CIRCULAR Modificatoria 1/26 de la Única de Seguros y Fianzas |
Viernes 20 de Febrero 2026 |
Al margen un sello con el Escudo Nacional, que dice: Estados Unidos Mexicanos.- Hacienda.- Secretaría de Hacienda y Crédito Público.- Comisión Nacional de Seguros y Fianzas.
CIRCULAR MODIFICATORIA 1/26 DE LA ÚNICA DE SEGUROS Y FIANZAS
(ANEXO 14.2.1-y)
La Comisión Nacional de Seguros y Fianzas, con fundamento en lo dispuesto en los artículos 26, párrafo segundo, 200, 201, 202, 366, fracción II, 367, fracciones I y II, 369, fracción I, 372, fracciones V, VI, XLI y XLII, 373 y 381 de la Ley de Instituciones de Seguros y de Fianzas, y:
CONSIDERANDO
Que en ejercicio de las facultades de supervisión se identificaron inconsistencias en la determinación de montos constitutivos para casos de cesantía en edad avanzada que se ubicaran en el supuesto de cambio de pensión de Retiro Programado a Renta Vitalicia, toda vez que la nota técnica vigente dada a conocer mediante la Circular Modificatoria 11/23 publicada en el Diario Oficial de la Federación el 27 de diciembre de 2023, no contempla que en esos casos se debe considerar como referencia, para efecto del cálculo de suficiencia de la cuenta individual, el promedio de las pensiones garantizadas que corresponda a un salario mínimo y sesenta años de edad obtenido de la tabla del artículo 170 de la Ley del Seguro Social (LSS), según lo establecido en el último párrafo del artículo 157 de esa misma Ley.
Que se realizaron ajustes a la nota técnica para el cálculo del monto constitutivo de las rentas vitalicias del seguro de retiro, cesantía en edad avanzada y vejez correspondiente al régimen de pensiones del Instituto Mexicano del Seguro Social (IMSS), a efecto de incorporar la referencia del promedio de las pensiones garantizadas que corresponda a un salario mínimo y sesenta años de edad de la tabla del referido artículo 170 de la LSS, en el cálculo de montos constitutivos de casos de cesantía en edad avanzada que se ubiquen en el supuesto de cambio de pensión de Retiro Programado a Renta Vitalicia.
Que la Ley de los Sistemas de Ahorro para el Retiro en su artículo 81 establece que los procedimientos relativos al cálculo del monto constitutivo para la contratación de las rentas vitalicias y de los seguros de sobrevivencia estarán a cargo del Comité al que se refiere dicha disposición.
Que dicho Comité, en su Sesión del 21 de octubre de 2025, aprobó los ajustes a los procedimientos de cálculo de los montos constitutivos para las pensiones derivadas del seguro de retiro, cesantía en edad avanzada y vejez, a efecto de precisar la referencia para el cálculo del monto constitutivo de pensiones de cesantía en edad avanzada que se ubiquen en el supuesto de cambio de Retiro Programado a Renta Vitalicia.
Que en virtud de lo anterior, atendiendo a lo previsto en los artículos 26, párrafo segundo, 200, 201 y 202 de la Ley de Instituciones de Seguros y de Fianzas, para que las instituciones autorizadas para la práctica de los Seguros de Pensiones derivados de las Leyes de Seguridad Social cuenten con el sustento técnico de la prima de estos seguros, se considera necesario modificar el Anexo 14.2.1-y de la Circular Única de Seguros y Fianzas, a fin de modificar la Nota técnica para la determinación del Monto Constitutivo para las pensiones derivadas del seguro de retiro, cesantía en edad avanzada y vejez y la Nota técnica para la determinación del monto constitutivo para las pensiones derivadas del artículo 172-A de la LSS aplicable a las pólizas emitidas bajo el amparo del “Decreto por el que se reforman, adicionan y derogan diversas disposiciones de la Ley del Seguro Social y de la Ley de los Sistemas de Ahorro para el Retiro”, publicado en el Diario Oficial de la Federación el 16 de diciembre de 2020, por la aprobada el 21 de octubre de 2025 por el Comité a que hace referencia el artículo 81 de la Ley de los Sistemas de Ahorro para el Retiro.
Que atento a las consideraciones expuestas esta Comisión, con acuerdo de su Junta de Gobierno, expide la siguiente modificación a la Circular Única de Seguros y Fianzas en los siguientes términos:
CIRCULAR MODIFICATORIA 1/26 DE LA ÚNICA DE SEGUROS Y FIANZAS
(Anexos 14.2.1-y)
ÚNICA.- Se modifica el Anexo 14.2.1-y de la Circular Única de Seguros y Fianzas.
TRANSITORIAS
PRIMERA.- Publíquese en el Diario Oficial de la Federación.
SEGUNDA.- La presente Circular Modificatoria entrará en vigor al día siguiente de su publicación en el Diario Oficial de la Federación.
Atentamente
Ciudad de México, a 28 de enero de 2026.- El Presidente de la Comisión Nacional de Seguros y Fianzas, Ricardo Ernesto Ochoa Rodríguez.- Rúbrica.
NOTA TÉCNICA PARA LA DETERMINACIÓN DEL MONTO CONSTITUTIVO PARA LAS PENSIONES DERIVADAS DEL SEGURO DE RETIRO, CESANTÍA EN EDAD AVANZADA Y VEJEZ Y NOTA TÉCNICA PARA LA DETERMINACIÓN DEL MONTO CONSTITUTIVO PARA LAS PENSIONES DERIVADAS DEL ARTÍCULO 172-A DE LA LEY DEL SEGURO SOCIAL, APLICABLE A LAS PÓLIZAS EMITIDAS BAJO EL AMPARO DEL DECRETO POR EL QUE SE REFORMAN, ADICIONAN Y DEROGAN DIVERSAS DISPOSICIONES DE LA LEY DEL SEGURO SOCIAL Y DE LA LEY DE LOS SISTEMAS DE AHORRO PARA EL RETIRO, PUBLICADO EN EL DIARIO OFICIAL DE LA FEDERACIÓN EL 16 DE DICIEMBRE DE 2020.
|
NOTA TÉCNICA PARA LAS PENSIONES DERIVADAS DEL SEGURO DE RETIRO, CESANTÍA EN EDAD AVANZADA Y VEJEZ |
Índice
Sección 1
I.- Definiciones
II.- Determinación del factor de cálculo de los pagos vencidos
Sección 2
I.- Seguro de invalidez para hijos
a) Seguro de invalidez para hijos - Definiciones
b) Pensionado(a) con hijos y cónyuge
c) Pensionado(a) con hijos sin cónyuge
d) Prima neta del seguro de invalidez para hijos del seguro de retiro calculada a tasa i
Sección 3
