |
|
Se deberá revelar en notas a los estados financieros lo siguiente: a) composición del margen financiero, identificando por tipo de moneda los ingresos por intereses y los gastos por intereses, distinguiéndolos por el tipo de operación de la cual provengan (inversiones en instrumentos financieros reportos, cartera de crédito, pasivos bursátiles, así como de préstamos bancarios, de socios y de otros organismos, entre otros); b) tratándose de cartera de crédito, además se deberá identificar el monto de los ingresos por intereses por tipo de crédito (documentados con garantía inmobiliaria, con otras garantías, sin garantía, operaciones de factoraje financiero, descuento o cesión de derechos de crédito, operaciones de arrendamiento financiero, entidades financieras y préstamos otorgados a otras uniones de crédito); c) composición del resultado por intermediación, identificando el resultado por valuación a valor razonable y, en su caso, el resultado por compraventa, de acuerdo con el tipo de operación de la cual provengan (inversiones en instrumentos financieros, así como colaterales vendidos); d) monto del resultado por valuación de la cartera de crédito valuada a valor razonable; e) monto de las comisiones cobradas desagregadas por los principales productos que maneje la entidad; f) los montos de los costos de transacción reconocidos en resultados, y el plazo promedio ponderado para su amortización, así como los elementos que justifiquen su relación directa con el otorgamiento del crédito; g) el detalle de los impuestos a la utilidad causados y diferidos; h) el detalle de los movimientos de los ORI netos de impuestos a la utilidad, correspondientes al efecto del periodo y al reciclaje que en su caso se llevó a cabo; i) los importes de los impuestos a la utilidad, así como de la PTU relativos a los ORI, y j) el importe de la utilidad o pérdida por acción básica determinada con base en la NIF relativa a utilidad por acción. |
27 |
NOMBRE DE LA UNION DE CREDITO
DOMICILIO
ESTADO DE RESULTADO INTEGRAL DEL ____________ AL ________________ DE _____
EXPRESADO EN MONEDA DE PODER ADQUISITIVO DE _____ DE _______ (1)
(Cifras en miles de pesos)
|
Ingresos por intereses |
|
$ |
|
|
|
Gastos por intereses |
|
" |
|
|
|
Resultado por posición monetaria neto (margen financiero) |
|
" |
|
|
|
MARGEN FINANCIERO |
|
|
|
$ |
|
|
|
|
|
|
|
Estimación preventiva para riesgos crediticios |
|
" |
|
|
|
MARGEN FINANCIERO AJUSTADO POR RIESGOS CREDITICIOS |
|
|
|
" |
|
|
|
|
|
|
|
Comisiones y tarifas cobradas |
|
" |
|
|
|
Comisiones y tarifas pagadas |
|
" |
|
|
|
Resultado por intermediación |
|
" |
|
|
|
Otros ingresos (egresos) de la operación |
|
" |
|
|
|
Gastos de administración y promoción |
|
" |
|
|
|
RESULTADO DE LA OPERACIÓN |
|
|
|
" |
|
|
|
|
|
|
|
Participación en el resultado neto de otras entidades |
|
“ |
|
|
|
RESULTADO ANTES DE IMPUESTOS A LA UTILIDAD |
|
|
|
" |
|
|
|
|
|
|
|
Impuestos a la utilidad |
|
" |
|
|
|
RESULTADO DE OPERACIONES CONTINUAS |
|
|
|
" |
|
|
|
|
|
|
|
Operaciones discontinuadas |
|
" |
|
|
|
RESULTADO NETO |
|
|
|
" |
|
|
|
|
|
|
|
Otros Resultados Integrales |
|
|
|
" |
|
Valuación de instrumentos financieros negociables |
|
" |
|
|
|
Valuación de instrumentos financieros para cobrar y vender |
|
" |
|
|
|
Valuación de instrumentos financieros derivados de cobertura |
|
" |
|
|
|
Ingresos y gastos relacionados con activos mantenidos para su disposición |
|
" |
|
|
|
Remedición de beneficios definidos a los empleados |
|
" |
|
|
|
Efecto acumulado por conversión |
|
" |
|
|
|
Resultado por tenencia de activos no monetarios |
|
" |
|
|
|
Participación en ORI de otras entidades |
|
|
|
" |
|
|
|
|
|
|
|
RESULTADO INTEGRAL |
|
|
|
$ |
|
|
|
|
|
|
|
Resultado neto atribuible a: |
|
|
|
|
|
Participación controladora |
|
" |
|
|
|
Participación no controladora |
|
" |
|
|
|
|
|
|
|
|
|
Resultado integral atribuible a: |
|
|
|
|
|
Participación controladora |
|
" |
|
|
|
Participación no controladora |
|
" |
|
|
|
|
|
|
|
|
|
Utilidad básica por acción ordinaria |
|
" |
|
|
Los conceptos que aparecen en el presente estado se muestran de manera enunciativa mas no limitativa.