I.- Prima básica para pensiones del Seguro de Retiro, Cesantía en Edad Avanzada y Vejez (RCV)
a) Pensionado(a) titular por RCV con hijos y cónyuge
b) Pensionado(a) titular por RCV con cónyuge sin hijos
c) Pensionado(a) titular por RCV con hijos sin cónyuge
d) Pensionado(a) titular por RCV con ascendientes
e) Pensionado(a) titular por RCV sin hijos, cónyuge ni ascendientes
II.- Prima neta para pensiones del Seguro de Retiro, Cesantía en Edad Avanzada y Vejez
Sección 4
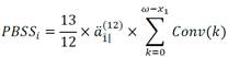
I.- Prima básica del Seguro de Sobrevivencia (PBSS)
a) Pensionado(a) titular por RCV con hijos y cónyuge
b) Pensionado(a) titular por RCV con cónyuge sin hijos
c) Pensionado(a) titular por RCV con hijos huérfanos de padre o madre
d) Pensionado(a) titular por RCV con hijos huérfanos con padre o madre sin derecho a pensión
e) Pensionado(a) titular por RCV con ascendientes
f) Pensionado(a) titular con cónyuge y n hijos con ambos padres (orfandad nula) y m huérfanos de padre o madre (orfandad sencilla)
g) Pensionado(a) titular con n hijos con padre o madre sin derecho a pensión (orfandad nula) y m huérfanos de padre o madre (orfandad sencilla)
II.- Seguro de invalidez para hijos
a) Definiciones aplicables a los incisos b, c y d
b) Pensionado(a) titular con hijos y cónyuge
c) Pensionado(a) titular con hijos huérfanos de padre o madre
d) Pensionado(a) titular con hijos con padre (madre) sin derecho a pensión
e) Definiciones aplicables a los incisos f y g
f) Pensionado(a) titular con cónyuge y n hijos con ambos padres (orfandad nula) y m huérfanos de padre o madre (orfandad sencilla)
g) Pensionado(a) titular con n hijos con padre o madre sin derecho a pensión (orfandad nula) y m huérfanos de padre o madre (orfandad sencilla)
III.- Finiquito para hijos
IV.- Prima neta del Seguro de Sobrevivencia
V.- Monto Constitutivo del Seguro de Sobrevivencia
Sección 5
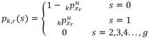
I.- Renta vitalicia y Monto Constitutivo de Retiro Anticipado (Art. 158 de la Ley del Seguro Social)
II.- Renta vitalicia y Monto Constitutivo para pensiones del Seguro de Cesantía en Edad Avanzada y Vejez
III.- Renta vitalicia y Monto Constitutivo en caso de cambio de Retiro Programado a pensiones del Seguro de Cesantía en Edad Avanzada conforme al artículo 157 de la de la Ley del Seguro Social
IV.- Renta vitalicia y Monto Constitutivo en caso de cambio de Retiro Programado a pensiones del Seguro de Vejez conforme al artículo 164 de la de la Ley del Seguro Social
V.- Renta vitalicia y Monto Constitutivo del Seguro de Sobrevivencia en caso de Retiro Programado
VI.- Cálculo de la renta inicial para pensiones del Seguro de Retiro, Cesantía en Edad Avanzada y Vejez
Sección 1
I.- Definiciones
|
|
Tasa de interés técnico. Corresponde a la tasa ofrecida por la institución de seguros. |
|
|
V |
|
|
|
|
|
|
|
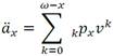
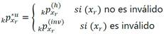
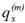
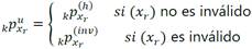
kpx |
Probabilidad de que un individuo de edad x alcance la edad x+k. |
|
|
|
Probabilidad de invalidarse entre las edades x y x+k. |
|
|
|
Probabilidad de que un individuo inválido de edad x, permanezca como tal hasta alcanzar la edad x+k. |
|
|
|
Probabilidad de que un individuo de edad x, sobreviva hasta alcanzar la edad x+k. Considerada en la determinación del seguro de sobrevivencia. |
|
|
ω |
Última edad de la tabla de mortalidad. |
|
|
|
Edad del cónyuge. |
|
|
|
Edad del
padre o madre sin derecho a pensión. Mujer |
|
|
x1,x2,…,xn+m |
Edad de los hijos en orden ascendente. |
|
|
x1 |
Edad del hijo menor de los n+m X1= mín(x1,x2,...,xn,xn+1,...,xn+m) |
|
|
|
Número de hijos. |
|
|
|
Número de ascendientes de primer grado que dependen económicamente del asegurado o pensionado. |
|
|
z1,z2,...,znp |
Edad de los ascendientes en orden ascendente. |
|
|
FRPV |
Fecha de referencia para el cálculo de los pagos vencidos a ser considerada conforme a los procedimientos del trámite de pensión. |
|
|
FC |
Fecha de cálculo. |
|
|
PV |
Monto de los pagos vencidos a la fecha de proceso. |
|
|
AA |
Ayudas asistenciales a la fecha de cálculo de la pensión. |
|
|
PBSRCVi |
Prima básica para pensiones del seguro de retiro, cesantía en edad avanzada y vejez calculada a tasa i. |
|
|
PNRCVi |
Prima neta para pensiones del seguro de retiro, cesantía en edad avanzada y vejez calculada a tasa i. |
|
|
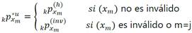
PSIHi |
Prima básica del seguro de invalidez para hijos del seguro de retiro calculada a tasa i. |
|
|
PNSIHi |
Prima neta del seguro de invalidez para hijos del seguro de retiro calculada a tasa i. |
|
|
PBSSi |
Prima básica del seguro de sobrevivencia calculada a tasa i. |
|
|
PSIHssi |
Prima del seguro de invalidez para hijos del seguro de sobrevivencia calculada a tasa i. |
|
|
PFHi |
Prima de finiquito de hijos. |
|
|
PNSSi |
Prima neta del seguro de sobrevivencia calculada a tasa i. |
|
|
MCSSi |
Monto constitutivo del seguro de sobrevivencia calculado a tasa i. |
|
|
PNSRi |
Prima neta para el caso de retiro anticipado calculada a tasa i. |
|
|
MCSRi |
Monto constitutivo para el caso de retiro anticipado calculado a tasa i. |
|
|
PNSCVi |
Prima neta para pensiones del seguro de cesantía en edad avanzada y vejez calculada a tasa i. |
|
|
MCSCVi |
Monto constitutivo para pensiones del seguro de cesantía en edad avanzada y vejez calculado a tasa i. |
|
|
PNRPi |
Prima neta en caso de cambio de retiro programado a pensiones del seguro de cesantía en edad avanzada y vejez calculada a tasa i. |
|
|
MCRPi |
Monto constitutivo en caso de cambio de retiro programado a pensiones del seguro de cesantía en edad avanzada y vejez calculado a tasa i. |
|
|
MCSSRPi |
Monto constitutivo del seguro de sobrevivencia en caso de retiro programado. |