(1) Este renglón se omitirá si el entorno económico es "no inflacionario".
|
D-3 ESTADO DE CAMBIOS EN EL CAPITAL CONTABLE Antecedentes |
|
|
La información de carácter financiero debe cumplir, entre otros, con el fin de reportar las modificaciones en la inversión de los propietarios durante un periodo contable definido, requiriéndose el establecimiento, mediante criterios específicos, de los objetivos y estructura general que debe tener el estado de cambios en el capital contable, con la finalidad de evaluar, entre otras cuestiones, los índices de rentabilidad de la entidad, tanto de un periodo contable específico, como en forma acumulada a la fecha de los estados financieros. Objetivo y alcance |
1 |
|
El presente criterio tiene por objetivo establecer las características generales para la presentación y la estructura que debe tener el estado de cambios en el capital contable de las entidades, los requerimientos mínimos de su contenido y las normas generales de revelación. Lo anterior con el propósito de homologar la presentación de este estado financiero entre las entidades y de esta forma, facilitar su comparabilidad. |
2 |
|
El estado de cambios en el capital contable tiene por objetivo presentar los movimientos entre los saldos iniciales y finales del capital contribuido y del capital ganado durante un periodo contable. En términos generales y no limitativos, los principales rubros que integran el capital contable son: a) capital contribuido, que se conforma por las aportaciones de los propietarios recibidas por la entidad y por el monto de otros instrumentos financieros emitidos por la entidad que califican como capital. Incluyen también ciertas aportaciones para futuros aumentos de capital, las primas en emisión o venta de acciones e instrumentos financieros que por sustancia económica califican como capital, y b) capital ganado, que se conforma por los resultados integrales acumulados, así como por las reservas creadas por los accionistas de la entidad. |
3 |
|
Por lo anterior, los elementos básicos del estado de cambios en el capital contable de las entidades son: movimientos de los propietarios, movimientos de reservas y resultado integral, de conformidad con la NIF A-1, Capítulo 50. |
4 |
|
Los movimientos presentados en el estado de cambios en el capital contable deben segregarse en los importes que corresponden a la: a) participación controladora, que es la porción del capital contable de las subsidiarias que pertenece a la sociedad controladora, y b) participación no controladora, que es la porción del capital contable de las subsidiarias que pertenece a otros dueños distintos a la sociedad controladora. |
5 |
|
El presente criterio no tiene como finalidad establecer la mecánica mediante la cual se determinan los movimientos antes mencionados, ya que son objeto de los presentes criterios o NIF específicos establecidos al respecto. Estructura del estado de cambios en el capital contable |
6 |
|
El estado de cambios en el capital contable debe presentar en forma segregada, por cada periodo por los que se presente, los importes relativos, en su caso a: a) saldos iniciales del capital contable; b) ajustes por aplicación retrospectiva por cambios contables y correcciones de errores; c) saldos iniciales ajustados; d) movimientos de propietarios; e) movimientos de reservas; f) resultado integral, y g) saldos finales del capital contable. Saldos iniciales del capital contable |
7 |
|
En este renglón deben mostrarse los valores en libros de cada uno de los rubros del capital contable con los que la entidad inició cada periodo por el que se presenta el estado de cambios en el capital contable. Ajustes por aplicación retrospectiva por cambios contables y correcciones de errores |
8 |
|
Corresponde a los ajustes derivados de la aplicación retrospectiva establecida en la NIF B-1 “Cambios contables y correcciones de errores”. Cuando se hayan determinado ajustes retrospectivos que consecuentemente afecten los saldos iniciales del periodo, los importes correspondientes deben: a) presentarse inmediatamente después de los saldos iniciales, dado que son ajustes a los mismos; b) presentarse en forma segregada por los importes que afectan a cada rubro del capital contable, y c) en su caso, presentarse netos de impuestos a la utilidad. |