|
|
|
Porcentaje para margen de seguridad. |
|
|
PGc |
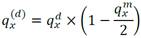
Promedio de las pensiones garantizadas, que corresponda a un salario mínimo y sesenta años de edad, de acuerdo con la tabla establecida en el artículo 170 de la Ley del Seguro Social actualizadas a la fecha de la determinación de la renta conforme a los factores inflacionarios. |
|
|
PGr |
Pensión garantizada conforme a las semanas de cotización, el salario base de cotización y la edad, de acuerdo con lo establecido en los artículos 158, 164 y 170 de la Ley del Seguro Social, actualizada a la fecha de la determinación de la renta conforme a los factores inflacionarios. |
|
|
FACBI |
Para efectos de RCV será el factor de actualización de la renta vitalicia por inflación que se calcula conforme el Anexo 14.2.1-m de las presentes disposiciones. |
|
|
FI |
Factor de estimación de la inflación del mes de proceso que se calcula conforme el Anexo 14.2.1-m de las presentes disposiciones. |
|
|
|
Pensión básica en caso de retiro anticipado, calculada en función de la cuenta individual sin considerar asignaciones familiares ni ayudas asistenciales. |
|
|
|
Pensión básica del seguro de cesantía en edad avanzada y vejez, calculada en función de la cuenta individual sin considerar asignaciones familiares ni ayudas asistenciales. |
|
|
|
Pensión básica en caso de cambio de retiro programado a seguro de cesantía en edad avanzada, calculada en función de la cuenta individual sin considerar asignaciones familiares ni ayudas asistenciales. |
|
|
|
Pensión básica en caso de cambio de retiro programado a seguro de vejez, calculada en función de la cuenta individual sin considerar asignaciones familiares ni ayudas asistenciales. |
|
|
|
Renta de referencia para el cálculo del monto constitutivo del seguro de sobrevivencia en caso de retiro programado. |
|
|
|
Renta inicial a percibir por el pensionado titular en caso de retiro anticipado, considerando asignaciones familiares, ayudas asistenciales y la composición familiar vigente a la fecha de cálculo. |
|
|
|
Renta inicial a percibir por el pensionado titular del seguro de cesantía en edad avanzada y vejez, considerando asignaciones familiares, ayudas asistenciales y la composición familiar vigente a la fecha de cálculo. |
|
|
|
Renta inicial a percibir por el pensionado titular en caso de cambio de retiro programado a seguro de cesantía en edad avanzada, considerando asignaciones familiares, ayudas asistenciales y la composición familiar vigente a la fecha de cálculo. |
|
|
|
Renta inicial a percibir por el pensionado titular en caso de cambio de retiro programado a seguro de vejez, considerando asignaciones familiares, ayudas asistenciales y la composición familiar vigente a la fecha de cálculo. |
|
|
|
Renta de referencia para el cálculo del monto constitutivo del seguro de sobrevivencia en caso de retiro programado, considerando asignaciones familiares, ayudas asistenciales y la composición familiar vigente a la fecha de cálculo. |
|
|
|
Unidad de renta vitalicia emitida por CONSAR. |
|
|
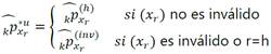
PVRCVp |
Factor por concepto de pagos vencidos a la fecha de cálculo, para pensiones del seguro de retiro, cesantía en edad avanzada y vejez, conforme a los términos del trámite de pensión, y a la composición familiar vigente a la fecha de cálculo; 0≤PVRCVp. |
|
|
PNSIHi |
Prima neta del seguro de invalidez para hijos del seguro de retiro calculada a tasa i. |
|
|
CI |
Cuenta individual a la que se refiere el artículo 159, fracción I, de la LSS. |
|
|
|
Para el caso de retiro anticipado y para pensiones del seguro de cesantía en edad avanzada y vejez (Art. 158 de la Ley del Seguro Social), es el porcentaje del excedente de la cuenta individual, que se va a emplear para la adquisición de una renta vitalicia por encima de 1.3 veces la pensión garantizada (PGr) a selección del pensionado. 0≤%XL≤1. |
|
|
|
Para el caso de retiro anticipado (Art. 158 de la Ley del Seguro Social), es el monto de la cuenta individual a ser retirado por el pensionado titular a selección del pensionado. |
|
|
|
Para pensiones del seguro de cesantía en edad avanzada y vejez (Art. 158 de la Ley del Seguro Social), es el monto de la cuenta individual a ser retirado por el pensionado titular a selección del pensionado. |
|
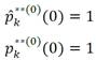
Decrementos Múltiples
Sean:
|
|
la probabilidad de que un hijo o huérfano de edad x pierda su derecho entre la edad x y x+1. |
|
|
Probabilidad de que un individuo de edad x muera entre las edades x y x+1, considerando mejoras en la esperanza de vida (tabla de activos dinámica o “diagonal”). |
|
|
Probabilidad de que un individuo de edad x deje de estudiar entre las edades x y x+1. |
|
|
Probabilidad ajustada de que un individuo de edad x muera entre las edades x y x+1. |
|
|
Probabilidad ajustada de que un individuo de edad x deje de estudiar entre las edades x y x+1. |
![]()
![]()
![]()
![]()
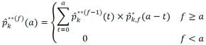
II.- Determinación del factor de cálculo de los pagos vencidos
Sean:
el número de días
naturales entre las fechas FRPV y FC
Si
FRPV = FC, entonces ![]()
Factor
de exposición para el cálculo de los pagos vencidos
![]()
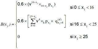
a) Pensionado titular por RCV con hijos y cónyuge
![]()
b) Pensionado titular por RCV con cónyuge sin hijos
![]()
c) Pensionado titular por RCV con hijos sin cónyuge
![]()
d) Pensionado titular por RCV con ascendientes
![]()
e) Pensionado titular por RCV sin hijos, cónyuge ni ascendientes
![]()
Sección 2
I.- Seguro de invalidez para hijos
a) Seguro de invalidez para hijos - Definiciones
Se define para este seguro:


b) Pensionado(a) con hijos y cónyuge
![]()
Donde:

c) Pensionado(a) con hijos sin cónyuge
![]()
Donde:

d) Prima neta del seguro de invalidez para hijos del seguro de retiro calculada a tasa i.
PNSIHi = PSIHi x FACBI x FI
Sección 3
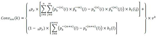
I.- Prima básica para pensiones del Seguro de Retiro, Cesantía en Edad Avanzada y Vejez (RCV)
a) Pensionado(a) titular por RCV con hijos y cónyuge
![]()
Donde:
|
|
|
|
|
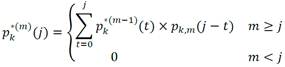
Es la probabilidad que mantengan el derecho como beneficiarios j hijos de n originales en el año k. |
|
|
Es el beneficio a pagar por los derechohabientes considerando que el cónyuge sobrevive. |
|
|
Es el beneficio a pagar por los derechohabientes considerando que el cónyuge ha muerto. |
b) Pensionado(a) titular por RCV con cónyuge sin hijos
![]()
Donde:
|
|
|
|
|
Es el beneficio a pagar por el sobreviviente considerando que el cónyuge sobrevive. |
|
|
Es el beneficio a pagar por el sobreviviente considerando que el cónyuge ha muerto. |
![]()
c) Pensionado(a) titular por RCV con hijos sin cónyuge
![]()
Donde:
|
|
|
|
|
Es la probabilidad que mantengan el derecho como beneficiarios j hijos de n originales en el año k. |
|
|
Es el beneficio a pagar por los derechohabientes. |

![]()

![]()
![]()
d) Pensionado(a) titular por RCV con ascendientes
![]()
Donde:
|
|
|
|
|
Es la probabilidad que sobrevivan j padres de (np) originales. |
|
|
Es el beneficio a pagar por los derechohabientes. |


![]()


e) Pensionado(a) titular por RCV sin hijos, cónyuge ni ascendientes
![]()
Donde:

![]()
Prima básica para pensiones del Seguro de Retiro, Cesantía en Edad Avanzada y Vejez
PBSRCVi = Ai
II.- Prima neta para pensiones del Seguro de Retiro, Cesantía en Edad Avanzada y Vejez
![]()
donde
puede ser
,
,
o
.
Sección 4
I. Prima básica del Seguro de Sobrevivencia (PBSS)
a) Pensionado(a) titular por RCV con hijos y cónyuge

Donde:
|
|
= |
|
|
|
Es la probabilidad que mantengan el derecho como beneficiarios j hijos de n originales en el año k. |
|
|
|
Es el beneficio a pagar por los sobrevivientes considerando que el cónyuge sobrevive. |
|
|
|
Es el beneficio a pagar por los sobrevivientes considerando que el cónyuge ha muerto. |
|

![]()

![]()
![]()
b) Pensionado(a) titular por RCV con cónyuge sin hijos


c) Pensionado(a) titular por RCV con hijos huérfanos de padre o madre

Donde:

|
|
Es la probabilidad que mantengan el derecho como beneficiarios j hijos de n originales en el año k. |
|
|
Es el beneficio a pagar por los derechohabientes. |

![]()

![]()
![]()
d) Pensionado(a) titular por RCV con hijos con padre o madre sin derecho a pensión

Donde:

|
|
Es la probabilidad que mantengan el derecho como beneficiarios j hijos de n originales en el año k. |
|
|
Es el beneficio a pagar por los derechohabientes considerando que el padre o la madre sin derecho a pensión sobrevive. |
|
|
Es el beneficio a pagar por los derechohabientes considerando que el padre o la madre sin derecho a pensión muere. |

![]()

![]()
![]()
e) Pensionado(a) titular por RCV con ascendientes

f) Pensionado(a) titular con cónyuge y n hijos con ambos padres (orfandad nula) y m huérfanos de padre o madre (orfandad sencilla)