9 |
|
En los casos en los que en un mismo periodo contable se hayan determinado ajustes retrospectivos tanto por cambios contables, como por correcciones de errores, ambos importes deben presentarse en forma segregada dentro del cuerpo del estado de cambios en el capital contable netos de los impuestos a la utilidad. Saldos iniciales ajustados |
10 |
|
Resultan de la suma algebraica de los saldos iniciales del capital contable y los ajustes por aplicación retrospectiva a cada rubro en lo individual. Movimientos de propietarios |
11 |
|
Son cambios al capital contribuido o, en su caso, al capital ganado, durante un periodo contable, derivados de las decisiones que toman los propietarios respecto a su inversión en la entidad. Algunos ejemplos de este tipo de movimientos son los siguientes: a) aportaciones de capital; b) reembolsos de capital; c) decreto de dividendos; d) capitalizaciones de partidas del capital contribuido; e) capitalizaciones del resultado integral; f) capitalizaciones de reservas, y g) cambios en la participación controladora que no implican pérdida de control. Se deben mostrar en forma separada los movimientos que corresponden a contribuciones de los propietarios, de los que son distribuciones a los mismos, es decir, no deben mostrarse en forma neta. Movimientos de reservas |
12 |
|
En este renglón deben mostrarse, los importes que representan aumentos o disminuciones a las reservas de capital. Resultado integral |
13 |
|
Se refiere al incremento o decremento del capital ganado de una entidad derivado de su operación durante un periodo contable, originado por la utilidad o pérdida neta, más los otros resultados integrales. En este renglón se presentará el resultado integral desglosado en los siguientes componentes: a) resultado neto del periodo; b) otros resultados integrales (ORI), y c) participación en ORI de otras entidades. |
14 |
|
Asimismo, debe presentarse el movimiento neto del periodo de los componentes del resultado integral; como movimiento neto, debe entenderse los ORI netos de los impuestos a la utilidad, la PTU y el reciclaje de los ORI. Saldos finales del capital contable |
15 |
|
Los saldos finales del capital contable se determinan por la suma algebraica de los saldos iniciales ajustados de cada uno de los rubros del capital contable más los movimientos de propietarios, los movimientos de reservas y el resultado integral. Presentación del estado de cambios en el capital contable |
16 |
|
Los conceptos descritos anteriormente, corresponden a los mínimos requeridos para la presentación del estado de cambios en el capital contable, sin embargo, las entidades deberán desglosar, ya sea en el citado estado de cambios en el capital contable o mediante notas a los estados financieros, el contenido de los conceptos que consideren necesarios para que los usuarios de la información financiera comprendan los movimientos que afectaron el capital contable de las entidades en el periodo. En la parte final del presente criterio se muestra un estado de cambios en el capital contable preparado con los requerimientos mínimos a que se refiere el presente criterio. Consideraciones generales |
17 |
|
En caso de existir un entorno inflacionario todos los saldos y los movimientos incorporados en el estado de cambios en el capital contable deberán mostrarse expresados en unidades monetarias de poder adquisitivo relativo a la fecha de presentación de los estados financieros. Normas de revelación |
18 |
|
Se deberá revelar en notas a los estados financieros, lo siguiente: a) el importe de dividendos distribuidos en el periodo, la forma en la que fueron pagados, así como el dato del dividendo por acción; b) el motivo de los reembolsos de capital efectuados en el periodo, y c) una descripción de cómo se efectuaron las aportaciones del capital del periodo. |
19 |