Donde:

|
|
Es la probabilidad que mantengan el derecho como beneficiarios i hijos con orfandad nula de n originales en el año k. |
|
|
Es la probabilidad que mantengan el derecho como beneficiarios j huérfanos sencillos de m originales en el año k. |
|
|
Es el beneficio a pagar a los i hijos con orfandad nula y a los j huérfanos sencillos considerando que el(la) esposo(a) sobrevive. |
|
|
Es el beneficio a pagar a los derechohabientes considerando que el(la) esposo(a) ha muerto. |


![]()


![]()
![]()
![]()
g) Pensionado(a) titular con n hijos con padre o madre sin derecho a pensión (orfandad nula) y m huérfanos de padre o madre (orfandad sencilla)

Donde:

|
|
Es la probabilidad que mantengan el derecho como beneficiarios i hijos con orfandad nula de n originales en el año k. |
|
|
Es la probabilidad que mantengan el derecho como beneficiarios j huérfanos sencillos de m originales en el año k. |
|
|
Es el beneficio a pagar a los i hijos con orfandad nula y a los j huérfanos sencillos considerando que el(la) padre(madre) sin derecho a pensión sobrevive. |
|
|
Es el beneficio a pagar a los derechohabientes considerando que el(la) padre(madre) sin derecho a pensión ha muerto. |


![]()



![]()
![]()
![]()
Sección 4
II.- Seguro de invalidez para hijos
a) Definiciones aplicables a los incisos b, c y d
Se define para este seguro:

![]()

![]()

![]()

![]()
b) Pensionado(a) titular con hijos y cónyuge
![]()
Donde:

Donde:
![]()
![]()
c) Pensionado(a) titular con hijos huérfanos de padre o madre
![]()
Donde:

![]()
d) Pensionado(a) titular con hijos con padre (madre) sin derecho a pensión
![]()
Donde:

![]()
e) Definiciones aplicables a los incisos f y g









![]()
![]()



![]()
f) Pensionado(a) titular con cónyuge y n hijos con ambos padres (orfandad nula) y m huérfanos de padre o madre (orfandad sencilla)

Donde:



g) Pensionado(a) titular con n hijos con padre o madre sin derecho a pensión (orfandad nula) y m huérfanos de padre o madre (orfandad sencilla)
![]()
Donde:




![]()
![]()
III.- Finiquito para hijos

IV.- Prima neta del Seguro de Sobrevivencia
![]()
donde
puede ser
,
,
o
.
V.- Monto Constitutivo del Seguro de Sobrevivencia
![]()
Sección 5
I.- Renta vitalicia y Monto Constitutivo de Retiro Anticipado (Art. 158 de la Ley del Seguro Social)
![]()
· Si
, entonces:
![]()
· Si
, entonces:


donde
según se determina en el capítulo VI de la presente sección.
II.- Renta vitalicia y Monto Constitutivo para pensiones del Seguro de Cesantía en Edad Avanzada y Vejez
![]()
· Si
, entonces:
![]()
![]()
![]()
· Si
, entonces:
![]()
![]()
· Si
, entonces:

![]()
![]()
![]()
donde
según
se determina en el capítulo VI de la presente sección.
III.- Renta vitalicia y Monto Constitutivo en caso de cambio de Retiro Programado a pensiones del Seguro de Cesantía en Edad Avanzada conforme al artículo 157 de la de la Ley del Seguro Social
![]()
·
, entonces:
![]()
·
, entonces:

donde
se determina en el capítulo VI de esta sección.
IV.- Renta vitalicia y Monto Constitutivo en caso de cambio de Retiro Programado a pensiones del Seguro de Vejez conforme al artículo 164 de la de la Ley del Seguro Social
![]()
·
, entonces:
![]()
·
, entonces:

donde
se determina en el capítulo VI de esta sección.
V.- Renta vitalicia y Monto Constitutivo del Seguro de Sobrevivencia en caso de Retiro Programado
Para efecto de determinar la prima del seguro de sobrevivencia (Art. 194 de la Ley del Seguro Social):
![]()
·
, entonces:
![]()
·
, entonces:
![]()
donde
según se determina en el capítulo VI de la presente sección.
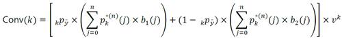
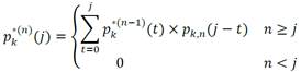
VI.- Cálculo de la renta inicial para pensiones del Seguro de Retiro, Cesantía en Edad Avanzada y Vejez
a) Pensionado(a) titular por RCV con hijos y cónyuge
![]()
b) Pensionado(a) titular por RCV con cónyuge sin hijos
![]()
c) Pensionado(a) titular por RCV con hijos sin cónyuge
![]()
d) Pensionado(a) titular por RCV con ascendientes
![]()
e) Pensionado(a) titular por RCV sin hijos, cónyuge ni ascendientes
![]()
donde
puede ser
,
,
,
o
, y
puede ser
,
,
,
o
, respectivamente.
|
NOTA TECNICA PARA LAS PENSIONES DERIVADAS DEL ARTÍCULO 172-A DE LA LEY DEL SEGURO SOCIAL |
Índice
Sección 1
I.- Definiciones
Sección 2
I.- Prima básica de la pensión derivada del artículo 172-A de la Ley del Seguro Social
a) Viudo(a) y huérfanos
b) Viudo(a) sin huérfanos
c) Huérfanos de padre y madre (huérfanos dobles)
d) Huérfanos con padre (madre) sin derecho a pensión
e) n huérfanos con padre (madre) sin derecho a pensión (huérfanos sencillos) y m huérfanos de padre y madre (huérfanos dobles)
f) Viudo(a) y n huérfanos con padre o madre (huérfanos sencillos) y m huérfanos de padre y madre (huérfanos dobles)
g) Ascendientes
II.- Prima del seguro de invalidez para huérfanos de la pensión derivada del artículo 172-A de la Ley del Seguro Social
a) Seguro de invalidez para huérfanos - Definiciones
b) Viudo(a) y huérfanos
c) Huérfanos de padre y madre
d) Huérfanos con padre (madre) sin derecho a pensión
e) n huérfanos con padre (madre) sin derecho a pensión y m huérfanos de padre y madre (huérfanos dobles)
f) Viudo(a) y n huérfanos con padre o madre (huérfanos sencillos) y m huérfanos de padre y madre (huérfanos dobles)
III.-Finiquito para huérfanos de la pensión derivada del artículo 172-A de la Ley del Seguro Social
IV.- Prima neta de la pensión derivada del artículo 172-A de la Ley del Seguro Social
V.- Monto Constitutivo de la pensión derivada del artículo 172-A de la Ley del Seguro Social
Sección 1
I.- Definiciones
|
i |
Tasa de interés técnico. |
|
|
v |
|
|
|
|
|
|
|
kpx |
Probabilidad de que un individuo de edad x alcance la edad x+k. |
|
|
|
Probabilidad de invalidarse entre las edades x y x+k. |
|
|
|
Probabilidad de que un individuo inválido de edad x, permanezca como tal hasta alcanzar la edad x+k. |
|
|
|
Probabilidad de que un individuo de edad x, sobreviva hasta alcanzar la edad x+k. Considerada en la determinación del seguro de sobrevivencia. |
|
|
ω |
Ultima edad de la tabla de mortalidad. |
|
|
y |
Edad del cónyuge. |
|
|
ӯ |
Edad del padre o madre sin derecho a pensión. Mujer ӯ=x-5 , Hombre ӯ=y+5. |
|
|
x1,x2,...,xn+m |
Edad de los hijos en orden ascendente. |
|
|
x1 |
Edad del hijo menor de los n+m huérfanos. X1= mín(x1,x2,...,xn,xn+1,...,xn+m). |
|
|
n, m |
Número de hijos. |
|
|
na |
Número de ascendientes que dependían económicamente del asegurado o pensionado. |
|
|
z1,z2,...,zna |
Edad de los ascendientes. |
|
|
PV |
Monto de los pagos vencidos no prescritos a la fecha de proceso que se calcula conforme el Anexo 14.2.1-i de las presentes disposiciones. |
|
|
PBSV |
Prima básica de la pensión derivada del artículo 172-A LSS. |
|
|
PSIH |
Prima básica del Seguro de invalidez para hijos derivada del artículo 172-A LSS. |
|
|
PFH |
Prima básica del finiquito para hijos derivada del artículo 172-A LSS. |
|
|
PNSV |
Prima neta de la pensión derivada del artículo 172-A LSS. |
|
|
MCSV |
Monto Constitutivo de prima básica de la pensión derivada del artículo 172-A LSS. |
|
|
|
Porcentaje para margen de seguridad. |
|
|
PGr |
Pensión garantizada que percibía el asegurado titular al momento de ocurrir el fallecimiento. |
|
|
FAR |
Factor de actualización de rentas que se calcula conforme el Anexo 14.2.1-m de las presentes disposiciones. |
|
|
FACBI |
Factor de actualización de la renta vitalicia por inflación que se calcula conforme el Anexo 14.2.1-m de las presentes disposiciones. |
|
|
FI |
Factor de estimación de la inflación del mes de proceso que se calcula conforme el Anexo 14.2.1-m de las presentes disposiciones. |
|
Decrementos Múltiples
Sean
la
probabilidad de que un hijo o huérfano de edad x pierda su derecho entre la
edad x y x+1.
Probabilidad
de que un individuo de edad x muera entre las edades x y x+1,
considerando mejoras en la esperanza de vida (tabla de activos dinámica o
“diagonal”).
Probabilidad
de que un individuo de edad x deje de estudiar entre las edades x
y x+1.
Probabilidad
ajustada de que un individuo de edad x muera entre las edades x y
x+1.
Probabilidad
ajustada de que un individuo de edad x deje de estudiar entre las edades
x y x+1.
![]()
y
![]()
![]()
Sección 2
I. Prima básica de la pensión derivada del artículo 172-A LSS
a) Viudo(a) y huérfanos

Donde:

|
|
Es la probabilidad que mantengan el derecho como beneficiarios j hijos de n originales en el año k. |
|
|
Es el beneficio a pagar por los derechohabientes considerando que el(la) viudo(a) sobrevive. |
|
|
Es el beneficio a pagar por los derechohabientes considerando que el(la) viudo(a) ha muerto. |

![]()

![]()
![]()
b) Viudo(a) sin huérfanos
![]()

![]()
![]()
c) Huérfanos de padre y madre (huérfanos dobles)
![]()
Donde:
![]()
|
|
Es la probabilidad que mantengan el derecho como beneficiarios j hijos de n originales en el año k. |
|
|
Es el beneficio a pagar por los derechohabientes. |

![]()

![]()
![]()
![]()
d) Huérfanos con padre (madre) sin derecho a pensión

Donde:

|
|
Es la probabilidad que mantengan el derecho como beneficiarios j hijos de n originales en el año k. |
|
|
Es el beneficio a pagar por los derechohabientes considerando que el padre o madre sin derecho a pensión sobrevive. |
|
|
Es el beneficio a pagar por los derechohabientes considerando que el padre o madre sin derecho a pensión muere. |

![]()

![]()
![]()
![]()
e) n huérfanos con padre o madre sin derecho a pensión (huérfanos sencillos) y m huérfanos de padre y madre (huérfanos dobles)
![]()
Donde:

|
|
Es la probabilidad que mantengan el derecho como beneficiarios i huérfanos sencillos de n originales en el año k. |
|
|
Es la probabilidad que mantengan el derecho como beneficiarios j huérfanos dobles de m originales en el año k. |
|
|
Es el beneficio a pagar a los i huérfanos sencillos y a los j huérfanos dobles considerando que el(la) padre(madre) sin derecho a pensión sobrevive. |
|
|
Es el beneficio a pagar a los derechohabientes considerando que el(la) padre(madre) sin derecho a pensión ha muerto. |


![]()
![]()



![]()
![]()
![]()
f) Viudo(a) y n huérfanos con padre o madre (huérfanos sencillos) y m huérfanos de padre y madre (huérfanos dobles)
![]()
Donde:
![]()
|
|
Es la probabilidad que mantengan el derecho como beneficiarios i huérfanos sencillos de n originales en el año k. |
|
|
Es la probabilidad que mantengan el derecho como beneficiarios j huérfanos dobles de m originales en el año k. |
|
|
Es el beneficio a pagar a los i huérfanos sencillos y a los j huérfanos dobles considerando que el(la) viudo(a) sobrevive. |
|
|
Es el beneficio a pagar a los derechohabientes considerando que el(la) viudo(a) ha muerto. |


![]()
![]()


![]()
![]()
![]()
![]()
![]()
g) Ascendientes
![]()


II.- Prima del Seguro de Invalidez para huérfanos de la pensión derivada del artículo 172-A de la Ley del Seguro Social
a) Seguro de invalidez para huérfanos - definiciones
Se define para este seguro:

![]()

![]()

![]()

![]()
b) Viudo(a) y huérfanos
![]()
Donde:

![]()
![]()
![]()
c) Huérfanos de padre y madre
![]()
Donde:

![]()
![]()
d) Huérfanos con padre (madre) sin derecho a pensión
![]()
Donde:

![]()
![]()
![]()
e) n huérfanos con padre (madre) sin derecho a pensión y m huérfanos de padre y madre (huérfanos dobles)


![]()
![]()



![]()


![]()
![]()



![]()
![]()
Donde:




![]()
![]()
f) Viudo(a) y n huérfanos con padre o madre (huérfanos sencillos) y m huérfanos de padre y madre (huérfanos dobles)
Se define para este seguro:


![]()
![]()



![]()


![]()
![]()



![]()
![]()
Donde:




![]()
![]()
III.- Finiquito para huérfanos
![]()

IV.- Prima neta de la pensión derivada del artículo 172-A de la Ley del Seguro Social
PNSV = PGr x (PBSV+PSIH+PFH) x FAR x FACBI x FI
V.- Monto Constitutivo de la pensión derivada del artículo 172-A de la Ley del Seguro Social
![]()
__________________________________